MODIFICA LA RESOLUCIÓN EXENTA Nº395 (V. Y U.), DE FECHA 21 DE MARZO DE 2025, QUE LLAMA A PROCESO DE SELECCIÓN EN CONDICIONES ESPECIALES PARA EL OTORGAMIENTO DE SUBSIDIOS HABITACIONALES DEL TÍTULO II, EN LA MODALIDAD DE CONSTRUCCIÓN DE VIVIENDA NUEVA, CON PROYECTO DESARROLLADO, DEL PROGRAMA DE HABITABILIDAD RURAL, REGULADO POR EL D.S. Nº10 (V. Y U.), DE 2015, A LAS REGIONES QUE INDICA, EN LA ALTERNATIVA DE POSTULACIÓN INDIVIDUAL O COLECTIVA, Y APRUEBA PRIMERA, SEGUNDA Y TERCERA NÓMINA DE POSTULANTES SELECCIONADOS
Santiago, 31 de diciembre de 2025.- Hoy se resolvió lo que sigue:
Núm. 2.069 exenta.
Visto:
a) El D.S. Nº10 (V. y U.), de 2015, que reglamenta el Programa de Habitabilidad Rural, en especial sus artículos 36 y 38;
b) La resolución exenta Nº1.993 (V. y U.), de fecha 27 de diciembre de 2024, que autoriza efectuar llamados a postulación y/o comprometer recursos durante el año 2025, en el otorgamiento de subsidios habitacionales y señala el monto de los recursos destinados, entre otros, a la atención a través del programa regulado por el D.S. Nº10 (V. y U.), de 2015;
c) La circular Nº01, de fecha 13 de enero de 2025, de la Subsecretaría de Vivienda y Urbanismo, que comunica metas regionales del Programa Habitacional 2025, e indica el presupuesto disponible para asignar subsidios, entre otros, del Programa de Habitabilidad Rural;
d) La resolución exenta Nº395 (V. y U.), de fecha 21 de marzo de 2025, que llama a proceso de selección en condiciones especiales para el otorgamiento de subsidios habitacionales del Título II, en la Modalidad de Construcción de Vivienda Nueva, con proyecto desarrollado del Programa de Habitabilidad Rural, regulado por el D.S. Nº10 (V. y U.), de 2015, a las regiones que indica, en la alternativa de postulación individual o colectiva;
e) La resolución exenta Nº737 (V. y U.), de fecha 30 de mayo de 2025, que exime de requisitos para participar en proceso de selección en condiciones especiales para el otorgamiento de subsidios habitacionales del Programa de Habitabilidad Rural, regulado por el D.S. Nº10 (V. y U.), de 2015, y sus modificaciones, a familias de las comunas de La Unión y Río Bueno en la Región de Los Ríos;
f) La resolución exenta Nº916 (V. y U.), de fecha 1 de julio de 2025, que rectifica la resolución exenta Nº737 citada en el visto e) precedente, y
Considerando:
a) Que, mediante la resolución exenta Nº395 citada en el visto d) de la presente resolución, se llamó a proceso de selección nacional en condiciones especiales para el otorgamiento de subsidios habitacionales del Título II del Programa de Habitabilidad Rural, regulado por el D.S. Nº10 (V. y U.), de 2015, y sus modificaciones, en la Modalidad de Construcción de Vivienda Nueva, con proyecto desarrollado, en la alternativa de postulación individual o colectiva;
b) Que, mediante la resolución exenta Nº737 citada en el visto e) de la presente resolución y su rectificación citada en el visto f) de la presente resolución, se eximió a 40 familias de aportar el 50% del ahorro requerido para la postulación y se eximió a 95 familias para presentar el Permiso de Edificación otorgado por la Dirección de Obras Municipales respectiva, permitiéndose que estas familias puedan participar en el proceso de selección contando con sus proyectos en estado Aprobado Condicional;
c) Que, de acuerdo con lo indicado en los resuelvos 1 y 3 de la resolución exenta Nº395 citada en el visto d) de la presente resolución, se establece un primer, segundo y tercer proceso de selección para aquellos postulantes que cuenten con un proyecto en estado Aprobado Definitivo o Aprobado Condicional, según corresponda, hasta los días 30 de mayo, 14 de julio y 15 de septiembre, todos 2025;
d) Que, el llamado a postulación realizado mediante la resolución exenta Nº395 citada en el visto d) de la presente resolución, en su resuelvo 19 estableció un proceso de selección según orden de prelación, de acuerdo con los factores de puntaje determinados en la tabla inserta en dicho resuelvo;
e) La necesidad de modificar y complementar determinados aspectos de la resolución exenta Nº395 citada en el visto d) de la presente resolución, por lo que dicto la siguiente
Resolución:
