MODIFICA POR RAZONES DE INTERÉS PÚBLICO, LAS CARACTERÍSTICAS DE LAS OBRAS Y SERVICIOS QUE INDICA DEL CONTRATO DE CONCESIÓN DE LA OBRA PÚBLICA FISCAL DENOMINADA " CONCESIÓN INTERNACIONAL RUTA 5 TRAMO SANTIAGO - TALCA Y ACCESO SUR A SANTIAGO " Y APRUEBA CONVENIO AD-REFERÉNDUM N° 11
Núm. 140.- Santiago, 23 de diciembre de 2025.
Vistos:
- El DFL MOP N° 850, de 1997, que fijó el texto refundido, coordinado y sistematizado de la Ley N° 15.840, de 1964, Orgánica del Ministerio de Obras Públicas, y del DFL N° 206, de 1960, Ley de Caminos y sus modificaciones.
- El decreto supremo MOP N° 900, de 1996, que fijó el texto refundido, coordinado y sistematizado del DFL MOP N° 164, de 1991, Ley de Concesiones de Obras Públicas, y sus modificaciones, en especial sus artículos 2° y 19°.
- El decreto supremo MOP N° 956, de 1997, Reglamento de la Ley de Concesiones de Obras Públicas, y sus modificaciones, en especial su artículo 69°.
- El decreto supremo MOP N° 859, de 1998, que adjudicó el contrato de concesión para la ejecución, conservación y explotación de la obra pública fiscal denominada "Concesión Internacional Ruta 5 Tramo Santiago - Talca y Acceso Sur a Santiago".
- La ley N° 21.044, de fecha 17 de noviembre de 2017, que crea la Dirección General de Concesiones de Obras Públicas.
- El DFL MOP N° 7, de fecha 25 de enero de 2018, que fija la planta de personal y fecha de iniciación de actividades de la Dirección General de Concesiones de Obras Públicas.
- El decreto supremo MOP N° 1.008, de fecha 29 de septiembre de 2003.
- El decreto supremo MOP N° 329, de fecha 9 de noviembre de 2012.
- El decreto supremo MOP N° 1, de fecha 5 de enero de 2018.
- El decreto supremo MOP N° 154, de fecha 26 de diciembre de 2018.
- El decreto supremo MOP N° 125, de fecha 22 de julio de 2022.
- El Memorándum N° 2403, de fecha 29 de enero de 2024, del Inspector Fiscal.
- El Memorándum N° 43, de fecha 29 de febrero de 2024, del Jefe de la División de Participación, Territorio y Medio Ambiente de la Dirección General de Concesiones de Obras Públicas.
- El oficio Ord. N° 20.985, de fecha 10 de septiembre de 2024, del Inspector Fiscal.
- El oficio Ord. N° 863, de fecha 10 de septiembre de 2024, del Director General de Concesiones de Obras Públicas.
- El oficio Ord. N° 1846, de fecha 2 de diciembre de 2024, del Ministro de Hacienda.
- El oficio Ord. N° 21.236, de fecha 3 de diciembre de 2024, del Inspector Fiscal (S).
- La Carta G.G. N° 283/2024, de fecha 3 de diciembre de 2024, de la Sociedad Concesionaria.
- El oficio Ord. N° 21.252, de fecha 4 de diciembre de 2024, del Inspector Fiscal (S).
- El oficio Ord. (E) N° 155, de fecha 5 de diciembre de 2024, del Jefe de la División de Operaciones de la Dirección General de Concesiones de Obras Públicas.
- La resolución DGC (exenta) N° 108, de fecha 5 de diciembre de 2024.
- El oficio Ord. N° 21.368, de fecha 17 de enero de 2025, del Inspector Fiscal.
- La Carta G.G. N° 012/2025, de fecha 20 de enero d e 2025, de la Sociedad Concesionaria.
- El oficio Ord. N° 21.380, de fecha 22 de enero de 2025, del Inspector Fiscal.
- La Carta GT 032/2025, de fecha 22 de enero de 2025, de la Sociedad Concesionaria.
- La Carta G.G. N° 021/2025, de fecha 5 de febrero de 2025, de la Sociedad Concesionaria.
- La Carta G.G. N° 022/2025, de fecha 5 de febrero de 2025, de la Sociedad Concesionaria.
- La Carta G.G. N° 023/2025, de fecha 5 de febrero de 2025, de la Sociedad Concesionaria.
- La Carta G.G. N° 033/2025, de fecha 13 de febrero de 2025, de la Sociedad Concesionaria.
- El oficio Ord. N° 21.462, de fecha 17 de febrero de 2025, del Inspector Fiscal.
- La Carta GT 076/2025, de fecha 27 de febrero de 2025, de la Sociedad Concesionaria.
- La Carta G.G. N° 036/2025, de fecha 10 de marzo de 2025, de la Sociedad Concesionaria.
- El oficio Ord. N° 21.562, de fecha 20 de marzo de 2025, del Inspector Fiscal.
- El oficio Ord. N° 21.627, de fecha 31 de marzo de 2025, del Inspector Fiscal.
- La Carta GT 268/2025, de fecha 27 de junio de 2025, de la Sociedad Concesionaria.
- El oficio Ord. N° 21.956, de fecha 9 de julio de 2025, del Inspector Fiscal.
- La Carta G.G. N° 133/2025, de fecha 29 de agosto de 2025, de la Sociedad Concesionaria.
- El oficio Ord. N° 22.147, de fecha 2 de septiembre de 2025, del Inspector Fiscal.
- El oficio Ord. N° 22.193, de fecha 11 de septiembre de 2025, del Inspector Fiscal.
- La Carta G.G. N° 148/2025, de fecha 12 de septiembre de 2025, de la Sociedad Concesionaria.
- El oficio Ord. N° 22.195, de fecha 12 de septiembre de 2025, del Inspector Fiscal.
- El oficio Ord. (E) N° 123, de fecha 12 de septiembre de 2025, de la Jefa de la División de Operaciones (S) de la Dirección General de Concesiones de Obras Públicas.
- La resolución DGC (exenta) N° 131, de fecha 12 de septiembre de 2025.
- El oficio Ord. N° 22.402, de fecha 11 de noviembre de 2025, del Inspector Fiscal.
- La Carta G.G. N° 198/2025, de fecha 19 de noviembre de 2025, de la Sociedad Concesionaria.
- El oficio Ord. N° 22.431, de fecha 19 de noviembre de 2025, del Inspector Fiscal.
- El oficio Ord. (E) N° 0149, de fecha 21 de noviembre de 2025, de la Jefa de la División de Operaciones de la Dirección General de Concesiones de Obras Públicas (S).
- La ley N° 21.722, Ley de Presupuestos del Sector Público correspondiente al año 2025, en particular su artículo 18.
- La resolución N° 36, de 2024, modificada y complementada por la resolución N° 8, de 2025, ambas de la Contraloría General de la República, que fija normas sobre exención del trámite de la Toma de Razón.
Considerando:
1º Que los artículos 19° de la Ley de Concesiones de Obras Públicas y 69° de su Reglamento establecen que el Ministerio de Obras Públicas, en adelante el "MOP", desde que se perfeccione el contrato, podrá modificar, por razones de interés público, las características de las obras y servicios contratados, debiendo compensar al concesionario con las indemnizaciones necesarias en caso de perjuicio, acordando con aquél indemnizaciones que podrán expresarse en el plazo de la concesión, en las tarifas, en los aportes o subsidios o en otros factores del régimen económico de la concesión pactados, pudiendo utilizar uno o varios factores a la vez.
2º Que, el artículo 69° del Reglamento de la Ley de Concesiones de Obras Públicas establece que el Ministerio de Obras Públicas, desde que se perfeccione el contrato, podrá modificar, por razones de interés público, las características de las obras y servicios contratados, agregando en su N° 4 que el Director General de Concesiones de Obras Públicas, con el visto bueno del Ministro de Obras Públicas y del Ministro de Hacienda, por razones de urgencia, podrá exigir la modificación de las obras y servicios desde el momento que lo estime conveniente, aunque esté pendiente la determinación sobre la indemnización.
