FIJA VALOR ANUAL DE LOS SISTEMAS DE TRANSMISIÓN ZONAL, DE ACUERDO AL ARTÍCULO DÉCIMO TERCERO TRANSITORIO DE LA LEY Nº 20.936
Núm. 26T.- Santiago, 30 de diciembre de 2025.
Vistos:
Lo dispuesto en el decreto ley Nº 2.224, de 1978, del Ministerio de Minería, que crea el Ministerio de Energía y la Comisión Nacional de Energía; en el decreto con fuerza de ley Nº 4/20.018, de 2006, del Ministerio de Economía, Fomento y Reconstrucción, que fija texto refundido, coordinado y sistematizado del decreto con fuerza de ley Nº 1, de Minería, de 1982, Ley General de Servicios Eléctricos, en materia de energía eléctrica, en adelante "LGSE"; en la Ley Nº 20.936, que establece un nuevo sistema de transmisión eléctrica y crea un organismo Coordinador Independiente del Sistema Eléctrico Nacional, en adelante "Ley Nº 20.936"; en el oficio CNE Of. Ord. Nº 26, de 2012, de la Comisión Nacional de Energía, en adelante "Comisión", que remite al Ministerio de Energía el "Informe Técnico para la Determinación del Valor Anual de los Sistemas de Subtransmisión 2011-2014", el que fue aprobado por la resolución exenta Nº 92, de 2011, rectificado mediante las resoluciones exentas Nº 130, de 2011, y Nº 250, de 2011, ambas de la Comisión; en el decreto supremo Nº 14, de 2012, del Ministerio de Energía, que fija tarifas de sistemas de subtransmisión y de transmisión adicional y sus fórmulas de indexación; en el decreto exento Nº 418, de 2017, modificado por los decretos exentos Nº 111, de 2018, y Nº 38, de 2019, y aclarado por el decreto exento Nº 167, de 2019, todos del Ministerio de Energía, que fija el listado de instalaciones de transmisión zonal de ejecución obligatoria, necesarias para el abastecimiento de la demanda, en adelante "decreto exento Nº 418"; en el decreto supremo Nº 7T, de 2022, del Ministerio de Energía, que fija el valor anual de las instalaciones de transmisión nacional, zonal y de las instalaciones de transmisión dedicada utilizadas por parte de los usuarios sujetos a regulación de precios, en adelante "decreto Nº 7T/2022"; en la resolución exenta Nº 413, de 2025, de la Comisión, que aprueba informe técnico definitivo de determinación del valor anual de los sistemas de transmisión zonal, de acuerdo con el artículo decimotercero transitorio de la ley Nº 20.936; en lo informado mediante oficio ordinario Nº 602/2025, de 2025, de la Comisión, que remite Informe Técnico Definitivo de Determinación del Valor Anual de los Sistemas de Transmisión Zonal, de acuerdo con el artículo decimotercero transitorio de la ley Nº 20.936, aprobado por la resolución exenta Nº 413, de 2025, ambos de la Comisión; en la resolución exenta Nº 577, de 2025, de la Comisión, que resuelve recurso de reposición interpuesto en contra de la resolución exenta Nº 413, de 15 de julio de 2025, de la Comisión Nacional de Energía, que "Aprueba el Informe Técnico Definitivo de Determinación del Valor Anual de los Sistemas de Transmisión Zonal, de acuerdo con el artículo décimo tercero transitorio de la ley Nº 20.936", por las razones que indica; en lo informado mediante oficio ordinario Nº 838/2025, de 2025, de la Comisión, que remite resolución exenta indicada en el Ant.; en lo informado por oficio ordinario Nº 1179/2025, de 18 de diciembre de 2025, de la Comisión, que remite rectificación del Informe Técnico Definitivo de determinación del valor anual de los sistemas de transmisión zonal, de acuerdo con el artículo décimo tercero transitorio de la ley Nº 20.936, y aprueba texto refundido que indica, de la Comisión; en la resolución Nº 36, de 2024, de la Contraloría General de la República, y
Considerando:
1. Que, de acuerdo con lo establecido en el artículo decimotercero transitorio de la ley Nº 20.936, corresponde a la Comisión efectuar la valorización de los sistemas de transmisión zonal utilizados por usuarios sujetos a regulación de precios, en conformidad al régimen transitorio que se establece en el mencionado artículo.
2. Que, de acuerdo con lo establecido en el inciso 9º del mismo artículo decimotercero transitorio de la ley Nº 20.936, las obras de transmisión zonal, de ejecución obligatoria, en construcción al 31 de octubre de 2016, serán remuneradas como obras existentes de transmisión zonal desde que entren en operación, conforme lo dispuesto en los artículos 102º y siguientes de la LGSE.
3. Que, las obras señaladas en el considerando anterior fueron fijadas en el artículo 1 del decreto exento Nº 418, y, para efectos de su remuneración, la Comisión debe proceder a su valorización sobre la base de los antecedentes y metodología contenidos en el informe técnico definitivo relativo al decreto de subtransmisión o zonal que se encuentre vigente al momento de la entrada en operación de la respectiva obra.
4. Que, en dicho sentido, y en cumplimiento de lo establecido en el artículo decimotercero de la ley Nº 20.936, la Comisión ya ha efectuado la valorización de instalaciones de transmisión zonal contenidas en el decreto exento Nº 418, que entraron en operación entre el 1 de enero de 2020 y el 31 de diciembre de 2023, que dieron lugar a la dictación del decreto Nº 7T/2022.
5. Que, ahora bien, en el presente proceso corresponde valorizar las instalaciones de transmisión zonal contenidas en el decreto exento Nº 418, que entraron en operación entre el 1 de enero de 2020 y el 31 de diciembre de 2023.
6. Que, en línea con lo anterior, este Ministerio, previo informe de la Comisión, debe fijar por decreto la anualidad del valor de inversión ("A.V.I.") y los costos de operación, mantenimiento y administración ("C.O.M.A.") a remunerar, de las obras señaladas en el considerando anterior, los que solo se aplicarán hasta la entrada en vigencia del siguiente decreto de valorización de la transmisión correspondiente.
7. Que, la Comisión mediante el oficio ordinario Nº 602, de 15 de julio de 2025, remitió al Ministerio de Energía su resolución exenta Nº 413, de fecha 15 de julio de 2025, que aprueba el Informe Técnico Definitivo de Determinación del Valor Anual de los Sistemas de Transmisión Zonal, de acuerdo con el artículo decimotercero transitorio de la ley Nº 20.936.
8. Que, asimismo, por oficio ordinario Nº 838/2025, de 2025, de la Comisión, se comunicó a esta Secretaría de Estado su resolución exenta Nº 577, de 2025, en cuya virtud se resolvió un recurso de reposición interpuesto por Grupo SAESA en contra de la resolución exenta Nº 413, de 2025, de la Comisión, acogiéndose parcialmente, lo cual implicó modificar el informe técnico definitivo aprobado por medio del último acto administrativo citado en el presente considerando en los términos contenidos en la referida resolución exenta Nº 577.
9. Que, asimismo, por oficio ordinario Nº 1179/2025, de 2025, de la Comisión, se comunicó a esta Secretaría de Estado la resolución exenta Nº 798, de 2025, en cuya virtud se rectificó el Informe Técnico Definitivo de determinación del valor anual de los sistemas de transmisión zonal, de acuerdo con el artículo decimotercero transitorio de la ley Nº 20.936, y aprobó su texto refundido.
10. Que, habiéndose cumplido todas las etapas y actuaciones previstas en la ley Nº 20.936, corresponde que se dicte el presente acto administrativo.
Decreto:
1º Fíjase el valor anual de los sistemas de transmisión zonal y sus respectivas fórmulas de indexación, de conformidad a lo establecido en el artículo decimotercero transitorio de la ley Nº 20.936.
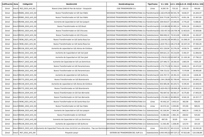
1. Valor anual de instalaciones de transmisión zonal por sistema de transmisión zonal, separado por cada propietario u operador, para el periodo entre el 1 de enero de 2020 y el 31 de diciembre de 2023.

