OTORGA A CONEXIÓN KIMAL LO AGUIRRE S.A., CONCESIÓN ELÉCTRICA DEFINITIVA PARA ESTABLECER EL TRAMO 4 DEL PROYECTO DE TRANSMISIÓN DE ENERGÍA ELÉCTRICA DENOMINADO "LÍNEA HVDC KIMAL - LO AGUIRRE TRAMO ATACAMA", EN LA REGIÓN DE ATACAMA, PROVINCIAS DE CHAÑARAL, COPIAPÓ Y HUASCO, COMUNAS DE DIEGO DE ALMAGRO, COPIAPÓ, TIERRA AMARILLA Y VALLENAR

    Núm. 49 exento.- Santiago, 12 de febrero de 2026.

    Vistos:

    Lo informado por la Superintendencia de Electricidad y Combustibles, en adelante "SEC", en su oficio ordinario electrónico N°316174, de 29 de enero de 2026; lo dispuesto en los artículos 11° y 29° del decreto con fuerza de ley N°4/20.018, de 2006, del Ministerio de Economía, Fomento y Reconstrucción, que fija el texto refundido, coordinado y sistematizado del decreto con fuerza de ley N°1, de Minería, de 1982, Ley General de Servicios Eléctricos, en materia de energía eléctrica, en adelante "Ley General de Servicios Eléctricos" y sus modificaciones posteriores; en la Ley N°19.880, que establece bases de los procedimientos administrativos que rigen los actos de los órganos de la Administración del Estado; lo dispuesto en la resolución exenta electrónica N°36.885, de 22 de diciembre de 2025, de la SEC, que acoge solicitud de división de solicitud de concesión eléctrica definitiva para establecer el proyecto de transmisión de energía eléctrica denominado "Línea HVDC Kimal - Lo Aguirre tramo Atacama"; lo informado por la Dirección de Fronteras y Límites del Estado, a través de oficio público N°2139, de 9 de diciembre de 2024; en la resolución N°36, de 2024, de la Contraloría General de la República; y

    Considerando:

    1. Lo informado por la SEC, en su oficio ordinario electrónico N°316174, de 29 de enero de 2026, el cual pasa a formar parte del presente acto administrativo, de acuerdo con lo dispuesto en el artículo 41 de la Ley N°19.880, que establece bases de los procedimientos administrativos que rigen los actos de los órganos de la Administración del Estado.
    2. Lo establecido en la resolución exenta N°36.885, de 22 de diciembre de 2025, de la SEC, que acogió la petición de división de la solicitud de concesión definitiva para establecer las instalaciones relativas al proyecto de transmisión de energía eléctrica denominado "Línea HVDC Kimal - Lo Aguirre tramo Atacama"; dividiéndose la concesión solicitada en Resolución 13 EXENTA,
ENERGÍA
Art. 1° N° 1
D.O. 28.02.2026
cuatro tramos, a saber: "Tramo 1", "Tramo 2", "Tramo 3" y "Tramo 4".
    3. La aceptación de la Superintendencia de Electricidad y Combustibles, señalada en el considerando anterior, se efectuó de acuerdo con lo dispuesto en el artículo 29° de la Ley General de Servicios Eléctricos, dividiéndose la concesión solicitada en cuatro tramos, correspondiendo el presente acto administrativo al Tramo 4.
    4. Lo dispuesto por la resolución N°36, de 2024, de la Contraloría General de la República, en particular, su artículo 14, literal C), numeral 14.7, disposición que somete al trámite de toma de razón el otorgamiento y terminación de concesiones de los sectores sanitario, gas y de distribución eléctrica, encontrándose exentas, por lo tanto, las vinculadas a transmisión eléctrica.