3º Que el inciso tercero del artículo 18 de la ley 21.722, Ley de Presupuestos del Sector Público correspondiente al año 2025, establece que las modificaciones que se incorporen a los contratos de concesión y los convenios en que se pacten las compensaciones derivadas de dichas modificaciones, se realizarán mediante decreto supremo fundado del Ministerio de Obras Públicas, dictado bajo la fórmula "por orden del Presidente de la República", debiendo llevar, además, la firma del Ministro de Hacienda.
4º Que en virtud de lo establecido en la parte final del inciso octavo del artículo 2° de la Ley de Concesiones de Obras Públicas establece que los proyectos de ampliación de concesiones en etapa de construcción y operación que constituyan obras de mitigación del impacto vial causado por autopistas, estarán exceptuados de contar con el informe mencionado en el referido inciso, esto es, con un informe emitido por el Ministerio de Desarrollo Social y Familia, cuando su costo no supere el 5% del presupuesto oficial de la obra, sin perjuicio de que para optar a dicha excepción, los proyectos deberán contar con la aprobación del Ministerio de Hacienda en forma previa a su contratación, la que deberá ser solicitada por la Dirección General de Concesiones del Ministerio de Obras Públicas mediante informe fundado.
5º Que el Sistema de Telepeaje en actual operación en las autopistas urbanas de la ciudad de Santiago e implementado en las Plazas de Peaje Nueva Angostura y Troncal Quinta del contrato de concesión de la obra pública fiscal denominada "Concesión Internacional Ruta 5 Tramo Santiago - Talca y Acceso Sur a Santiago", de conformidad a lo dispuesto en el decreto supremo MOP N° 154, de fecha 26 de diciembre de 2018, y decreto supremo MOP N° 125, de fecha 22 de julio de 2022, ha demostrado ser un sistema altamente eficiente y confiable, especialmente considerando la tecnología de punta que utiliza y la versatilidad e interoperabilidad que presentan los dispositivos TAG's o transponders (también denominados indistintamente como Televías), los que pueden ser utilizados en todas las concesiones que conforman el Sistema Interoperable.
6º Que, en atención al considerable aumento del flujo vehicular, el cual ha sobrepasado con creces los utilizados en el diseño para los niveles de servicio esperados, y con el propósito de brindar un mejor estándar de servicio a los usuarios que circulan por la Plaza de Peaje Troncal Río Maipo y las Plazas de Peaje Laterales Tocornal y Gabriela, en sentido oriente y poniente, el MOP estimó de interés público implementar en las plazas antes señaladas, puntos de cobro bajo la modalidad de flujo libre conocida como Free Flow, que evite la detención del vehículo y sea compatible con las tecnologías que operan en las autopistas urbanas de la ciudad de Santiago y con los proyectos implementados en las Plazas de Peaje Nueva Angostura y Troncal Quinta, proyecto que será denominado como "Implementación Sistema Free Flow en Acceso Sur a Santiago". Para que se lleve a cabo lo señalado anteriormente, era urgente contar, a la mayor brevedad, con la ingeniería en virtud de la cual se podrá determinar la infraestructura requerida y con la adquisición y desarrollo del equipamiento tecnológico.
7º Que, por su parte, en virtud de lo dispuesto en el inciso 8° del artículo 2º de la Ley de Concesiones de Obras Públicas, a que hace referencia el considerando 4º del presente acto administrativo, el Director General de Concesiones de Obras Públicas, mediante oficio Ord. N° 863, de fecha 10 de septiembre de 2024 , envió al Ministro de Hacienda una minuta explicativa de las obras del proyecto denominado "Implementación Sistema Free Flow en Acceso Sur a Santiago" e informó que dichas obras constituyen obras de mitigación del impacto vial causado por autopistas, cuyo costo total no supera el 5% del presupuesto oficial de la obra concesionada. Al respecto, el Director General de Concesiones de Obras Públicas solicitó la aprobación del Ministerio de Hacienda a la contratación de dichas obras, en virtud de lo dispuesto en el referido inciso octavo del artículo 2º de la Ley de Concesiones de Obras Públicas.
8º Que, mediante oficio Ord. N° 1846, de fecha 2 de diciembre de 2024 , el Ministro de Hacienda informó al Director General de Concesiones de Obras Pública la aprobación del Ministerio de Hacienda a la contratación de las obras del proyecto denominado "Implementación Sistema Free Flow en Acceso Sur a Santiago", en virtud de lo dispuesto en el inciso octavo del artículo 2º de la Ley de Concesiones de Obras Públicas.
9º Que el Inspector Fiscal informó a la Sociedad Concesionaria que, de conformidad con lo dispuesto en los artículos 19º de la Ley de Concesiones de Obras Públicas y 69º N° 4 de su Reglamento, el MOP modificaría las características de las obras y servicios del contrato de concesión, en los términos, plazos, montos y condiciones informados en el "Modelo de resolución que se dictará al efecto" que adjuntó a su oficio Ord. N° 21.236, de fecha 3 de diciembre de 2024.
Asimismo, en el citado oficio el Inspector Fiscal solicitó a la Sociedad Concesionaria: i) ratificar expresamente su aceptación a las modificaciones informadas, en los términos, plazos, montos y condiciones señalados en el "Modelo de resolución que se dictará al efecto" que se adjuntó al oficio Ord. N° 21.236; y ii) ratificar que no existen perjuicios adicionales, distintos de las valorizaciones que expresamente se indican en el "Modelo de resolución que se dictará al efecto" adjunto al oficio Ord. N° 21.236, que deban ser indemnizados por el MOP y que, por tanto, en el convenio que al efecto suscribirán las partes, que establezca las modalidades de compensación por concepto de las valorizaciones indicadas en el "Modelo de resolución que se dictará al efecto", la Sociedad Concesionaria renunciará expresamente a cualquier derecho o acción que pudiera haberle correspondido en relación con la modificación informada en el citado oficio.
10º Que, mediante Carta G.G. N° 283/2024, de fecha 3 de diciembre de 2024, "Ruta del Maipo Sociedad Concesionaria S.A." ratificó expresamente su aceptación a las modificaciones informadas por el Inspector Fiscal en su oficio Ord. N° 21.236, en los términos, plazos, montos y condiciones señalados en el "Modelo de resolución que se dictará al efecto" que se adjuntó al citado oficio, atendido lo dispuesto en el inciso segundo del artículo 19° del decreto supremo MOP N° 900, de 1996, Ley de Concesiones de Obras Públicas, y señaló que no existen perjuicios adicionales, distintos de las valorizaciones y conceptos que se indican en el "Modelo de resolución que se dictará al efecto" que se adjunta en el oficio Ord. N° 21.236 del Inspector Fiscal, que deban ser indemnizados por el MOP y que, por tanto, en el convenio que al efecto suscribirán las partes, que establezca las modalidades de compensación por los conceptos indicados en el oficio antes señalado, la Sociedad Concesionaria renunciará expresamente a cualquier derecho o acción que pudiera haberle correspondido en relación con las modificaciones informadas en el citado oficio, sujeto a la condición de que se cumplan las compensaciones que establezca el mencionado convenio.
11º Que, el Inspector Fiscal, mediante oficio Ord. N° 21.252, de fecha 4 de diciembre de 2024, informó al Jefe de la División de Operaciones su opinión favorable respecto a las modificaciones de las características de las obras y servicios del contrato de concesión, en las condiciones, montos y términos indicados en su oficio Ord. N° 21.236 y en la Carta G.G. N° 283/2024, de la Sociedad Concesionaria, recomendando la dictación del acto administrativo correspondiente en los términos previstos en la Ley de Concesiones de Obras Públicas y su Reglamento. Lo anterior, considerando las razones de interés público y urgencia que expone y que se refieren a que, debido al considerable aumento del flujo vehicular, el cual ha sobrepasado con creces los utilizados en el diseño para los niveles de servicio esperados, y con el propósito de brindar un mejor estándar de servicio a los usuarios que circulan por la Plaza de Peaje Troncal Río Maipo y las Plazas de Peaje Laterales Tocornal y Gabriela, en sentido oriente y poniente, el MOP ha estimado necesario implementar puntos de cobro bajo la modalidad de flujo libre conocida como Free Flow, que evite la detención del vehículo y sea compatible con las tecnologías que operan en las autopistas urbanas de la ciudad de Santiago y con los proyectos implementados en las Plazas de Peaje Nueva Angostura y Troncal Quinta, proyecto que será denominado como "Implementación Sistema Free Flow en Acceso Sur a Santiago". Para que se lleve a cabo lo señalado anteriormente, es urgente contar, a la mayor brevedad, con la ingeniería en virtud de la cual se podrá determinar la infraestructura requerida y con la adquisición y desarrollo del equipamiento tecnológico.