Valores en US$ de diciembre de 2017.
2. Valor anual por tramo de las instalaciones de transmisión zonal para el periodo entre el 1 de enero de 2020 y el 31 de diciembre de 2023.


Valores en US$ de diciembre de 2017.
Los valores contenidos en los numerales 1 y 2 anteriores deberán adicionarse a los valores contenidos en el decreto Nº 7T/2022, cuando corresponda, y solo se aplicarán hasta la entrada en vigencia del siguiente decreto de valorización de la transmisión correspondiente.
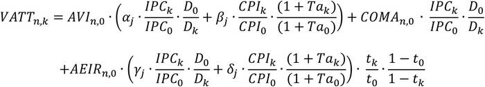
3. Fórmulas de indexación
La fórmula de indexación aplicable a los valores, en dólares, de la suma de la anualidad del valor de inversión ("A.V.I."), los costos anuales de operación, mantenimiento y administración del tramo respectivo ("C.O.M.A.") y Ajustes por Efecto de Impuesto a la Renta ("A.E.I.R."), de los sistemas de transmisión zonal correspondientes al período comprendido entre el 1 de enero de 2020 y el 31 de diciembre de 2023, a fin de mantener su valor real durante el período de vigencia de las tarifas que se establecen en el presente decreto, es la que se muestra a continuación:

En la fórmula anterior, los subíndices "k" corresponden al mes en el cual las tarifas de las instalaciones de los sistemas de transmisión zonal serán aplicadas, mientras que los subíndices "0" corresponden a los valores base de los índices.
Adicionalmente, el valor de los coeficientes de indexación
para cada uno de los sistemas zonales, son los siguientes:
para cada uno de los sistemas zonales, son los siguientes:
En la fórmula de indexación antes indicada, la definición de los índices y de los valores base correspondientes son los siguientes:

Los valores base de los índices definidos previamente son los que a continuación se indican:

Anótese, tómese razón y publíquese.- Por orden del Presidente de la República, Álvaro García Hurtado, Ministro de Energía.
Lo que transcribo a Ud. para su conocimiento.- Saluda Atte. a Ud., Felipe Sebastián Navarro Cabrera, Jefe División Jurídica (S), Subsecretaría de Energía.