MODIFICA DECRETO Nº 61 EXENTO, DE 2024, DEL MINISTERIO DE SALUD, QUE DETERMINA ESPECIALIDADES DE LA MEDICINA CON DERECHO A ASIGNACIÓN MENSUAL DE ESTÍMULO POR COMPETENCIAS PROFESIONALES EN ATENCIÓN PRIMARIA DE SALUD EN EL AÑO 2025
Núm. 34 exento.- Santiago, 24 de septiembre de 2025.
Vistos:
Lo solicitado mediante memorándum C73 N° 87, de 2 de julio de 2025, de la Jefa de División de Presupuesto; memorándum C52 N° 174, de 30 de junio de 2025, de la Jefa de División de Atención Primaria; lo dispuesto en la Constitución Política de la República de Chile; en el decreto con fuerza de ley N° 1, de 2005, del Ministerio de Salud, que fija el texto refundido, coordinado y sistematizado del decreto ley N° 2.763, de 1979, y de las leyes N° 18.933 y N° 18.469; en la ley Nº 19.378, que establece el Estatuto de Atención Primaria de Salud Municipal; en la ley N° 20.836, que perfecciona la normativa sobre profesionales y trabajadores del sector público de salud; en el decreto supremo N° 2.296, de 1995, del Ministerio de Salud, que aprueba el reglamento general de la ley N° 19.378; en el decreto supremo N° 1.889, de 1995, del Ministerio de Salud, que aprueba el reglamento de la carrera funcionaria del personal regido por el Estatuto de Atención Primaria de Salud Municipal; en el decreto supremo N° 149, de 2015, del Ministerio de Salud, que reglamenta la asignación mensual de estímulo por competencias profesionales del artículo 8° de la ley N° 20.816; las resoluciones N° 30, de 2015, y N°36, de 2024, ambas de la Contraloría General de la República, y
Considerando:
1. Que, el artículo 8º de la ley N° 20.816, concede a los médicos cirujanos que se desempeñan en establecimientos municipales de atención primaria de salud, regidos por la ley N° 19.378, una asignación mensual de estímulo por competencias profesionales, cuyo monto será equivalente al 100% de la suma del sueldo base más la asignación de atención primaria de salud, correspondiente al nivel y categoría que ocupa en su establecimiento, en una carrera referencial lineal diseñada a partir del sueldo base mínimo nacional, en relación con una jornada de cuarenta y cuatro horas semanales, donde la asignación de aquellos profesionales que desempeñan jornadas de once, veintidós y treinta y tres horas semanales, será equivalente al 25%, 50% y 75% de la correspondiente a una jornada de cuarenta y cuatro horas semanales, respectivamente.
2. Que, el inciso tercero del citado texto legal añade, que a más tardar el 31 de diciembre de cada año, el Ministerio de Salud, mediante decreto expedido bajo la fórmula "por orden del Presidente de la República", suscrito, además, por el Ministro de Hacienda, debe determinar las especialidades que tendrán derecho a la asignación mensual de estímulo por competencias profesionales para el siguiente ejercicio, las entidades administradoras de salud municipal que contarán con los recursos necesarios para pagarla y el monto de los recursos asignados a cada una de ellas, comenzando a regir el decreto en comento el 1 de enero del año siguiente al de su dictación.
3. Que, atendido lo anterior, mediante decreto exento N° 61, de 31 de diciembre de 2024, se determinaron las especialidades de la medicina con derecho a asignación mensual de estímulo por competencias profesionales en atención primaria de salud en el año 2025.
4. Que, el presupuesto disponible para el pago de la asignación de estímulo por competencias profesionales para médicos cirujanos regidos por la ley N° 19.378, durante el año 2025, asciende a la suma de $18.886.792.526.- (dieciocho mil ochocientos ochenta y seis millones setecientos noventa y dos mil quinientos veintiséis pesos).
5. Que, el artículo 1º de la ley 21.724 establece que a contar del 1 de junio de 2025 se otorgará un reajuste de un 0,64%, a las remuneraciones, asignaciones, beneficios y demás retribuciones en dinero imponibles para salud y pensiones, o no imponible de las y los trabajadores del Sector Público.
6. Que, mediante memorándum C52 N°174, de 30 de junio de 2025, la jefa de División de Atención Primaria del Ministerio de Salud, solicita modificar el referido decreto exento N° 61 de 2024, debido a que los Servicios de Salud de Los Ríos, Osorno, Metropolitanos Oriente, Central y Occidente, han advertido diferencias en la información proporcionada para la definición de la asignación mensual de estímulo por competencias profesionales, lo que afecta la remuneración de aquellos profesionales de la salud que efectivamente cumplen con el requisito de la ley 20.816 y que actualmente no reciben la asignación. Lo indicado significa aumentar recursos a las comunas de La Unión, Osorno, Lo Barnechea, Santiago y Pudahuel, que serán financiados con el presupuesto vigente de la Atención Primaria, de acuerdo a lo siguiente:
DECRETO EXENTO Nº 61 ESPECIALIDAD DE MEDICINA FAMILIAR

