ACTUALIZA NÓMINA DE BIENES AFECTOS QUE INDICA
Extracto de resolución exenta del Servicio de Impuestos Internos Nº 121, de 16 de septiembre de 2025, que "Actualiza la nómina de bienes afectos de la Res. Ex. Nº 127, año 2024, según lo establecido en el artículo 9 de la ley Nº 21.420."
El texto íntegro de esta resolución está publicado en la Oficina Virtual del Servicio de Impuestos Internos en internet (www.sii.cl).-
Carolina Fabiola Saravia Morales, Directora (S).
NÓMINA Aviso S/N,
HACIENDA
D.O. 30.10.2025DE HELICÓPTEROS Y AVIONES
HACIENDA
D.O. 30.10.2025DE HELICÓPTEROS Y AVIONES
Actualizada por resolución exenta SII N° 121 del 16 de septiembre de 2025
















NÓMINA DE YATESAviso S/N,
HACIENDA
D.O. 30.10.2025
HACIENDA
D.O. 30.10.2025
Actualizada por resolución exenta SII N° 121 del 16 de septiembre de 2025







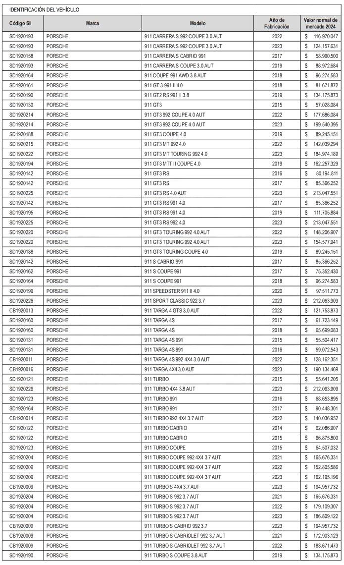
NÓMINA Aviso S/N,
HACIENDA
D.O. 30.10.2025DE AUTOMÓVILES, STATION WAGONS Y VEHÍCULOS SIMILARES
HACIENDA
D.O. 30.10.2025DE AUTOMÓVILES, STATION WAGONS Y VEHÍCULOS SIMILARES
Actualizada por resolución exenta SII N° 121 del 16 de septiembre de 2025


























