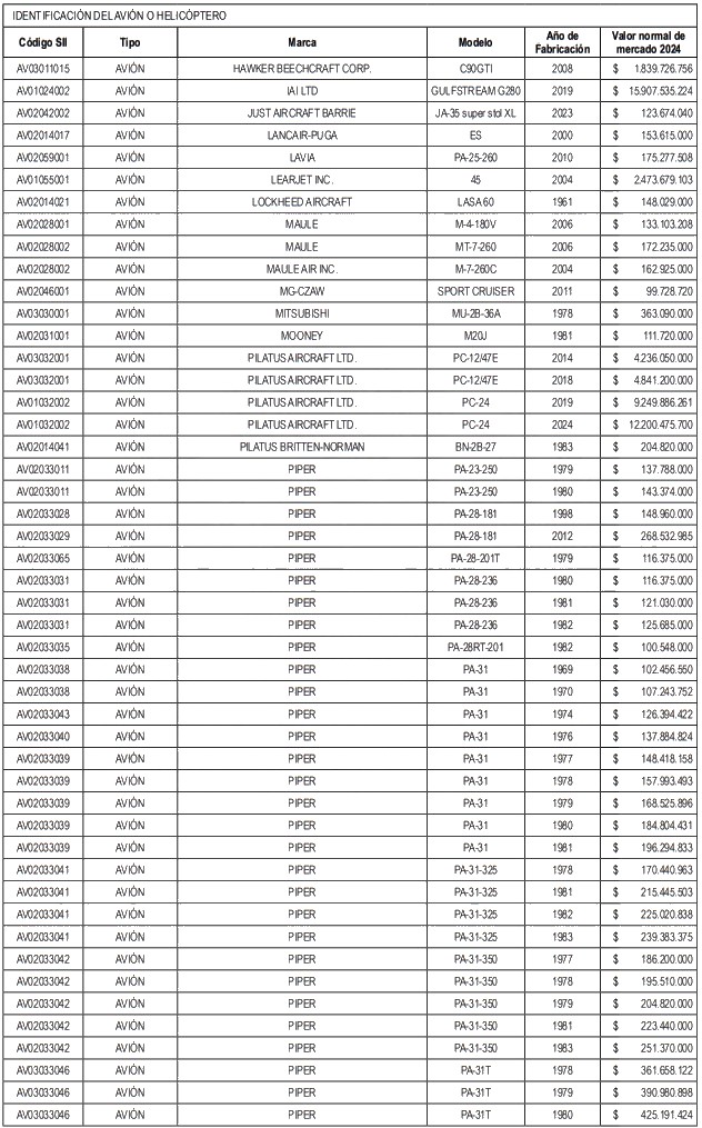
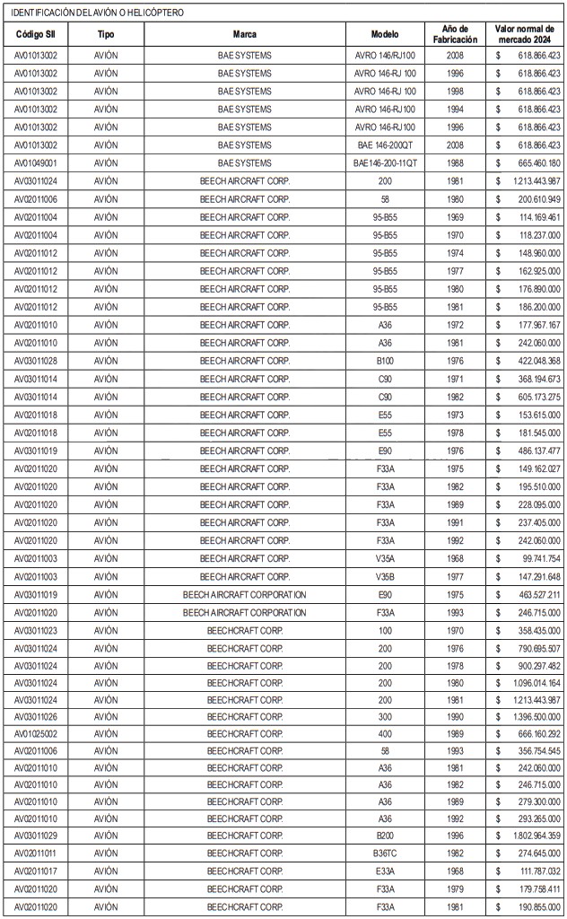
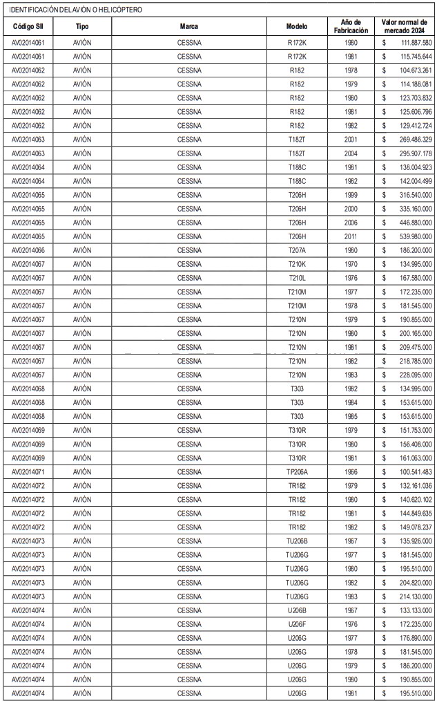
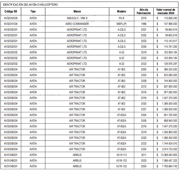