    Decreto:

    Artículo 1°.- Otórgase a Conexión Kimal Lo Aguirre S.A., concesión eléctrica definitiva para establecer el Tramo 4 del proyecto de transmisión de energía eléctrica denominado "Línea HVDC Kimal - Lo Aguirre tramo Atacama", en la Región de Atacama, provincias de Chañaral, Copiapó y Huasco, comunas de Diego de Almagro, Copiapó, Tierra Amarilla y Vallenar, según se detalla a continuación:
   


    Artículo 2°.- El Tramo 4, cuya concesión se otorga por el presente decreto, forma parte del proyecto de transmisión de energía eléctrica denominado "Línea HVDC Kimal - Lo Aguirre tramo Atacama", en adelante "Proyecto", el que, a su vez, pertenece a la obra nueva de mayor extensión denominada "Nueva Línea HVDC Kimal - Lo Aguirre", cuyo objetivo consiste, así como el objeto de la presente concesión, en aumentar el nivel de seguridad del sistema de transmisión nacional, permitir grandes transferencias de energía entre la Zona Norte-Centro-Sur del país, eliminar las congestiones del sistema de transmisión nacional y disminuir los vertimientos de energía de centrales solares y eólicas entre las distintas regiones que comprende su extensión.
    El Proyecto se ubica en la Región de Atacama, provincias de Chañaral, Copiapó y Huasco, comunas de Diego de Almagro, Copiapó, Tierra Amarilla y Vallenar.
    La longitud total de la concesión eléctrica es de 396.973,95 metros comprendidos entre el Punto de Partida (PP) que se encuentra en el límite regional por el norte, en las coordenadas UTM WGS84 19S Este: 423.215,94 metros y Norte: 7.133.075,47 metros y el Punto Final (PF) que se encuentra en el límite regional por el sur, en las coordenadas UTM WGS84 19S Este: 323.213,82 metros; Norte: 6.774.526,97 metros en el límite entre las regiones de Atacama y Coquimbo.
    En todos los casos se considera el sistema de coordenadas UTM según Datum WGS 84, correspondiente al Huso 19S.


    Artículo 3°.- El presupuesto total de las obras asciende a la suma de $93.240.454.160 (noventa y tres mil doscientos cuarenta millones cuatrocientos cincuenta y cuatro mil ciento sesenta pesos).


    Artículo 4°.- Copia de los antecedentes relativos a la concesión que por el presente decreto se otorga, quedarán archivados en la Superintendencia de Electricidad y Combustibles.


    Artículo 5°.- En su recorrido, el Proyecto ocupará bienes nacionales de uso público y atravesará propiedades particulares y fiscales. Para estas últimas, será necesario constituir servidumbres eléctricas en los términos que señala la Ley General de Servicios Eléctricos.
    En particular, el Tramo 4 del Proyecto ocupará bienes nacionales de uso público y atravesará predios particulares y un inmueble fiscal, sobre estos últimos, será necesario constituir servidumbres eléctricas en los términos que señala el artículo 7° de este decreto, además de lo dispuesto en la Ley General de Servicios Eléctricos.


    Artículo 6°.- Apruébanse los planos especiales de servidumbre que se indican en el artículo 7° siguiente.


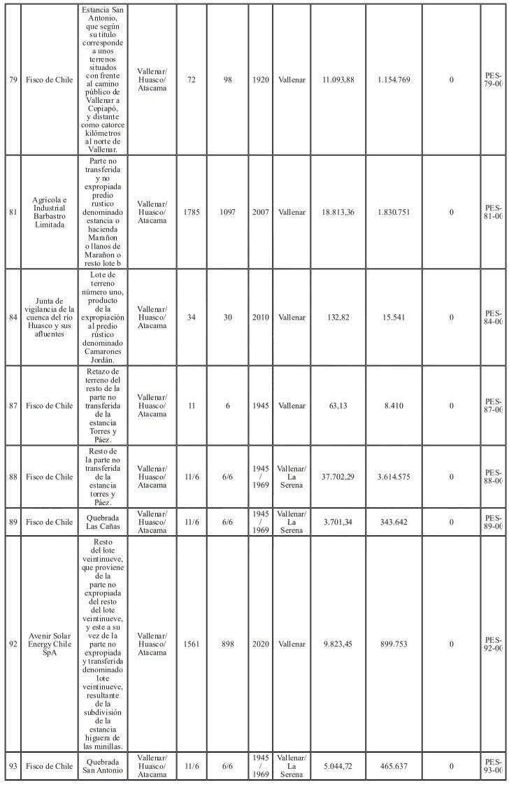
    Artículo 7°.- Constitúyanse, de acuerdo con lo establecido en la Ley General de Servicios Eléctricos, las servidumbres para el establecimiento del Proyecto en los predios que se indican a continuación:


    Artículo 8°.- El Proyecto podrá atravesar los ríos, canales, las líneas férreas, puentes, acueductos, cruzar calles, caminos y otras líneas eléctricas. Estos cruces y paralelismos se ejecutarán en conformidad con las prescripciones que establecen los reglamentos, de manera que garanticen la seguridad de las personas y propiedades.
    En su recorrido, las instalaciones del Proyecto afectarán las siguientes líneas eléctricas, obras e instalaciones existentes.
   
    a. Cruce con líneas eléctricas existentes
   
   
    b. Líneas de comunicaciones afectadas por el Proyecto
   
   
    c. Líneas Férreas sin línea de contacto afectadas por el Proyecto
   
   
    d. Ductos y tuberías afectadas por el Proyecto
   
   
    e. Canales afectados por el Proyecto
   


    Artículo 9°.- La presente concesión se otorga en conformidad a lo dispuesto en la Ley General de Servicios Eléctricos y queda sometida a todas las disposiciones legales y reglamentarias vigentes o  que se dicten en el futuro sobre la materia.


    Artículo 10°.- Esta concesión se otorga por plazo indefinido.


    Artículo 11°.- La duración de la ejecución y el término de las obras se estima en cuarenta y cinco (45) meses. El plazo de las obras se iniciará cumplidos doce (12) meses, contados desde la fecha de publicación en el Diario Oficial del presente decreto de concesión eléctrica definitiva, sin perjuicio de que las obras puedan iniciar su construcción en un plazo inferior al señalado, en el caso de que se logren acuerdos voluntarios con los propietarios afectados.
    El plazo por etapas y secciones se detalla a continuación:
   


    Artículo 12°.- El presente decreto deberá ser publicado en el Diario Oficial por el concesionario, dentro del plazo de quince días contados desde su total tramitación.


    Artículo 13°.- El concesionario estará obligado a prestar el servicio de transporte de energía eléctrica, en las condiciones de calidad y continuidad que establezcan la ley y los reglamentos.


    Artículo 14°.- El concesionario estará obligado a levantar íntegramente las instalaciones cuando ellas queden inutilizadas para el objetivo de la presente concesión. Esta obligación sólo es válida para aquellas instalaciones que hagan uso de bienes nacionales de uso público, terrenos fiscales o terrenos particulares, en virtud de servidumbres constituidas.
    El levantamiento deberá efectuarse dentro del plazo y en las condiciones que fije la Superintendencia de Electricidad y Combustibles, de conformidad a los reglamentos y normas técnicas aplicables.


    Artículo 15°.- Si por cualquiera circunstancia, alguno de los tramos en que se ha dividido el Proyecto no pudiere ejecutarse, el retiro de las instalaciones que ocupen bienes nacionales de uso público, bienes municipales, terrenos fiscales o particulares, deberá hacerse dentro del plazo y en las condiciones que fije la Superintendencia de Electricidad y Combustibles


    Artículo 16°.- La concesión que por este acto se otorga no exime del cumplimiento de las demás obligaciones legales, como lo es el acatamiento de la legislación ambiental en forma previa a la ejecución de las obras que se amparen en esta concesión.


    Anótese, notifíquese y publíquese en el Diario Oficial y en el sitio web del Ministerio de Energía.- Por orden del Presidente de la República, Álvaro García Hurtado, Ministro de Energía.