OTORGA CONCESIÓN DE SERVICIO PÚBLICO DE TELECOMUNICACIONES A LA EMPRESA NETWILD SpA
Santiago, 26 de noviembre de 2025.- Con esta fecha se ha decretado lo que sigue:
Núm. 129.
Vistos:
a) El decreto ley Nº 1.762 de 1977, que creó la Subsecretaría de Telecomunicaciones, en adelante la Subsecretaría.
b) La Ley Nº 18.168, General de Telecomunicaciones, en adelante la ley.
c) La resolución Nº 36 de 2024, de la Contraloría General de la República, que Fija Normas sobre Exención del Trámite de Toma de Razón.
d) El decreto supremo Nº 103 de 2008, del Ministerio de Transportes y Telecomunicaciones.
Considerando:
a) Lo solicitado por la interesada mediante ingreso Subtel Nº 180.370 de 03.11.2021, complementado por ingresos Subtel Nº 5.244 de 12.01.2022 y Nº 85.579 de 05.07.2024.
b) Que la solicitud otorga una concesión de aquellas que, conforme al inciso quinto del artículo 14º de la Ley, se rigen por las normas establecidas en los artículos 15º y 16º, pero con excepción del trámite concerniente a la emisión del extracto y su publicación.
Decreto:
Otórgase una concesión de Servicio Público de Telecomunicaciones, a la empresa Netwild SpA, RUT Nº 77.442.082-7, con domicilio en Los Pétalos Nº 14649, comuna de San Bernardo, Región Metropolitana de Santiago, en adelante la concesionaria, en el sentido que se indica en los numerandos siguientes.
1. La presente concesión de Servicio Público de Telecomunicaciones se compone de los elementos indicados a continuación:
-Tipo de Servicio : Servicio Público de Telecomunicaciones.
-Prestación específica: Transmisión de Datos (acceso a internet fijo).
-Periodo de Vigencia : 30 años contados desde la publicación en el Diario Oficial del decreto que la autorice.
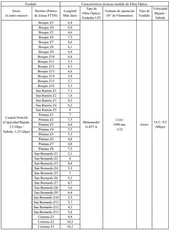
1. Autorízase a la concesionaria para instalar, operar y explotar un (1) Centro emisor, denominado Central Netwild y tendidos de Fibra Óptica, según se indica a continuación:


2. Ubicación del Centro emisor y puntos de Zonas FTTH.
Para la Región Metropolitana de Santiago:


Los medios de transmisión y/o conmutación, serán propios o arrendados a terceros debidamente autorizados.
3. La Zona de servicio comprende a las comunas de El Bosque, San Ramón, La Cisterna, La Pintana y San Bernardo, todas de la Región Metropolitana de Santiago.
4. Los plazos serán los que se indican a continuación:

5. Apruébase el proyecto técnico base de la solicitud presentada por la concesionaria, en lo relacionado con los sistemas y equipos de telecomunicaciones autorizados en el presente decreto, conforme a las disposiciones técnico-legales que rigen el servicio de telecomunicaciones concedido. La documentación respectiva quedará archivada en la Subsecretaría de Telecomunicaciones.
6. Es obligación de la concesionaria el conocimiento y cumplimiento de las disposiciones legales, reglamentarias y técnicas que regulan las telecomunicaciones, en lo que le sean aplicables.
7. La notificación del presente acto autorizatorio se realizará desde la casilla partes@subtel.gob.cl.
8. Déjanse sin efecto los decretos supremos Nº 62 y Nº 104, ambos de 2024, del Ministerio de Transportes y Telecomunicaciones.
Anótese, tómese razón, comuníquese, notifíquese a la interesada y publíquese en el Diario Oficial.- Por orden del Presidente de la República, Juan Carlos Muñoz Abogabir, Ministro de Transportes y Telecomunicaciones.
Lo que transcribo para su conocimiento.- Saluda atentamente a Ud., Claudio Araya San Martín, Subsecretario de Telecomunicaciones.