RENOVACIÓN DE CONCESIÓN MARÍTIMA MENOR
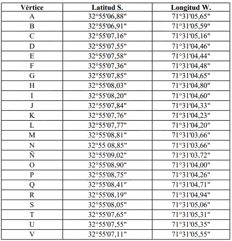
Decreto supremo N° 632, de fecha 6 de noviembre de 2025, del Ministerio de Defensa Nacional, Subsecretaría para las Fuerzas Armadas, otorgó al Sindicato de Trabajadores Independientes Pescadores Artesanales de Concón, Chile, RUT N° 71.483.300-6, primera renovación de concesión marítima menor, con vencimiento el 30 de junio de 2034, sobre sector de terreno de playa, fondo de mar, porción de agua y uso de mejora fiscal, en el lugar denominado Caleta San Pedro, comuna de Concón, provincia y Región de Valparaíso, con una superficie total de 1.050,00 m², la que fue tramitada con el CM-61082. A modo referencial se señalan las siguientes coordenadas geográficas:

El objeto de la concesión sobre los sectores otorgados, es continuar amparando el uso de la infraestructura fiscal de apoyo a la pesca artesanal compuesta por paseo mirador, explanadas, muros verteolas, pañoles y permitir la instalación de un ducto de extracción de agua de mar (cañería aductora), un ducto de descarga de agua de mar (cañería conductora) y estanques para la mantención de crustáceos, con el fin de desarrollar actividades propias de la pesca artesanal y diversificación productiva.
Los antecedentes de la solicitud se encuentran a disposición del público en la Capitanía de Puerto de Valparaíso. El presente extracto se encuentra visado por la capitanía de puerto antes señalada.
Valparaíso, 6 de febrero de 2026.- Jacob Silva Pradenas, Capitán de Fragata LT, Capitán de Puerto de Valparaíso.