EXTRACTO
Extracto de resolución exenta del Servicio de Impuestos Internos N°194, de 23 de diciembre de 2025, que fija nómina de bienes afectos, según lo establecido en el artículo 9 de la Ley N° 21.420.
El texto íntegro de esta resolución está publicado en la Oficina Virtual del Servicio de Impuestos Internos en internet (www.sii.cl).-
Simón Antonio Ramírez Guerra, Director (S).
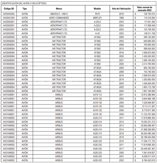
NÓMINA DE HELICÓPTEROS Y AVIONES
Resolución exenta SII N° 194 del 23 de diciembre de 2025










NÓMINA DE YATES
Resolución exenta SII N° 194 del 23 de diciembre de 2025




NÓMINA DE AUTOMÓVILES, STATION WAGONS Y VEHÍCULOS SIMILARES
Resolución exenta SII N° 194 del 23 de diciembre de 2025