MODIFICACIÓN ESPECIALIDAD DE MEDICINA FAMILIAR

DECRETO EXENTO Nº 61 ESPECIALIDAD DISTINTA A LA DE MEDICINA FAMILIAR

MODIFICACIÓN ESPECIALIDAD DISTINTA A LA DE MEDICINA FAMILIAR

7. Que, a través de la Ley de Presupuesto N°21.722 de la partida 16, Capítulo 02, Programa 02, glosa 17, se ha determinado incluir el pago de la asignación para médicos especialistas de Atención Primaria adicionales a los de Medicina Familiar, a las especialidades de Medicina Interna, Obstetricia y Ginecología, Pediatría, Psiquiatría Adulto, Psiquiatría Pediátrica y de la Adolescencia y Salud Pública por un monto de $1.600.000.000, guarismo modificado a través del decreto Nº608, de fecha 27 de mayo de 2025, del Ministerio de Hacienda.
8. Que, el artículo 78 de la Ley de Reajuste del Sector Público N°21.724, autoriza durante el año 2025, en forma excepcional, a las entidades administradoras de salud municipal, para pagar a partir del mes de julio del año 2025, la asignación de estímulo por competencias profesionales establecida en el artículo 8º de la ley Nº20.816 a los médicos cirujanos de especialidades distintas a las de medicina familiar.
9. Que, en mérito de lo expuesto, dicto el siguiente
Decreto:
Artículo 1. Modifíquese el decreto exento N°61, de 31 de diciembre de 2024, del Ministerio de Salud, de acuerdo con lo expuesto precedentemente, sustituyendo íntegramente los artículos 2, 3 y 8, por el siguiente texto:
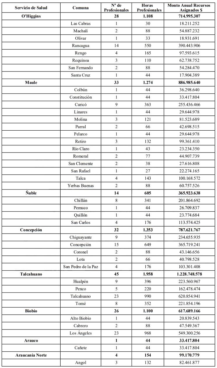
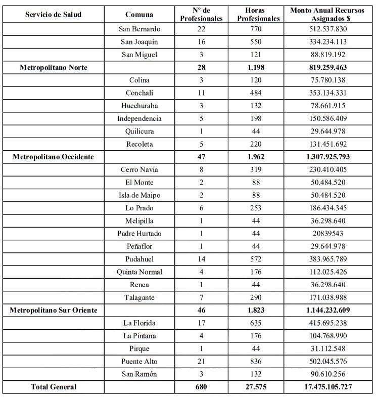
Artículo 2. Las entidades administradoras de salud municipal que se indican a continuación concederán dicha asignación a los médicos cirujanos que cuenten con la especialidad de Medicina Familiar, para lo cual contarán con los siguientes recursos en atención al número de profesionales y de horas semanales contratadas, conforme a continuación se indica:




Artículo 3. Los médicos cirujanos con especialidad distinta a la de Medicina Familiar y que a continuación se detallan, tendrán derecho a la asignación del artículo 8º de la Ley 20.816 a contar del 1 de julio del año 2025, en los términos establecidos en la ley 21.724, según lo siguiente:




Artículo 8. Déjese establecido que el monto total del presente decreto, asciende a la suma de $19.329.983.344.-, que se desglosa en $17.475.105.727, por el pago de la asignación de estímulo por competencias profesionales para médicos con especialidad en Medicina Familiar señalados en el artículo 2°; $1.844.696.230, médicos con especialidad de Medicina Interna, Obstetricia y Ginecología, Pediatría, Psiquiatría Adulto, Psiquiatría Pediátrica y de la Adolescencia y Salud Pública señalados en el artículo 3º; y $10.181.387, correspondiente al pago dispuesto por dictamen de la Contraloría señalado en artículo 7º del decreto exento Nº61, de 31 de diciembre de 2024, del Ministerio de Salud.
Artículo 2. En lo no modificado, mantiene plena vigencia lo establecido en el decreto exento Nº 61, del 31 de diciembre de 2024, del Ministerio de Salud.
Anótese y publíquese en el Diario Oficial.- Por orden del Presidente de la República, Ximena Aguilera Sanhueza, Ministra de Salud.- Nicolás Grau Veloso, Ministro de Hacienda.
Transcribo para su conocimiento decreto exento N° 34, de 24 de septiembre de 2025.- Por orden de la Subsecretaría de Salud Pública.- Saluda atentamente a Ud., Marcelo Olivares Pacheco, Jefe de la División Jurídica (S), Ministerio de Salud.