12º Que, mediante oficio Ord. (E) N° 155, de fecha 5 de diciembre de 2024, el Jefe de la División de Operaciones de la Dirección General de Concesiones de Obras Públicas, luego de ponderar los antecedentes, aprobar los montos y entregar su visto bueno, solicitó al Director General de Concesiones de Obras Públicas que disponga, de manera excepcional, la modificación de las características de las obras y servicios del contrato de concesión referida precedentemente, dictando al efecto la resolución correspondiente, atendidas las razones de interés público y urgencia señaladas por el Inspector Fiscal en su oficio Ord. N° 21.252, de fecha 4 de diciembre de 2024.
13º Que en virtud de lo señalado anteriormente, el MOP dictó la resolución DGC (exenta) N° 108, de fecha 5 de diciembre de 2024, la cual será sancionada mediante el presente decreto supremo, que modificó las características de las obras y servicios del contrato de concesión, en el sentido que "Ruta del Maipo Sociedad Concesionaria S.A." asumió la obligación de: a) desarrollar el proyecto de ingeniería denominado "PID Obras Civiles para Implementación Sistema Free Flow en Acceso Sur a Santiago", b) ejecutar, conservar, mantener, operar y explotar las obras denominadas "Obras Civiles para Implementación Sistema Free Flow en Acceso Sur a Santiago", que deriven del proyecto de ingeniería señalado en el literal a) anterior, y que sea aprobado por el Inspector Fiscal, y c) adquirir, desarrollar, implementar, habilitar, conservar, mantener, operar y explotar el "Equipamiento Tecnológico para Implementación Sistema Free Flow en Acceso Sur a Santiago".
14º Que, mediante oficio Ord. N° 22.147, de fecha 2 de septiembre de 2025, el Inspector Fiscal aprobó la Fase 2 señalada en el numeral 5.1 literal (b) de la resolución DGC (exenta) N° 108, de 2024, dando por iniciado el periodo de marcha blanca, durante el cual los usuarios que circulan por la Plaza de Peaje Troncal Río Maipo y las Plazas de Peaje Laterales Tocornal y Gabriela deben pagar las tarifas en dichas plazas manuales. Una vez verificada la correcta identificación de los vehículos bajo el pórtico Troncal Río Maipo, el MOP ha estimado de interés público y urgencia modificar las características de las obras y servicios del contrato de concesión en el sentido de complementar dicha marcha blanca para el Troncal Río Maipo, para los efectos de iniciar el cobro bajo la modalidad de Free Flow, con acceso universal y con las mismas tarifas que la Sociedad Concesionaria está autorizada a cobrar en dicha plaza de peaje. Lo anterior servirá, además, para alivianar la congestión vehicular en la plaza de peaje Troncal Río Maipo comenzando desde las próximas festividades de fiestas patrias al evitar que los vehículos deban detenerse para el pago del peaje.
15º Que, mediante oficio Ord. N° 22.193, de fecha 11 de septiembre de 2025, el Inspector Fiscal informó a la Sociedad Concesionaria que, de conformidad con lo dispuesto en los artículos 19º de la Ley de Concesiones de Obras Públicas y 69º N° 4 de su Reglamento, el Director General de Concesiones de Obras Públicas modificará las características de las obras y servicios del contrato de concesión, en los términos, plazos y condiciones informados en el "Modelo de resolución que se dictará al efecto" que adjuntó al citado oficio Ord. N° 22.193, de fecha 11 de septiembre de 2025.
Asimismo, en el citado oficio el Inspector Fiscal solicitó a la Sociedad Concesionaria ratificar expresamente su aceptación a las modificaciones informadas, en los términos, plazos y condiciones señalados en el "Modelo de resolución que se dictará al efecto" que se adjuntó al citado oficio Ord. N° 22.193.
16º Que, mediante Carta G.G. N° 148/2025, de fecha 12 de septiembre de 2025, "Ruta del Maipo Sociedad Concesionaria S.A." ratificó expresamente su aceptación a las modificaciones informadas por el Inspector Fiscal en su oficio Ord. N° 22.193, de fecha 11 de septiembre de 2025, en los términos, plazos y condiciones señalados en el "Modelo de resolución que se dictará al efecto" que se adjuntó al citado Oficio, atendido lo dispuesto en el inciso segundo del artículo 19° del decreto supremo MOP N° 900, de 1996, Ley de Concesiones de Obras Públicas.
17º Que, el Inspector Fiscal, mediante oficio Ord. N° 22.195, de fecha 12 de septiembre de 2025, informó a la Jefa de la División de Operaciones (S) de la Dirección General de Concesiones de Obras Públicas su opinión favorable respecto a las modificaciones de las características de las obras y servicios del contrato de concesión, en las condiciones, plazos y términos indicados en su oficio Ord. N° 22.193 y en la Carta G.G. N° 148/2025, de la Sociedad Concesionaria, recomendando la dictación del acto administrativo correspondiente en los términos previstos en la Ley de Concesiones de Obras Públicas y su Reglamento. Lo anterior, considerando las razones de interés público y urgencia que expone.
18º Que, mediante oficio Ord. (E) N° 123, de fecha 12 de septiembre de 2025, la Jefa de la División de Operaciones (S) de la Dirección General de Concesiones de Obras Públicas, luego de ponderar los antecedentes y entregar su visto bueno, solicitó al Director General de Concesiones de Obras Públicas (S) que, de manera excepcional, disponga la modificación de las características de las obras y servicios del contrato de concesión referida precedentemente, dictando al efecto la resolución correspondiente, atendidas las razones de interés público y urgencia señaladas por el Inspector Fiscal en su oficio Ord. N° 22.195, de fecha 12 de septiembre de 2025.
19º Que en virtud de lo señalado en el considerando 14°, el MOP dictó la resolución DGC (exenta) N° 131, de fecha 12 de septiembre de 2025, la cual será sancionada mediante el presente decreto supremo, que modificó las características de las obras y servicios del contrato de concesión, en el sentido que reemplazó la regulación contenida en el segundo párrafo del numeral 5.1 literal (b) de la resolución DGC (exenta) N° 108, de 2024, e incorporó una nueva regulación como segundo párrafo en el numeral 5.1 literal (c) de la resolución DGC (exenta) N° 108, de 2024.
20º Que dado lo señalado en los considerandos anteriores, el MOP ha estimado de interés público modificar las características de las obras y servicios del contrato de concesión en el sentido de establecer los requerimientos para la habilitación al cobro definitivo de los nuevos puntos de cobro del Troncal Río Maipo, Troncal Gabriela y Troncal Tocornal que se exigirán para regular la relación de la Sociedad Concesionaria con los usuarios que transitan por dichos puntos de cobro, así como las obligaciones y condiciones mínimas que deberá cumplir el sistema electrónico de cobro para comenzar su funcionamiento, incorporando de esta forma todas aquellas regulaciones necesarias para el correcto funcionamiento del proyecto denominado "Implementación Sistema Free Flow en Acceso Sur a Santiago".
21º Que, de acuerdo al mérito del trabajo de coordinación que se ha venido realizando sobre esta materia, mediante oficio Ord. N° 22.402, de fecha 11 de noviembre de 2025, el Inspector Fiscal informó a la Sociedad Concesionaria que, de conformidad a lo dispuesto en los artículos 19° de la Ley de Concesiones de Obras Públicas y 69° de su Reglamento, el MOP modificará las características de las obras y servicios del contrato de concesión, en el sentido de incorporar las regulaciones que permitan la habilitación al cobro, los requerimientos que se exigirán para regular la relación de la Sociedad Concesionaria con los usuarios de los puntos de cobro, así como las obligaciones y condiciones mínimas que deberá cumplir el sistema electrónico de cobro.
