MODIFICA CONCESIÓN DE SERVICIO INTERMEDIO DE TELECOMUNICACIONES, QUE ÚNICAMENTE PROVEA INFRAESTRUCTURA FÍSICA PARA TELECOMUNICACIONES, A LA EMPRESA TELEFÓNICA EMPRESAS CHILE S.A.
Santiago, 1 de diciembre de 2025.- Con esta fecha se ha decretado lo que sigue:
Núm. 952 exento.
Vistos:
a) El decreto ley N° 1.762, de 1977, que creó la Subsecretaría de Telecomunicaciones, en adelante "la Subsecretaría".
b) La Ley N° 18.168, General de Telecomunicaciones, en adelante "la Ley".
c) El decreto supremo N° 103, de 2008, del Ministerio de Transportes y Telecomunicaciones, que faculta al Ministro de Transportes y Telecomunicaciones para firmar "Por orden del Presidente de la República".
d) El decreto supremo N° 353, de 2001, del Ministerio de Transportes y Telecomunicaciones, Reglamento del Fondo de Desarrollo de las Telecomunicaciones, y sus modificaciones.
e) El decreto supremo N° 99, de 2012, del Ministerio de Transportes y Telecomunicaciones, Reglamento que establece los requisitos para obtener, instalar, operar y explotar concesiones de servicios intermedios de telecomunicaciones que únicamente provean infraestructura física para telecomunicaciones, y sus modificaciones.
f) La resolución N° 36, de 2024, de la Contraloría General de la República, que Fija Normas sobre Exención del Trámite de Toma de Razón.
g) La resolución afecta N° 16, de fecha 12.02.2013, de la Subsecretaría, que aprueba las Bases Generales para Concursos Públicos para la Asignación de Proyectos y sus respectivos Subsidios, correspondientes al Programa Anual de Proyectos Subsidiables del Fondo de Desarrollo de las Telecomunicaciones.
h) La resolución afecta N° 05 de 10.08.2020, de la Subsecretaría, que aprueba las Bases Específicas del Concurso Público "Fibra Óptica Nacional", Código: FDT-2019-01-SUR, modificada mediante Resolución Afecta N° 01, de fecha 04.01.2021.
i) La resolución exenta N° 2.245 de 25.11.2020, de la Subsecretaría, que aprueba el Informe de Respuestas a las Consultas y Aclaraciones formuladas a las Bases Generales y Específicas del Concurso Público de los literales g) y h) de los Vistos, respectivamente.
j) Los ingresos Subtel N° 22.598, N° 22.601, N° 22.602, N° 22.603, N° 22.701, N° 22.607 y N° 22.611, todos de fecha 08.02.2021, mediante los cuales la empresa Telefónica Empresas Chile S.A. presenta su Propuesta al Concurso Público del literal h) de los Vistos, para la Macrozona Sur, Código: FDT-2019-01-SUR, a saber los sobres S1, S2, S3 y S4.