NÓMINA Aviso S/N,
HACIENDA
D.O. 30.10.2025
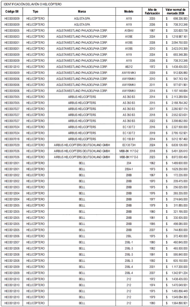
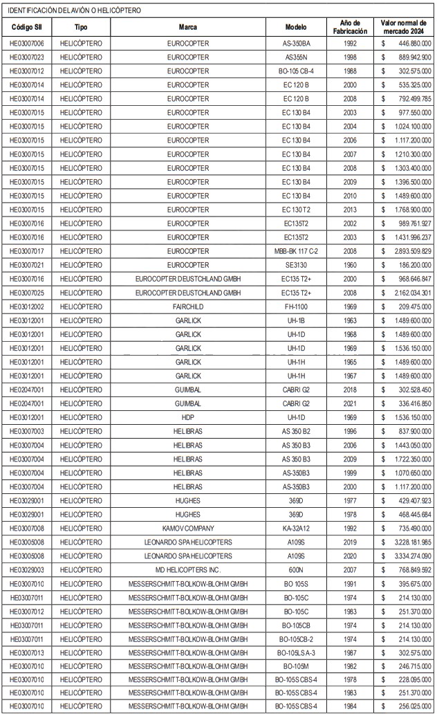
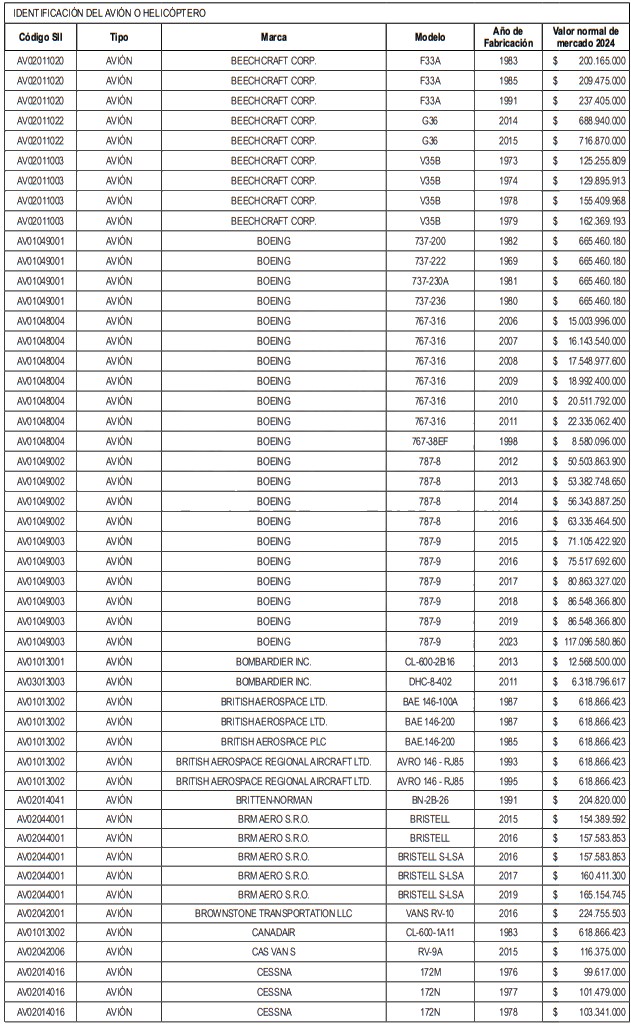