Para efectos de lo anterior, mediante el Oficio antes señalado el Inspector Fiscal solicitó a la Sociedad Concesionaria ratificar expresamente su acuerdo con las modificaciones a las características de las obras y servicios del contrato de concesión, informadas en el "Modelo de decreto supremo que se dictará al efecto" adjunto al oficio Ord. N° 22.402, en los términos, plazos, condiciones y valorizaciones que se señalan en el citado "Modelo de decreto supremo que se dictará al efecto"; y ratificar que en el convenio que al efecto suscribirán las partes, que establezca las modalidades de compensación que se deriven de las modificaciones indicadas en el "Modelo de decreto supremo que se dictará al efecto" adjunto al oficio Ord. N° 22.402, la Sociedad Concesionaria renunciará expresamente a cualquier derecho o acción que pudiera haberle correspondido en relación con las modificaciones informadas en el citado Oficio.
22º Que mediante Carta G.G. N° 198/2025, de fecha 19 de noviembre de 2025, la Sociedad Concesionaria ratificó expresamente su acuerdo con las modificaciones informadas por el Inspector Fiscal en el "Modelo de Decreto Supremo" adjunto al oficio Ord. N° 22.402, en los términos, plazos, condiciones y valorizaciones que allí se indican, y ratificó que en el convenio que al efecto suscribirán las partes, que establezca las modalidades de compensación que se deriven de las modificaciones informadas en el "Modelo de decreto supremo que se dictará al efecto" adjunto al oficio Ord. N° 22.402 del Inspector Fiscal, la Sociedad Concesionaria renunciará expresamente a cualquier derecho o acción que pudiera haberle correspondido en relación con las modificaciones informadas en el citado Oficio.
23º Que mediante oficio Ord. N° 22.431, de fecha 19 de noviembre de 2025, el Inspector Fiscal informó al Jefe de la División de Operaciones de la Dirección General de Concesiones de Obras Públicas su opinión favorable respecto a las modificaciones informadas en el "Modelo de decreto supremo que se dictará al efecto" adjunto al oficio Ord. N° 22.402, en los términos, plazos, condiciones y valorizaciones allí señalados, recomendando disponer su implementación en los términos previstos en la Ley de Concesiones de Obras Públicas y su Reglamento, atendidas las razones de interés público que allí expuso.
24º Que mediante oficio Ord. (E) N° 0149, de fecha 21 de noviembre de 2025, la Jefa de la División de Operaciones de la Dirección General de Concesiones de Obras Públicas (S), luego de ponderar los antecedentes, entregando su visto bueno a ellos, solicitó al Director General de Concesiones de Obras Públicas (S) gestionar la tramitación del decreto supremo correspondiente, para efectos de disponer las modificaciones a las características de las obras y servicios del contrato de concesión informadas por el Inspector Fiscal en el "Modelo de decreto supremo que se dictará al efecto" adjunto al oficio Ord. N° 22.402, atendidas las razones de interés público expresadas por el Inspector Fiscal en su oficio Ord. N° 22.431, de fecha 19 de noviembre de 2025.
25º Que las modificaciones a las características de las obras y servicios del contrato de concesión informadas en el "Modelo de decreto supremo que se dictará al efecto" adjunto al oficio Ord. N° 22.402, involucran para la Sociedad Concesionaria nuevas inversiones y mayores gastos, costos y perjuicios, todo lo cual, de conformidad con lo prescrito en el artículo 19º de la Ley de Concesiones de Obras Públicas, obliga al MOP a compensarlas, debiendo acordar con la Sociedad Concesionaria las indemnizaciones correspondientes, para efectos de lo cual, con fecha 26 de noviembre de 2025, las partes suscribieron el Convenio Ad-Referéndum N° 11 del contrato de concesión.
26º Que, a objeto de dar cumplimiento a lo indicado en los artículos 19° de la Ley de Concesiones de Obras Públicas y 69° de su Reglamento, se hace necesaria la dictación del presente decreto supremo fundado, que modifica, por razones de interés público, las características de las obras y servicios del contrato de concesión, en los términos establecidos en la resolución DGC (exenta) N° 108, de fecha 5 de diciembre de 2024, en la resolución DGC (exenta) N° 131, de fecha 12 de septiembre de 2025, y en el oficio Ord. N° 22.402, de fecha 11 de noviembre de 2025, y aprueba el Convenio Ad-Referéndum N° 11, de fecha 26 de noviembre de 2025.
Decreto:
1. Modifícanse, por razones de interés público, las características de las obras y servicios del contrato de concesión de la obra pública fiscal denominada "Concesión Internacional Ruta 5 Tramo Santiago - Talca y Acceso Sur a Santiago", en el sentido que "Ruta del Maipo Sociedad Concesionaria S.A." asumió la obligación de desarrollar el proyecto de ingeniería denominado "PID Obras Civiles para Implementación Sistema Free Flow en Acceso Sur a Santiago", de acuerdo a los Términos de Referencia adjuntos al oficio Ord. N° 21.236, de fecha 3 de diciembre de 2024, del Inspector Fiscal, los que se entienden forman parte integrante del presente decreto supremo.
El "PID Obras Civiles para Implementación Sistema Free Flow en Acceso Sur a Santiago" debe cumplir con la normativa indicada en los Términos de Referencia adjuntos al oficio Ord. N° 21.236 , con los estándares de calidad y requisitos exigidos en el presente decreto supremo, en las Bases de Licitación y demás instrumentos que forman parte del contrato de concesión. Asimismo, sólo se entendería terminado, para todos los efectos legales y contractuales a que hubiere lugar, una vez que el Inspector Fiscal lo apruebe de conformidad a lo señalado en el presente decreto supremo.
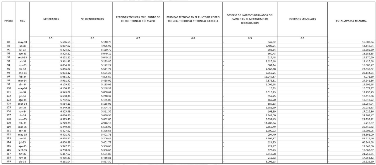
2. Establécese que los plazos máximos para el desarrollo y revisión del denominado "PID Obras Civiles para Implementación Sistema Free Flow en Acceso Sur a Santiago" son los indicados en la siguiente Tabla:
Tabla N° 1: Plazos "PID Obras Civiles para Implementación Sistema Free Flow en Acceso Sur a Santiago"

El plazo máximo para la entrega, por parte de la Sociedad Concesionaria, de los informes al Inspector Fiscal es el que se fija en la columna del título "Plazo Entrega" de la Tabla N° 1 precedente, el que se cuenta desde el 17 de enero de 2025, fecha en que el Inspector Fiscal comunicó a la Sociedad Concesionaria la total tramitación de la resolución DGC (exenta) N° 108, de 2024, mediante oficio Ord. N° 21.368.
Los informes señalados en la Tabla N° 1, precedente, debían ser revisados por el Inspector Fiscal en el plazo máximo que se singulariza en la columna del título "Plazo Revisión", contado desde la entrega de los mismos por parte de la Sociedad Concesionaria. En caso de no existir observaciones, el Inspector Fiscal debía aprobar dichos informes dentro del mismo plazo. En caso de existir observaciones, la Sociedad Concesionaria tendría un plazo máximo de 30 días para corregir el o los informes observados, a contar de la fecha en que el Inspector Fiscal comunique por escrito las observaciones efectuadas. Las correcciones debían ser presentadas al Inspector Fiscal en un "Informe de Correcciones", el que debía referirse sólo a las materias observadas, debiendo ser autosuficiente para efectuar su revisión.
En caso de atraso en la entrega de los informes señalados en la Tabla N° 1 del presente N° 2, se aplicaría una multa de 3 UTM a la Sociedad Concesionaria por cada día o fracción de día de atraso, cuya aplicación y pago se regularán según lo establecido en las Bases de Licitación.