k) Los ingresos Subtel N° 58.658, N° 58.650 y N° 58.652, todos de fecha 05.04.2021, mediante los cuales la empresa Telefónica Empresas Chile S.A. aclara antecedentes especificados en su Propuesta del literal j) de los Vistos, para la Macrozona Sur, Código: FDT-2019-01-SUR.
l) El oficio Ord. N° 7.420, GFDT N° 180, de fecha 18.05.2021, de la Subsecretaría, por el cual se comunica a la empresa Telefónica Empresas Chile S.A. la adjudicación de su Propuesta presentada para la Macrozona Sur, Código: FDT-2019-01-SUR, del Concurso Público "Fibra Óptica Nacional", Código: FDT-2019-01-SUR.
m) El decreto supremo N° 158 de 2021, del Ministerio de Transportes y Telecomunicaciones, que otorgó la concesión y sus modificaciones posteriores.
n) El oficio Ord. N° 14.483 de 17.09.2025, de la Subsecretaría, por el cual se informa favorablemente a la empresa Telefónica Empresas Chile S.A., la calificación de hecho sobreviniente del artículo 36° de las Bases Generales del literal h) de los Vistos y la extensión de plazos solicitada para el término de obras y de inicio del Servicio de Infraestructura del Proyecto Macrozona Sur, Código: FDT-2019-01-SUR, del Concurso Público "Fibra Óptica Nacional", Código: FDT-2019-01.
Considerando:
a) Lo solicitado por la interesada mediante los in gresos Subtel N° 106.570 de 23.09.2025 y N° 114.480 de 13.10.2025, este último complementado mediante los i ngresos Subtel N° 116.738 de 17.10.2025 y N° 123.989 de 05.11.2025.
b) Lo solicitado por la interesada mediante i ngreso Subtel N° 132.069 de 26.11.2025.
c) Lo dispuesto en el artículo 33 de la ley N° 19.880 que permite la acumulación o desacumulación de procedimientos.
d) Que las solicitudes modifican elementos de la concesión no contemplados en el inciso quinto del Artículo 14°, de la Ley, por lo que en la especie no son aplicables las normas de los Artículos 15° y 16° de la misma, en lo relacionado a no requerir de publicación del extracto de las solicitudes.
Decreto:
Modifícase la concesión de Servicio Intermedio de Telecomunicaciones, que únicamente provea infraestructura de telecomunicaciones, otorgada a la empresa Telefónica Empresas Chile S.A., RUT N° 78.703.410-1, con domicilio en Avenida Providencia N° 111, comuna de Providencia, Región Metropolitana de Santiago, en adelante la concesionaria, en el sentido que se indica en los numerandos siguientes:
1. Autorízase a la concesionaria para, según ingreso Subtel N° 114.480/2025:
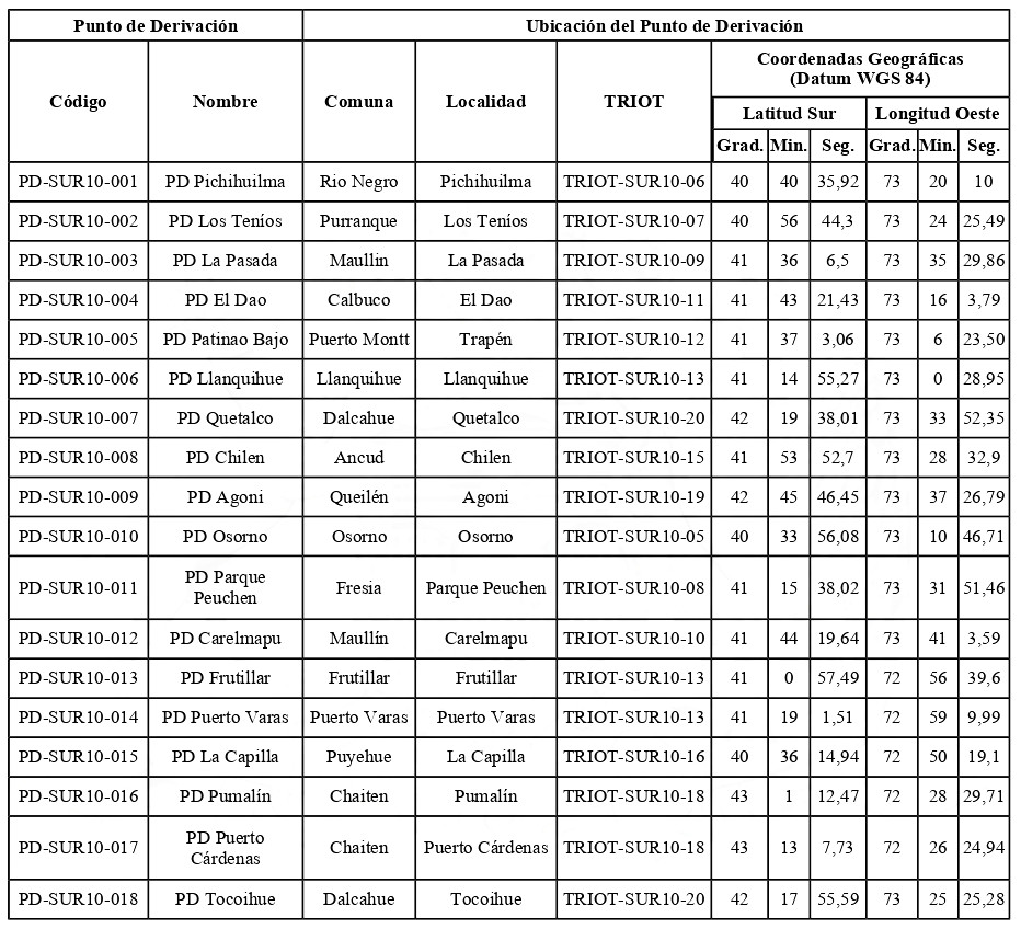
1.1. Modificar la dirección y coordenadas geográficas del PIX de la tabla del numeral 2, autorizado mediante decreto supremo del literal m) de los Vistos, según se indica a continuación:

1.2. Modificar la tabla del numeral 3 del decreto supremo del literal m) de los Vistos, quedando según se indica a continuación:


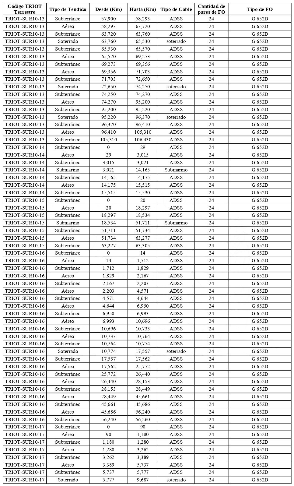
1.3. Modificar la tabla del numeral 4, del decreto supremo del literal m) de los Vistos, quedando según se indica a continuación:

1.4. Modificar la tabla del numeral 5, del decreto supremo del literal m) de los Vistos, quedando según se indica a continuación:







. TRIOT-SUR10: Tramo de Infraestructura Óptica para Telecomunicaciones Los Lagos.
. Las pérdidas ópticas máximas por filamento de fibra óptica por TRIOT Terrestre son menores que 0,275 [dB/km] para la longitud de onda 1550 [nm] y 0,550 [dB/km] para la longitud de onda 1310 [nm].
. ADSS: Cable de Fibra Óptica Dieléctrico Autosoportado (All-Dielectric Self-Supporting).
. Aéreo: Cable de Fibra Óptica instalada aéreamente.
. Soterrado: Cable de Fibra Óptica soterrado directamente o en ducto.
. Submarino: Cable de Fibra Óptica instalada submarinamente.
1.5. Modificar la tabla del numeral 6 del decreto supremo del literal m) de los Vistos, quedando según se indica a continuación:

1.6. Modificar la tabla del numeral 7 del decreto supremo del literal m) de los Vistos, quedando según se indica a continuación:


2. Autorízase a la concesionaria para, según ingreso Subtel N° 106.570/2025, modificar los plazos máximos de término de obras y de inicio de servicio establecidos en la concesión otorgada por decreto supremo N° 158 de 2021, del Ministerio de Transportes y Telecomunicaciones, de conformidad al pronunciamiento emitido por la Subsecretaría de Telecomunicaciones y que consta en el oficio Ord. del literal n) de los Vistos, según se indica a continuación:

3. Apruébase los Proyectos Técnicos base de las solicitudes presentada por la concesionaria, conforme a las disposiciones técnico-legales que rigen el servicio de telecomunicaciones concedido. La documentación respectiva quedará archivada en la Subsecretaría de Telecomunicaciones.
4. Es obligación de la concesionaria el conocimiento y cumplimiento de las disposiciones legales, reglamentarias y técnicas que regulan las telecomunicaciones, en lo que le sean aplicables. Asimismo, lo establecido en las Bases de Concurso, lo comprometido por la concesionaria y lo autorizado por este organismo de Estado, según se indica en los literales h), i), y j) de los Vistos y la solicitud de modificación de concesión referenciada en el literal a) de los considerandos.
5. El presente acto autorizatorio será notificado desde la casilla partes@subtel.gob.cl.
Anótese, comuníquese, notifíquese a la interesada y publíquese en el Diario Oficial.- Por orden del Presidente de la República, Juan Carlos Muñoz Abogabir, Ministro de Transportes y Telecomunicaciones.
Lo que transcribo para su conocimiento.- Saluda atentamente a Ud., Claudio Araya San Martín, Subsecretario de Telecomunicaciones.