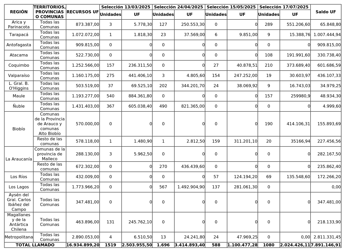
1. Modifícase la resolución exenta N° 195 (V. y U.), de fecha 05 de febrero de 2025, en el sentido de reemplazar la tabla inserta en su resuelvo 2. por la siguiente:

2. Modifícase la resolución exenta N° 1.568 (V. y U.), de fecha 16 de octubre de 2025, en el sentido de reemplazar la tabla inserta en su resuelvo 4. por la siguiente:

3. Apruébase la siguiente nómina de proyectos seleccionados, con su respectivo financiamiento total, para el otorgamiento de subsidios del Programa Habitacional Fondo Solidario de Elección de Vivienda en la alternativa de postulación colectiva, para los proyectos de Construcción en Nuevos Terrenos, en las Regiones de Arica y Parinacota, Tarapacá, Atacama, Coquimbo, Valparaíso, General del Libertador Bernardo O'Higgins, Maule, Biobío y Los Ríos correspondiente al proceso de selección cuyo cierre de postulación se verificó el día 17 de julio de 2025, del llamado efectuado mediante la resolución exenta N° 195 (V. y U.), de 2025:

El detalle de los recursos comprometidos por concepto de subsidio base y subsidios complementarios para los proyectos seleccionados en el presente resuelvo y que por este acto se asignan, se informa en la nómina que se adjunta como anexo y forma parte integrante de la presente resolución.
4. El monto del subsidio asignado de conformidad con el cuadro del resuelvo 3. precedente comprende los siguientes valores por concepto de Servicios de Asistencia Técnica, de Labores de Fiscalización Técnica de Obra y pago de Aranceles al Conservador de Bienes Raíces:

En el caso de los Servicios de Asistencia Técnica, dichos montos fueron calculados conforme a la resolución exenta N° 1.875 (V. y U.), de 2015, y, de acuerdo con el número de familias postulantes que se beneficiarán por esta resolución, considerando los recursos para Asistencia Técnica descritos en las tablas insertas en los números 1.1 y 1.2 del numeral 1 del artículo 3° de la citada resolución. Se adiciona además 1,5 UF por familia, considerando lo señalado en el segundo inciso, del número 1.1. del numeral 1 del citado artículo. Este monto también incorpora los incrementos señalados en las letras a), b), c) y d) del numeral 3 del mismo artículo, referidos a Densificación en Altura o Habilitación, Factibilización, Discapacidad, Territorios Especiales y Localidades Aisladas, conforme lo define la referida resolución.
Mediante resolución del Director del Serviu respectivo, se determinarán los montos definitivos de Asistencia Técnica, cuando corresponda otorgar los incrementos que la resolución exenta N° 1.875 (V. y U.), de 2015, establece en las letras e), g), h), i), j) y k) del número 3 de su artículo 3°, o cuando corresponda aplicar lo señalado en el inciso 2 del número 8 de su artículo 2°.
En el caso de la Fiscalización Técnica de Obras, de acuerdo a la totalidad de viviendas del proyecto y según mecanismo expresado en el resuelvo 2. de la resolución exenta N° 195 (V. y U), de 2025 y en el artículo 4° número 17 de la resolución exenta N° 1.875 ya citada o lo expresado en la resolución exenta N° 490 (V. y U.), de 2023, citada en el visto e), según corresponda.
5. Los recursos comprometidos en el resuelvo 3. y 4. de la presente resolución, para los proyectos seleccionados en el cierre de postulación efectuado el día 17 de julio de 2025, del concurso a que se llamó por resolución exenta N° 195 (V. y U.), de 2025, se resumen en el siguiente cuadro para cada región del país, incluyendo la suma total de familias beneficiadas y las Unidades de Fomento comprometidas, considerando los montos de subsidio de los proyectos, incluidos sus respectivos servicios de asistencia técnica y fiscalización técnica de obras:

6. Déjase establecido que, sin perjuicio de lo señalado en el artículo 40 de la Ley 18.591, los proyectos habitacionales que por este acto se seleccionan, y que reúnan los requisitos para iniciar obras conforme a las disposiciones reglamentarias aprobadas por el DS N° 49 (V. y U.), de 2011, podrán solicitar anticipos y/o préstamos destinados a financiar la ejecución física de las obras, siempre y cuando las disponibilidades de caja del Servicio de Vivienda y Urbanización respectivo lo permita.