El Inspector Fiscal debía revisar el "Informe de Correcciones" en el plazo máximo de 5 días, contado desde la entrega del mismo por parte de la Sociedad Concesionaria. En caso de que la Sociedad Concesionaria hubiese subsanado la totalidad de las observaciones formuladas por el Inspector Fiscal, éste debía aprobar la totalidad de los informes dentro del mismo plazo. En caso contrario, esto es, que la Sociedad Concesionaria no hubiese subsanado la totalidad de las observaciones formuladas por el Inspector Fiscal, el "Informe de Correcciones" sería rechazado y se aplicaría a ésta una multa de 3 UTM por cada día o fracción de día que medie entre la fecha en que el Inspector Fiscal comunique a la Sociedad Concesionaria el rechazo del "Informe de Correcciones" y la fecha en que dichas observaciones fuesen subsanadas en su totalidad, cuya aplicación y pago se regularán según lo establecido en las Bases de Licitación.
Una vez aprobada la totalidad de los informes por parte del Inspector Fiscal, la Sociedad Concesionaria debía emitir un "Informe Refundido" que incluyese todos los aspectos tratados para aprobar los informes antes señalados. Este informe debía ser entregado al Inspector Fiscal en un plazo no superior a 10 días, contado desde la fecha en que este último comunique a la Sociedad Concesionaria la aprobación de los informes antes señalados.
En caso de atraso en la entrega del informe refundido, se aplicaría una multa de 3 UTM a la Sociedad Concesionaria, por cada día o fracción de día de atraso, cuya aplicación y pago se regularán según lo establecido en las Bases de Licitación.
Se deja constancia que, mediante Carta GT 032/2025, de fecha 22 de enero de 2025, la Sociedad Concesionaria hizo entrega al Inspector Fiscal del proyecto de ingeniería definitiva denominado "PID Obras Civiles para Implementación Sistema Free Flow en Acceso Sur a Santiago" y mediante oficio Ord. N° 1.462, de fecha 17 de febrero de 2025, el Inspector Fiscal aprobó el citado proyecto. Finalmente, mediante Carta GT 076/2025, de fecha 27 de febrero de 2025, la Sociedad Concesionaria envió al Inspector Fiscal el Informe Refundido correspondiente al "PID Obras Civiles para Implementación Sistema Free Flow en Acceso Sur a Santiago".
3. Modifícanse, por razones de interés público, las características de las obras y servicios del contrato de concesión de la obra pública fiscal denominada "Concesión Internacional Ruta 5 Tramo Santiago - Talca y Acceso Sur a Santiago", en el sentido que "Ruta del Maipo Sociedad Concesionaria S.A." asumió la obligación de:
i) Ejecutar, conservar, mantener, operar y explotar las obras denominadas "Obras Civiles para Implementación Sistema Free Flow en Acceso Sur a Santiago", que deriven del proyecto de ingeniería señalado en el N° 1 del presente decreto supremo y que sea aprobado por el Inspector Fiscal. Se deja constancia que la ejecución de las "Obras Civiles para Implementación Sistema Free Flow en Acceso Sur a Santiago" comprende, además, la obligación del desmontaje, desmantelamiento y traslado de: a) las dos vías dedicadas de telepeaje (VDT) laterales por sentido y del equipamiento tecnológico asociado en la plaza de peaje Troncal Río Maipo, que forman parte de la Fase 3 del numeral 5.1 del presente decreto supremo, y b) las vías bajo marquesina y el equipamiento tecnológico asociado en la plaza de peaje Troncal Río Maipo, y en los peajes laterales Tocornal Oriente, Tocornal Poniente, Gabriela Oriente y Gabriela Poniente, que forman parte de la Fase 3 del numeral 5.1 del presente decreto supremo. Todo lo anterior, conforme a las especificaciones técnicas adjuntas al oficio Ord. N° 21.236, de fecha 3 de diciembre de 2024 , del Inspector Fiscal, las cuales se entienden forman parte integrante del presente decreto supremo. La obligación del desmontaje, desmantelamiento y traslado rige desde el término de la marcha blanca señalada en el literal (b) del numeral 5.1 del presente decreto supremo, sin perjuicio de lo señalado en el literal (c) del numeral 5.1.
ii) Adquirir, desarrollar, implementar, habilitar, conservar, mantener, operar y explotar el "Equipamiento Tecnológico para Implementación Sistema Free Flow en Acceso Sur a Santiago", de conformidad a las especificaciones técnicas adjuntas al oficio Ord. N° 21.236 , del Inspector Fiscal.
3.1 Expropiaciones y Cambios de Servicio Existentes y Modificación de Canales
Se deja constancia que, de conformidad a lo señalado en el oficio Ord. N° 20.985, de fecha 10 de septiembre de 2024, del Inspector Fiscal, para la Implementación del Sistema Free Flow en Acceso Sur a Santiago no se requiere de expropiaciones ni de cambios de servicios o modificaciones de canales.
3.2 Obligaciones en Materia Medioambiental y Territorial
Se deja constancia que, de conformidad a lo señalado en el Memorándum N° 43, de fecha 29 de febrero de 2024, del Jefe de la División de Participación, Territorio y Medio Ambiente de la Dirección General de Concesiones de Obras Públicas, la ejecución de las obras y la implementación de los equipos materia del presente decreto supremo no requiere someterse al Sistema de Evaluación de Impacto Ambiental. Sin perjuicio de lo anterior, será obligación de la Sociedad Concesionaria cumplir, en todo momento, con las estipulaciones contenidas en el Manual de Planes de Manejo Ambiental para Obras Concesionadas, en el Manual de Manejo de Áreas Verdes Sostenible para Proyectos y Obras Concesionadas, en sus versiones vigentes a la fecha del oficio Ord. N° 21.236, de fecha 3 de diciembre de 2024, en todo aquello que se establece como obligatorio en dichos manuales, y adoptar las medidas tendientes a cumplir con las recomendaciones en ellos contenidas, así como con las demás regulaciones ambientales establecidas en las Bases de Licitación y en los demás instrumentos que forman parte del contrato de concesión. En especial, será obligación de la Sociedad Concesionaria usar filtros de partículas cerrados para el total de la maquinaría móvil fuera de la ruta de construcción, ya sea propia o de terceros, que tenga una potencia superior a 56 kW e inferior o igual a 560 kW, de conformidad a lo dispuesto en el artículo 18 del Plan de Prevención y Descontaminación para la Región Metropolitana de Santiago, aprobado mediante decreto supremo N° 31, de fecha 11 de octubre de 2016, del Ministerio del Medio Ambiente.
Los eventuales requerimientos ambientales y territoriales solo podrán consistir en medidas u obras no contempladas en lo indicado en el párrafo precedente, relacionadas o que son consecuencia de las obras y equipamientos materia del presente decreto supremo.
En el evento que resulte necesario implementar medidas medioambientales y/o territoriales no previstas durante la ejecución de las obras materia del presente decreto supremo, será la Sociedad Concesionaria la responsable de efectuar todas las labores necesarias para ejecutar dichas medidas hasta alcanzar la cantidad máxima señalada en el numeral 12.15 del presente decreto supremo. Los montos que pague la Sociedad Concesionaria por este concepto serán reconocidos por el MOP, según su valor proforma, es decir, según los desembolsos que efectivamente realice la Sociedad Concesionaria por este concepto previa aprobación del Inspector Fiscal del presupuesto que le presentare, de acuerdo al procedimiento establecido en el presente numeral 3.2.
En el evento que se ejecuten medidas u obras fuera del área de concesión del Contrato de Concesión, la Sociedad Concesionaria, junto con los antecedentes que se indican en la letra a) del presente numeral, deberá acompañar al Inspector Fiscal un documento válidamente emitido por el organismo que asumirá, una vez ejecutadas dichas medidas u obras, la obligación de su conservación y mantención, en caso de que corresponda, y en el cual conste formalmente dicho compromiso.
Por su parte, una vez ejecutadas dichas medidas u obras, aquéllas que no se ejecuten en el área de concesión del Contrato de Concesión no se incorporarán a dicha área, y la Sociedad Concesionaria no tendrá obligación de conservación, mantenimiento, operación y explotación sobre las mismas.
