APRUEBA PROGRAMA DE EXPROPIACIONES DE LAS COPROPIEDADES A1, A2 Y B DEL CONJUNTO HABITACIONAL MICHAIHUE, UBICADO EN LA COMUNA DE SAN PEDRO DE LA PAZ, REGIÓN DEL BIOBÍO, PARA LA EJECUCIÓN DEL "PLAN MAESTRO DE REGENERACIÓN HABITACIONAL MICHAIHUE", PARA EL AÑO 2025 Y SIGUIENTES
Santiago, 26 de diciembre de 2025.- Hoy se decretó lo que sigue:
Núm. 97 exento.
Visto:
a) El artículo 51 de la ley N° 16.391; el N° 1.9 de la parte I del artículo 1° del DS N° 153 (V. y U.), de 1983;
b) La resolución exenta N° 14.464 (V. y U.), de 2017, que establece criterios y procedimientos para la adquisición, administración y enajenación de inmuebles de propiedad Serviu;
c) El oficio ordinario N° 6628, del 5 de septiembre de 2025, del Servicio de Vivienda y Urbanización de la Región del Biobío, mediante el cual solicita se dicte el decreto supremo que apruebe la expropiación de las Copropiedades A1, A2 y B del Conjunto Habitacional Condominios Vistas al Mar (Michaihue 716), en el marco del Plan de Regeneración Urbano y Habitacional de Michaihue, de la comuna de San Pedro de la Paz;
d) El Informe Técnico de Expropiación para la adquisición de los inmuebles pertenecientes a las Copropiedades A1, A2 y B, del Conjunto Habitacional Condominios Vista al Mar, Michaihue 716, elaborado por el Departamento de Desarrollo Urbano e Infraestructura de la Secretaría Regional Ministerial de Vivienda y Urbanismo de la Región del Biobío;
e) El Plano de Expropiación de Copropiedad A1, A2 y B, Conjunto Habitacional Michaihue 716, comuna de San Pedro de la Paz, Escala 1:500, elaborado por el Serviu de la Región del Biobío con fecha 4 de junio de 2025;
f) El oficio Ord. N° 1759, de 9 de octubre de 2025, del Jefe (S) de la División Técnica de Estudio y Fomento Habitacional, que solicita al Jefe (S) de la División Jurídica se dicte el decreto supremo que apruebe la expropiación de los referidos inmuebles; y,
g) La resolución N° 36, de 2024, de la Contraloría General de la República;
Considerando:
1. Que, por medio del oficio del Director del Servicio de Vivienda y Urbanización de la Región del Biobío, citado en los vistos de este decreto, se solicitó a esta Cartera de Estado la elaboración del decreto que aprueba la expropiación de las Copropiedades A1, A2 y B del Conjunto Habitacional Condominios Vistas al Mar (Michaihue 716), en el marco del Plan de Regeneración Urbano y Habitacional de Michaihue, de la comuna de San Pedro de la Paz. Este proyecto se enmarca en el Programa de Regeneración de Conjuntos Habitacionales de la Seremi Minvu de la Región del Biobío, que busca mejorar la calidad de vida de las familias propietarias cuyos inmuebles se encuentran con un alto nivel de deterioro urbano, y que se encuentran localizados en entornos problemáticos en cuanto a materialidad arquitectónica y ciertamente con severas deficiencias en cuanto a equipamientos comunitarios y de accesibilidad a servicios. El objetivo principal de esta intervención consiste en regenerar los conjuntos habitacionales de viviendas sociales que presenten un alto deterioro o que sean irrecuperables, y su entorno, a través de la implementación de un plan de intervención que contempla expropiaciones y asignación de subsidios de radicación y relocalización.