1. Modifícase la resolución exenta Nº395 citada en el visto d) de la presente resolución, en el siguiente sentido:
1.1 Modificar el primer inciso del resuelvo 6, reemplazando el guarismo "2.581.260" por "2.238.769".
1.2 Modificar la tabla inserta en el resuelvo 6, por la siguiente:

1.3 Reemplazar el resuelvo 13, por lo siguiente:
"13. Para los postulantes señalados en el resuelvo 12 precedente, el monto de ahorro no aportado por la familia será incrementado por el MINVU, correspondiendo asignar el ahorro mínimo requerido para cada tipo de proyecto postulado, equivalente a familias del tramo de Caracterización Socioeconómica del 40%, según lo establecido en el artículo 11 del D.S. Nº10 (V. y U.), de 2015."
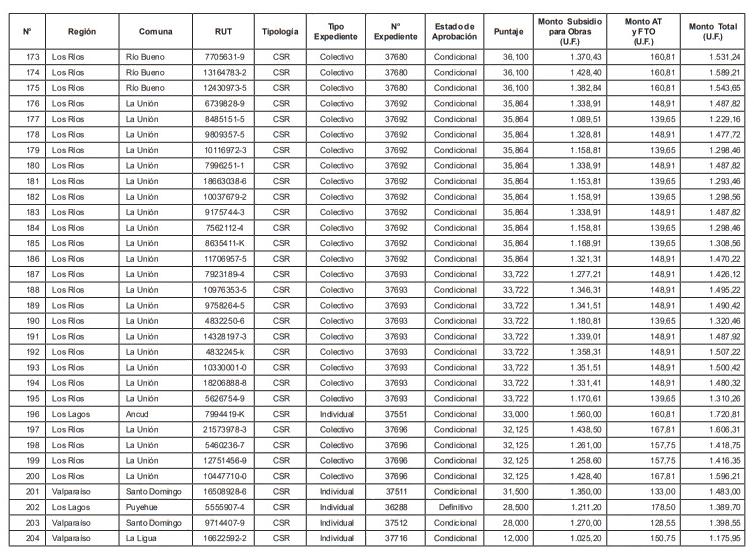
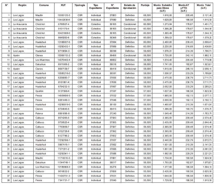
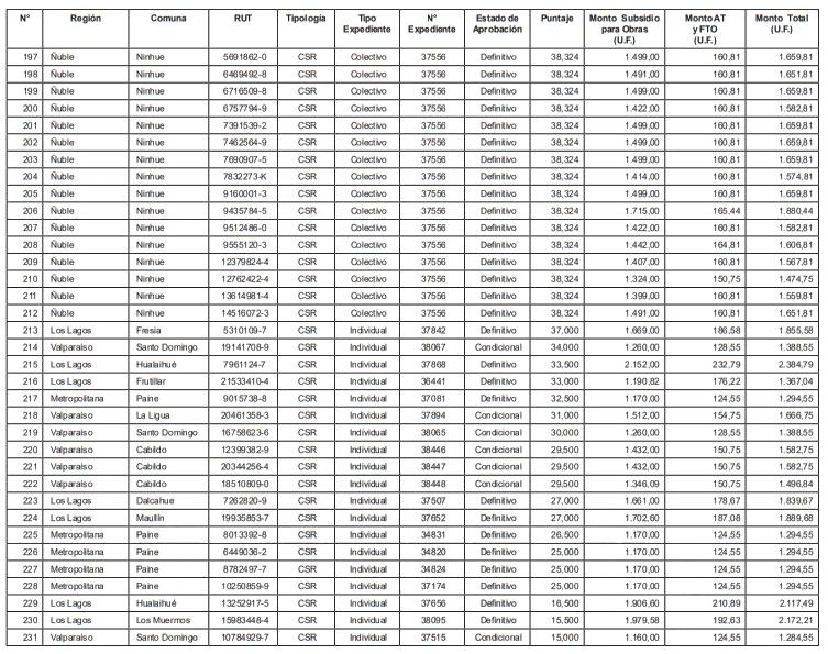
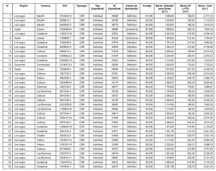
2. Apruébase la primera, segunda y tercera nómina de familias seleccionadas para el otorgamiento de subsidios habitacionales del Programa de Habitabilidad Rural en su título II, regulado por el D.S. Nº10 (V. y U.), de 2015, correspondientes al llamado a postulación nacional en condiciones especiales, regulado por la resolución exenta Nº395 citada en el visto d) de la presente resolución, las que se adjuntan a la presente resolución y se entenderán como parte integrante de ésta.