La Sociedad Concesionaria deberá solicitar la autorización del Inspector Fiscal para la ejecución de las medidas u obras correspondientes a eventuales requerimientos territoriales a que hace referencia el presente numeral, y para el desarrollo de las ingenierías o estudios necesarios para la implementación de dichas medidas u obras, de acuerdo al siguiente procedimiento:
a) La Sociedad Concesionaria deberá enviar al Inspector Fiscal un detalle de las obras, medidas, ingenierías o estudios que se requiera ejecutar por concepto de requerimientos ambientales o territoriales no contemplados en el primer párrafo del presente numeral 3.2, especificando los plazos de ejecución involucrados y los costos de implementación, debiendo acompañar un mínimo de 3 cotizaciones de dichas obras, medidas, ingenierías y/o estudios, según sea el caso.
Para llevar a cabo el proceso de cotización de las ingenierías y/o estudios, el Inspector Fiscal deberá aprobar previamente los términos de referencia que deberá entregarle la Sociedad Concesionaria.
b) El Inspector Fiscal tendrá un plazo de 5 días hábiles, contado desde la recepción de las cotizaciones y antecedentes que especifiquen el alcance de las ingenierías, estudios, obras y/o medidas, para aprobar o rechazar, mediante anotación en el Libro de Explotación u oficio, la ejecución de la obra o medida respectiva y/o de su ingeniería o estudio en caso de que corresponda, el respectivo presupuesto, el cronograma de trabajo y sus hitos intermedios cuando correspondiere. En caso de rechazo por parte del Inspector Fiscal, la Sociedad Concesionaria tendrá un plazo de 30 días hábiles, contado desde la fecha de la referida anotación en el Libro de Explotación u oficio, para enviar nuevas cotizaciones y/o mayores antecedentes que permitan precisar a cabalidad el alcance de las ingenierías, estudios, obras y/o medidas, según corresponda, teniendo el Inspector Fiscal un plazo de 5 días hábiles, contado desde la recepción de las cotizaciones y/o antecedentes antes señalados, para aprobar o rechazar mediante anotación en el Libro de Explotación u oficio, la ejecución de la obra o medida respectiva y/o de su ingeniería o estudio en caso que corresponda, el respectivo presupuesto, el cronograma de trabajo y sus hitos intermedios cuando correspondiere.
En caso de incumplimiento por parte de la Sociedad Concesionaria de los plazos establecidos en el párrafo precedente, se le aplicará una multa de 3 UTM por cada día o fracción de día de atraso, cuya aplicación y pago se regularán según lo establecido en las Bases de Licitación.
c) El punto b) anterior podrá ser iterativo hasta que se precise a cabalidad el alcance de las ingenierías, estudios, obras y/o medidas, y se encuentre definida toda aquella información detallada en los puntos (i) y (ii) de la letra d) siguiente, que permita al Inspector Fiscal autorizar la ejecución de la obra o medida respectiva y/o de su ingeniería o estudio en caso que corresponda, y aprobar el respectivo presupuesto, el cronograma de trabajo y sus hitos intermedios cuando correspondiere.
d) Al momento de autorizar la ejecución de la obra o medida respectiva y/o de su ingeniería o estudio en caso que corresponda, y aprobar la cotización y cronograma de ejecución, el Inspector Fiscal deberá dejar constancia de ello en el Libro de Explotación, debiendo informar: (i) el presupuesto aprobado para la ejecución de la obra o medida respectiva y/o de su ingeniería o estudio en caso que corresponda; y (ii) el cronograma de ejecución, informando también el o los procedimientos de recepción de cada obra o medida o para la totalidad de éstas, conforme a su naturaleza y envergadura.
La anotación en el Libro de Explotación, señalada en el párrafo precedente, deberá ser firmada en conjunto por el Inspector Fiscal y el representante de la Sociedad Concesionaria.
e) Se deja constancia que el monto máximo que podrá alcanzar la suma de los montos que pague la Sociedad Concesionaria por los conceptos señalados en el presente numeral 3.2, será el establecido en el numeral 12.15 del presente decreto supremo. En virtud de lo anterior, el Inspector Fiscal no podrá aprobar cotizaciones por una sumatoria total que exceda dicho monto y la Sociedad Concesionaria no estará obligada a implementar medidas u obras correspondientes a eventuales requerimientos ambientales o territoriales por un monto superior al monto máximo referido anteriormente.
Los montos que pague la Sociedad Concesionaria por los conceptos señalados en el presente numeral serán reembolsados por el MOP a la Sociedad Concesionaria, según su valor proforma, es decir, según los desembolsos que efectivamente deba realizar la Sociedad Concesionaria por estos conceptos, previa aprobación del Inspector Fiscal del presupuesto que se le presentare, de acuerdo al procedimiento establecido en las letras precedentes, con el tope máximo establecido en el numeral 12.15 del presente decreto supremo.
El Inspector Fiscal deberá, en el transcurso de los 5 primeros días de cada mes calendario, remitir un informe a la Dirección de Presupuestos del Ministerio de Hacienda con un resumen de los montos comprometidos mediante este procedimiento en el mes anterior, y del total acumulado por el mismo concepto.
3.3 Seguro de Responsabilidad Civil por Daños a Terceros y Seguro por Catástrofe
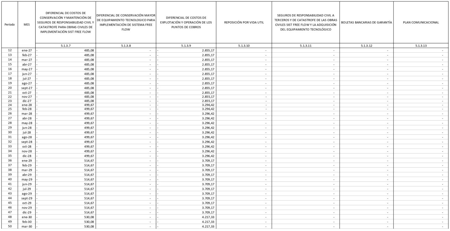
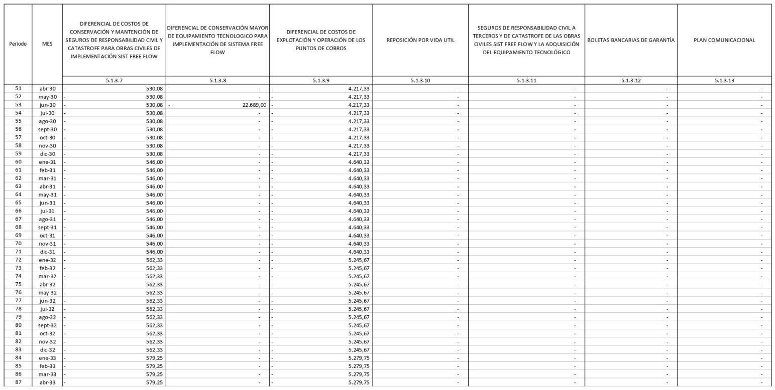
3.3.1 Será obligación de la Sociedad Concesionaria que, en todo momento, la ejecución de las obras denominadas "Obras Civiles para Implementación Sistema Free Flow en Acceso Sur a Santiago" y la adquisición e implementación del "Equipamiento Tecnológico para Implementación Sistema Free Flow en Acceso Sur a Santiago" se encuentren cubiertas por pólizas de seguros de responsabilidad civil por daños a terceros, por un monto mínimo de UF 25.000 (Veinticinco mil Unidades de Fomento) y deducible máximo de un 1%, y por pólizas de seguro por catástrofe, por un monto equivalente al valor total de la obra a construir y equipamiento a habilitar, y que, en todo caso, no podrá ser inferior a UF 265.358,04 (doscientas sesenta y cinco mil trescientas cincuenta y ocho coma cero cuatro Unidades de Fomento), con un deducible máximo de 2% del total del monto asegurado. Lo anterior, deberá acreditarse ante el Inspector Fiscal, con al menos 10 días de antelación al inicio de las obras y de las labores de implementación y habilitación del equipamiento dispuestos en el presente decreto supremo, y como condición para el inicio de la ejecución de las mismas, rigiendo para estos efectos, los demás términos y condiciones establecidos en los artículos 1.6.13 y 1.6.14 de las Bases de Licitación, en todo lo que les sea aplicable.
En caso de que la Sociedad Concesionaria no acredite lo establecido en el párrafo anterior, en la oportunidad antes señalada, le será aplicable una multa de 5 UTM por día o fracción de día de atraso, cuya aplicación y pago se regularán según lo establecido en las referidas Bases de Licitación.