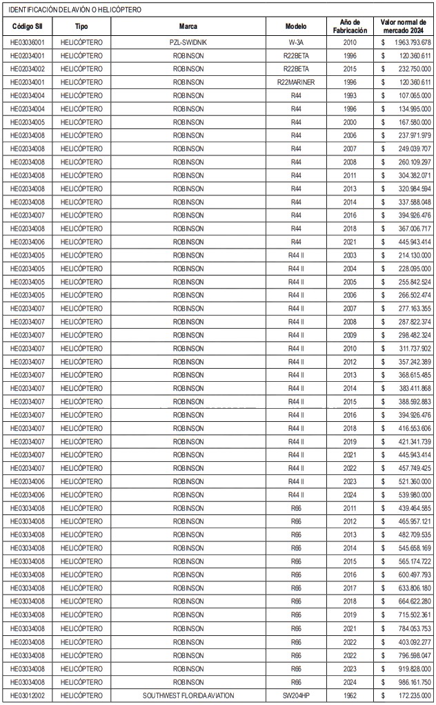
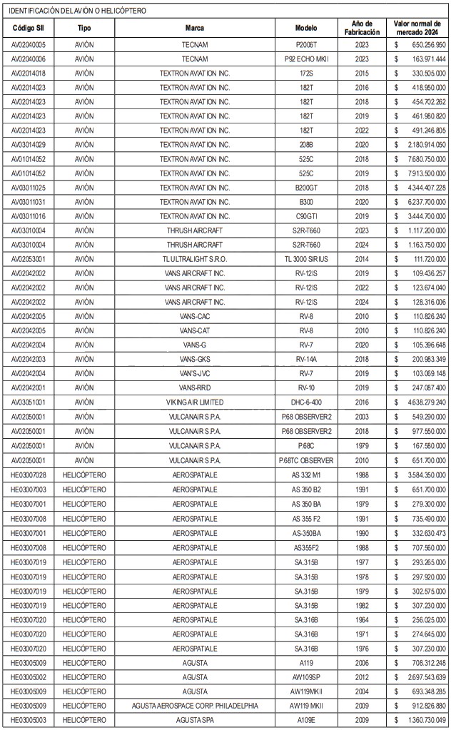
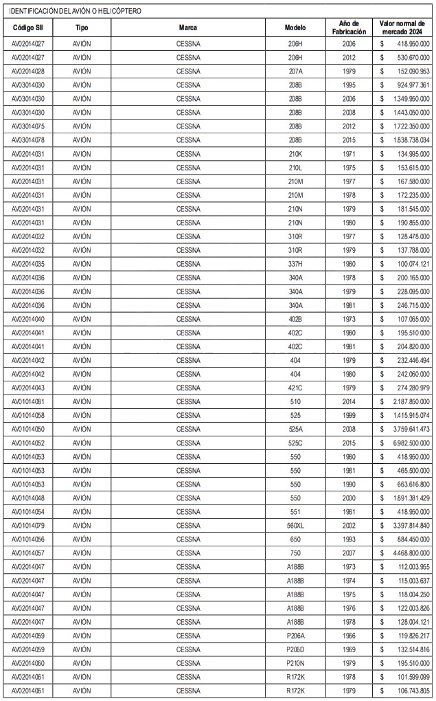
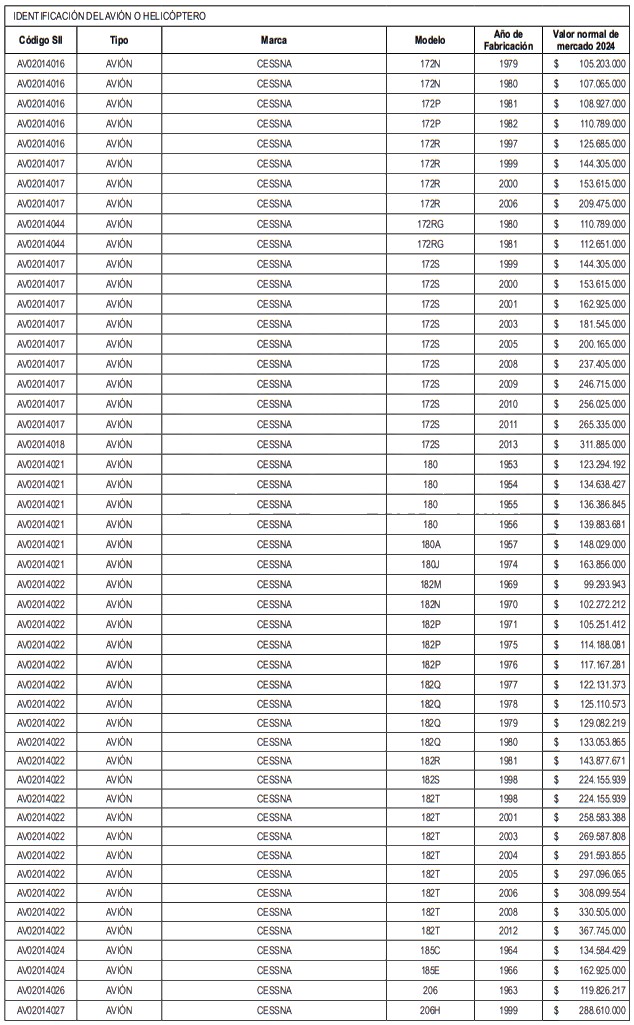