3. Asígnanse los recursos disponibles para las selecciones referidas en el resuelvo 2 precedente, cuya distribución por región se detalla en las siguientes tablas:


4. Impútase el monto total de 1.245.009,97 Unidades de Fomento señaladas en el resuelvo 3 precedente, a los recursos disponibles para las Regiones de Coquimbo, Valparaíso, Metropolitana, Ñuble, Biobío, La Araucanía, Los Ríos, Los Lagos y Aysén, en el Programa de Habitabilidad Rural correspondiente al año 2025.
5. Facúltase a las Seremi Minvu de las Regiones de Coquimbo, Valparaíso, Metropolitana, Ñuble, Biobío, La Araucanía, Los Ríos, Los Lagos y Aysén, para rectificar errores de digitación en el proceso del llamado a postulación nacional en condiciones especiales, regulado por la resolución exenta Nº395 citada en el visto d) de la presente resolución, pudiendo la Seremi Minvu respectiva, corregir nombres y números de cédula de identidad de los postulantes/beneficiarios, número de expediente y rectificar los montos de subsidios asignados.
Si la rectificación del subsidio supone un aumento del monto del proyecto, sólo podrá asignarse hasta el valor máximo establecido en el llamado regulado mediante la resolución exenta Nº395 citada en el visto d) de la presente resolución y será imputado a la región respectiva en el año del programa habitacional vigente. En tales casos, y previo a la emisión de la resolución de asignación de recursos, la SEREMI MINVU deberá contar con la confirmación de disponibilidad de programa, que será otorgada por la División de Política Habitacional.
Anótese, publíquese y archívese.- Carlos Montes Cisternas, Ministro de Vivienda y Urbanismo. Lo que transcribo para su conocimiento.- Gabriela Elgueta Poblete, Subsecretaria de Vivienda y Urbanismo.
ANEXO PRIMERA NÓMINA DE FAMILIAS SELECCIONADAS LLAMADO A POSTULACIÓN PARA CONSTRUCCIÓN DE VIVIENDAS NUEVAS, REGULADO POR LA RESOLUCIÓN EXENTA Nº395 (V. Y U.), DE 2025 PROGRAMA HABITABILIDAD RURAL D.S. Nº10 (V. Y U.), DE 2015




ANEXO SEGUNDA NÓMINA DE FAMILIAS SELECCIONADAS LLAMADO A POSTULACIÓN PARA CONSTRUCCIÓN DE VIVIENDAS NUEVAS, REGULADO POR LA RESOLUCIÓN EXENTA Nº 395 (V. Y U.), DE 2025 PROGRAMA HABITABILIDAD RURAL D.S. Nº 10 (V. Y U.), DE 2015




ANEXO TERCERA NÓMINA DE FAMILIAS SELECCIONADAS LLAMADO A POSTULACIÓN PARA CONSTRUCCIÓN DE VIVIENDAS NUEVAS, REGULADO POR LA RESOLUCIÓN EXENTA Nº395 (V. Y U.), DE 2025 PROGRAMA HABITABILIDAD RURAL D.S. Nº10 (V. Y U.), DE 2015