Se deja constancia que mediante Carta G.G. N° 022/2025 y Carta G.G. N° 023/2025, ambas de fecha 5 de febrero de 2025, la Sociedad Concesionaria remitió al Inspector Fiscal la póliza de seguro de responsabilidad civil por daños a terceros y la póliza de seguro de todo riesgo de construcción, respectivamente.
3.3.2 Será obligación de la Sociedad Concesionaria que, en todo momento, durante la conservación y mantención de las obras denominadas "Obras Civiles para Implementación Sistema Free Flow en Acceso Sur a Santiago" y la conservación, mantención, operación y explotación del "Equipamiento Tecnológico para Implementación Sistema Free Flow en Acceso Sur a Santiago", éstos se encuentren cubiertos por pólizas de seguros de responsabilidad civil por daños a terceros y de seguro por catástrofe, lo que deberá acreditar ante el Inspector Fiscal, en forma previa y como condición para la recepción de las obras y equipamiento, rigiendo para estos efectos los términos y condiciones establecidos en los artículos 1.6.13 y 1.6.14 de las Bases de Licitación, en todo lo que les sea aplicable.
En caso de que la Sociedad Concesionaria no acredite que alguna de las obras o equipamiento señalados en el párrafo anterior se encuentran cubiertos por las pólizas de seguro exigidas precedentemente, en la oportunidad antes señalada, le será aplicable una multa de 5 UTM por día o fracción de día de atraso, cuya aplicación y pago se regularán según lo establecido en las Bases de Licitación.
3.4 Boletas Bancarias de Garantía de Fiel Cumplimiento de las obligaciones dispuestas en el presente decreto supremo
3.4.1 La Sociedad Concesionaria, para el inicio de la construcción de las obras denominadas "Obras Civiles para Implementación Sistema Free Flow en Acceso Sur a Santiago", asumió la obligación de entregar al Inspector Fiscal boletas bancarias de garantía de construcción, según el siguiente detalle: a) para las " Obras Civiles para Implementación Sistema Free Flow en Acceso Sur a Santiago", por un monto de UF 9.127 (nueve mil ciento veintisiete Unidades de Fomento), y b) para el "Equipamiento Tecnológico para Implementación Sistema Free Flow en Acceso Sur a Santiago", por un monto de UF 4.141 (cuatro mil ciento cuarenta y una Unidades de Fomento). Lo anterior, con el objeto de asegurar el fiel cumplimiento de todas y cada una de las obligaciones que asume en relación con la construcción de las obras denominadas " Obras Civiles para Implementación Sistema Free Flow en Acceso Sur a Santiago" y a la adquisición, desarrollo, implementación y habilitación del "Equipamiento Tecnológico para Implementación Sistema Free Flow en Acceso Sur a Santiago" que se indican en el presente decreto supremo.
Las boletas bancarias de garantía, antes señaladas, debían ser aprobadas u observadas por el Inspector Fiscal dentro del plazo de 5 días de recibidas, y tendrán un plazo de vigencia igual al plazo máximo de construcción de las obras, o bien, igual al plazo máximo de la adquisición, desarrollo, implementación y habilitación del "Equipamiento Tecnológico para Implementación Sistema Free Flow en Acceso Sur a Santiago", lo que ocurra último, más 3 meses. Sin perjuicio de lo anterior, las garantías señaladas en el párrafo anterior deberán permanecer vigentes hasta que se haya verificado la aprobación de la Fase 3, señalada en el numeral 5.1 literal (c) del presente decreto supremo, más 3 meses.
El MOP hará la devolución a la Sociedad Concesionaria de las garantías antes referidas una vez obtenida la aprobación de la Fase 3, señalada en el numeral 5.1 literal (c) del presente decreto supremo. Esta devolución se efectuará dentro del plazo de 15 días, contado desde que la Sociedad Concesionaria lo solicite por escrito al Inspector Fiscal.
Las boletas bancarias de garantía deberán ser tomadas por la Sociedad Concesionaria, o bien, por sus accionistas o sus matrices, pagaderas a la vista, emitidas en la ciudad de Santiago de Chile por un banco de la plaza, a nombre del Director General de Concesiones de Obras Públicas y, en lo demás, deberán cumplir con las exigencias y requisitos establecidos en las Bases de Licitación.
Las boletas bancarias de garantía podrán ser cobradas, total o parcialmente, por el MOP en caso de incumplimiento de cualquiera de las obligaciones de la Sociedad Concesionaria dispuestas en el presente decreto supremo, sin perjuicio de otras causales previstas en las Bases de Licitación en relación a las obras y equipamiento dispuestas en el presente decreto supremo. En el caso que el MOP hiciera efectivas las boletas bancarias de garantía, la Sociedad Concesionaria deberá reconstituirlas dentro del plazo de 20 días, contado desde la fecha de su cobro, de modo de mantener permanentemente a favor del MOP las garantías equivalentes en Unidades de Fomento a los montos señalados en el primer párrafo del presente numeral 3.4.1.
En caso de no entrega oportuna de las referidas boletas bancarias de garantía, de su no reconstitución o no renovación, si correspondiere, se aplicará a la Sociedad Concesionaria una multa de 5 UTM por cada día o fracción de día de atraso, cuya aplicación y pago se regularán según lo establecido en las Bases de Licitación.
Se deja constancia que mediante Carta G.G. N° 021/2025, de fecha 5 de febrero de 2025, la Sociedad Concesionaria envío las Boletas de Garantía al Inspector Fiscal.
3.4.2 La garantía de explotación vigente, cuyas boletas obran en poder del MOP, servirán para caucionar las obligaciones de conservación, mantención, operación y explotación de las "Obras Civiles para Implementación Sistema Free Flow en Acceso Sur a Santiago" y del "Equipamiento Tecnológico para Implementación Sistema Free Flow en Acceso Sur a Santiago", dispuestos en el presente decreto supremo. Será obligación de la Sociedad Concesionaria reemplazar, previo al inicio de la explotación de las obras, las boletas de garantía vigentes en caso de que su glosa impida que garanticen las referidas obras, equipamiento y obligaciones.
En caso de incumplimiento de la obligación de la Sociedad Concesionaria de reemplazar las boletas de garantía vigentes en la oportunidad antes indicada, si fuere necesario según lo señalado en el párrafo precedente, se le aplicará a ésta una multa de 5 UTM por cada día o fracción de día de atraso, cuya aplicación y pago se regularán según lo establecido en las Bases de Licitación.
4. Establécese que el plazo máximo para adquirir y desarrollar el "Equipamiento Tecnológico para Implementación Sistema Free Flow en Acceso Sur a Santiago" es de 3 meses, contado desde el 17 de enero de 2025, fecha en que el Inspector Fiscal comunicó a la Sociedad Concesionaria la total tramitación de la resolución DGC (exenta) N° 108, de 2024, mediante oficio Ord. N° 21.368.
4.1 La Sociedad Concesionaria asumió la obligación de informar por escrito al Inspector Fiscal la adquisición y desarrollo del "Equipamiento Tecnológico para Implementación Sistema Free Flow en Acceso Sur a Santiago", dentro del plazo máximo antes indicado. El Inspector Fiscal debía inspeccionar y verificar el cumplimiento de las obligaciones establecidas en el presente N° 4, de conformidad a la metodología señalada en la Tabla N° 2 siguiente, en el plazo máximo de 10 días, contado desde la fecha de la solicitud por parte de la Sociedad Concesionaria.
Tabla N° 2: Metodología de Recepción del "Equipamiento Tecnológico para Implementación Sistema Free Flow en Acceso Sur a Santiago "

4.2 Si se constata el cumplimiento del plazo para la adquisición y desarrollo del " Equipamiento Tecnológico para Implementación Sistema Free Flow en Acceso Sur a Santiago " , se aprobaría y dejaría constancia mediante anotación en el Libro de Explotación u oficio.
4.3 En caso de incumplimiento del plazo máximo para la adquisición y desarrollo del " Equipamiento Tecnológico para Implementación Sistema Free Flow en Acceso Sur a Santiago " , se aplicaría a la Sociedad Concesionaria una multa de 5 UTM, por cada día o fracción de día de atraso, a partir del vencimiento del plazo y hasta que el Inspector Fiscal aprobase la adquisición y desarrollo del " Equipamiento Tecnológico para Implementación Sistema Free Flow en Acceso Sur a Santiago ", cuya aplicación y pago se regularán según lo establecido en las Bases de Licitación. Se deja constancia que los plazos de revisión del Inspector Fiscal no se contabilizarán para los efectos de la aplicación de la multa indicada en el presente párrafo.