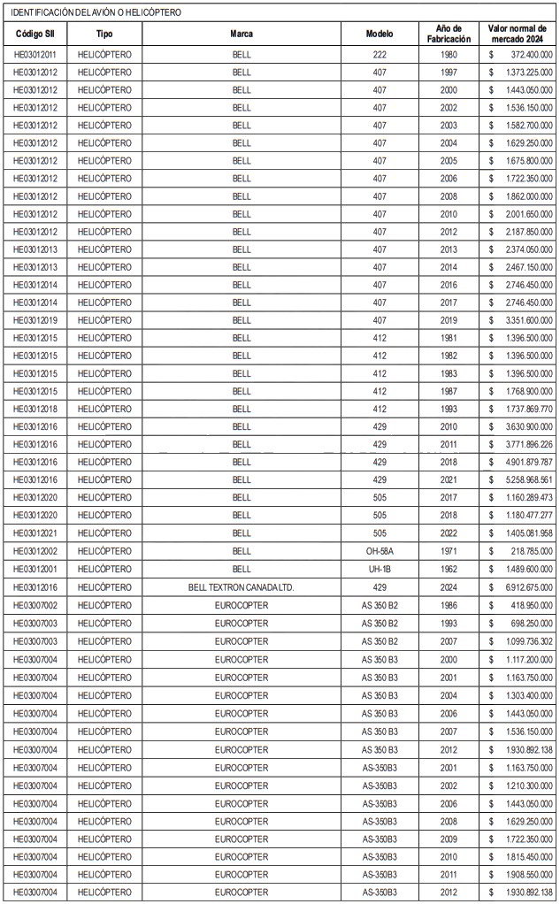
DE HELICÓPTEROS Y AVIONES
    Actualizada por resolución exenta SII N° 121 del 16 de septiembre de 2025