2. Que, para lo señalado en el considerando precedente, es necesario que el Servicio de Vivienda y Urbanización de la Región del Biobío sea propietario de los inmuebles que componen las Copropiedades A1, A2 y B del conjunto habitacional ya individualizado, para proceder a su demolición y luego, a la reconstrucción de un nuevo barrio, bajo los estándares del Programa de Regeneración de Conjuntos Habitacionales de Viviendas Sociales, regulado por el DS N° 18 (V. y U.), de 2017.
3. Que, la Copropiedad A1, que se ubica en calle Longitudinal 1 N° 1045, de la comuna de San Pedro de la Paz, tiene una superficie de terreno total de 6.312,95 m2, una superficie edificada de 6.343,12 m2 y posee 140 unidades habitacionales. Además, ha sido identificada en el Sistema Integrado de Bienes Inmuebles Serviu (SIBIS) con el código 08-02226.
4. Que, la Copropiedad A2, que se ubica en calle Pablo Neruda N° 154 y N° 128, de la comuna de San Pedro de la Paz, tiene una superficie de terreno total de 6.708,14 m2, una superficie edificada de 6.524,35 m2 y posee 144 unidades habitacionales. Además, ha sido identificada en el Sistema Integrado de Bienes Inmuebles Serviu (SIBIS) con el código 08-02227.
5. Que, la Copropiedad B, que se ubica en calle Nueva 1 N° 973, de la comuna de San Pedro de la Paz, tiene una superficie de terreno total de 4.626,91 m2, una superficie edificada de 4.349,57 m2 y posee 96 unidades habitacionales. Además, ha sido identificada en el Sistema Integrado de Bienes Inmuebles Serviu (SIBIS) con el código 08-02228.
6. Que las expropiaciones de este proyecto de intervención se han ido ejecutando por etapas, para lo cual, el año 2022, mediante el decreto exento N° 32 (V. y U.), de 2022, se aprobó el programa de expropiaciones respecto de la Copropiedad B, del mismo conjunto habitacional; y mediante el decreto exento N° 41 (V. y U.), de 2023, se aprobó el programa de expropiaciones para la Copropiedad C.
7. Que, para completar la expropiación de la totalidad de las unidades restantes del Conjunto Habitacional ya singularizado, mediante este decreto exento se aprobará el programa de expropiaciones de las Copropiedades A1, A2 y B.
8. Que, en virtud de lo anterior, mediante el informe técnico citado en los vistos, del Departamento de Desarrollo Urbano e Infraestructura de la Secretaría Regional Ministerial de Vivienda y Urbanismo de la Región del Biobío, en adelante e indistintamente "Seremi", se informó favorablemente la expropiación con fines de utilidad pública, de todos los inmuebles que se singularizarán a continuación, razón por la que dicto el siguiente:
Decreto:
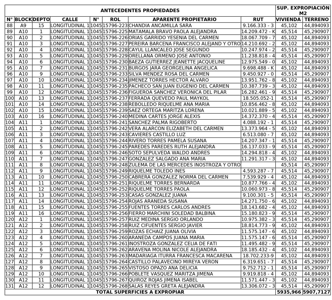
1. Apruébase el programa de expropiaciones de las unidades pertenecientes a las Copropiedades A1, A2 y B, del Conjunto de Condominio Vista al Mar (Michaihue 716), de la comuna de San Pedro de la Paz, de la Región del Biobío, necesarios para la implementación del Proyecto "Plan Maestro de Regeneración Habitacional Michaihue", durante el año 2025 y siguientes, según el Plano de Expropiación singularizado en el Visto e), que se identifican a continuación:
Copropiedad A1



Copropiedad A2



Copropiedad B


La superficie aproximada a expropiar respecto a las unidades de departamento es de 15.676,98 m² y respecto a los derechos de cada unidad en los bienes de dominio común es de 16.059,57495 m².
2. Publíquese el presente decreto en el Diario Oficial y en un periódico de la provincia del Biobío, si lo hubiere.
Anótese, notifíquese y publíquese.- Por orden del Presidente de la República, Carlos Montes Cisternas, Ministro de Vivienda y Urbanismo.
Lo que transcribo para su conocimiento.- Gabriela Elgueta Poblete, Subsecretaria de Vivienda y Urbanismo.