Se deja constancia que la Sociedad Concesionaria mediante Carta G.G. N° 036/2025, de fecha 10 de marzo de 2025, informó al Inspector Fiscal la adquisición del equipamiento tecnológico. Por su parte, mediante oficio Ord. N° 21.562, de fecha 20 de marzo de 2025, el Inspector Fiscal recepcionó y aprobó la adquisición y desarrollo del " Equipamiento Tecnológico para Implementación Sistema Free Flow en Acceso Sur a Santiago ".
5. Establécese que a la ejecución de las " Obras Civiles para Implementación Sistema Free Flow en Acceso Sur a Santiago " y a la implementación y habilitación del "Equipamiento Tecnológico para Implementación Sistema Free Flow en Acceso Sur a Santiago", se le aplicarán las disposiciones que a continuación se indican:
5.1 Plazos Máximos
Los plazos máximos para la ejecución de las "Obras Civiles para Implementación Sistema Free Flow en Acceso Sur a Santiago" y la implementación y habilitación del "Equipamiento Tecnológico para Implementación Sistema Free Flow en Acceso Sur a Santiago", tendrán la siguiente regulación:
El plazo máximo de cada una de las 3 Fases que considera la ejecución de las obras denominadas " Obras Civiles para Implementación Sistema Free Flow en Acceso Sur a Santiago" y la implementación y habilitación del "Equipamiento Tecnológico para Implementación Sistema Free Flow en Acceso Sur a Santiago", será el siguiente:
(a) Fase 1: Considera la construcción de fundaciones de pórticos y salas para sistemas de respaldo (shelter), montaje de estructura metálica para pórticos, instalación de alumbrado, en el plazo máximo de 4 meses, contado desde la fecha en que el Inspector Fiscal aprobase el "PID Obras Civiles para Implementación Sistema Free Flow en Acceso Sur a Santiago".
Se deja constancia que mediante Carta GT 268/2025, de fecha 27 de junio de 2025, la Sociedad Concesionaria solicitó al Inspector Fiscal la recepción de la Fase 1. Por su parte, mediante oficio Ord. N° 21.956, de fecha 9 de julio de 2025, el Inspector Fiscal aprobó la Fase 1 antes señalada.
(b) Fase 2: Considera el montaje, habilitación e integración de los sistemas de cobro electrónico en pórtico y sistema central de operación comercial, en el plazo máximo de 45 días, contado desde la aprobación de la Fase 1. Adicionalmente, a partir de la aprobación de la presente Fase por el Inspector Fiscal, se iniciaría el período de marcha blanca, el cual durará como mínimo un plazo de 15 días y, en todo caso, hasta la fecha de la publicación en el Diario Oficial del presente decreto supremo.
Dentro del período de marcha blanca señalado en el párrafo anterior, y a partir de las 00:00 horas del 16 de septiembre de 2025 y hasta la publicación en el Diario Oficial del presente decreto supremo, la Sociedad Concesionaria deberá habilitar el punto de cobro Troncal Río Maipo bajo la modalidad de flujo libre conocida como Free Flow, con acceso universal y con las mismas tarifas que la Sociedad Concesionaria está autorizada a cobrar en dicha plaza de peaje .
(c) Fase 3: Considera el desmontaje, desmantelamiento y traslado de: a) las dos vías dedicadas de telepeaje (VDT) laterales por sentido y del equipamiento tecnológico asociado a la plaza de peaje Troncal Río Maipo, y b) las vías bajo marquesina y el equipamiento tecnológico asociado a la plaza de peaje Troncal Río Maipo, y plazas de peajes laterales Tocornal Oriente, Tocornal Poniente, Gabriela Oriente y Gabriela Poniente; la demolición y disposición final de las marquesinas, isletas y espolones que protegen las casetas de peaje; y la restitución de los pavimentos e instalación de señales y demarcaciones, conforme al "PID Obras Civiles para Implementación Sistema Free Flow en Acceso Sur a Santiago", aprobado por el Inspector Fiscal, en el plazo máximo de 5 meses, contado desde el término de la marcha blanca indicada en la letra (b) precedente.
Sin perjuicio de lo señalado anteriormente, y a lo dispuesto el N° 3 literal i) del presente decreto supremo, la Sociedad Concesionaria podrá iniciar las actividades señaladas en el párrafo anterior, correspondientes al Troncal Río Maipo, una vez habilitado el respectivo punto de cobro de conformidad a lo indicado en el segundo párrafo del numeral 5.1 literal (b) anterior.
5.2 Recepción de las "Obras Civiles para Implementación Sistema Free Flow en Acceso Sur a Santiago" e implementación y habilitación del "Equipamiento Tecnológico para Implementación Sistema Free Flow en Acceso Sur a Santiago"
5.2.1 Una vez finalizada la ejecución de las Fases 1 y 3, señaladas en el numeral 5.1 literales (a) y (c) del presente decreto supremo, se procederá a la aprobación de la respectiva fase por parte del Inspector Fiscal, de acuerdo a la siguiente regulación:
a) La Sociedad Concesionaria deberá informar por escrito al Inspector Fiscal el término de las Fases 1 y 3. El Inspector Fiscal deberá inspeccionar y verificar el término de la respectiva fase dentro del plazo de 5 días, contado desde la fecha de la solicitud de la Sociedad Concesionaria.
b) Si se constata que la fase informada se encuentra adecuadamente terminada, ésta será aprobada dejando constancia de ello mediante anotación escrita en el Libro de Explotación u oficio.
c) En caso que la Sociedad Concesionaria informe el término de la respectiva fase antes del vencimiento del plazo máximo establecido en el numeral 5.1 literales (a) o (c), según corresponda, y el Inspector Fiscal constatare que la respectiva fase no ha sido ejecutada de acuerdo al "PID Obras Civiles para Implementación Sistema Free Flow en Acceso Sur a Santiago" que apruebe el Inspector Fiscal y a las especificaciones técnicas adjuntas al oficio Ord. N° 21.236, de fecha 3 de diciembre de 2024, según corresponda, dicha fase no se considerará recibida ni terminada bajo respecto alguno, debiendo el Inspector Fiscal informarlo a la Sociedad Concesionaria mediante anotación en el Libro de Explotación u oficio, instruyendo asimismo la corrección de las no conformidades, en cuyo caso la Sociedad Concesionaria deberá subsanarlas dentro del plazo que le reste para el vencimiento del plazo máximo antes señalado. Todas las observaciones del Inspector Fiscal, en caso de haberlas, deberán ser efectuadas en una única y misma oportunidad.
El plazo máximo de cada una de las fases se entenderá suspendido desde la fecha en que la Sociedad Concesionaria informe su término y hasta la notificación de las observaciones por parte del Inspector Fiscal.
El Inspector Fiscal deberá revisar nuevamente el término adecuado de la fase informada dentro del plazo de 5 días, contado desde la fecha de ingreso de la solicitud de la Sociedad Concesionaria y, en caso que las observaciones no hayan sido subsanadas, deberá informarlo a la Sociedad Concesionaria mediante anotación en el Libro de Explotación u oficio, instruyendo asimismo la corrección de las no conformidades, la que deberá subsanar las observaciones dentro del plazo que indique el Inspector Fiscal, que no podrá ser superior a 5 días. Este procedimiento será iterativo hasta que el Inspector Fiscal constate el término adecuado de la respectiva fase.
Sin perjuicio de lo anterior, a partir del vencimiento del plazo máximo de la respectiva fase sin que se hayan subsanado las observaciones realizadas por el Inspector Fiscal, se aplicarán a la Sociedad Concesionaria las multas señaladas en el literal e) del presente numeral a partir de dicho vencimiento y hasta que el Inspector Fiscal apruebe la respectiva fase. En este caso, los plazos de revisión del Inspector Fiscal no se contabilizarán para los efectos de la aplicación de dichas multas.
d) En caso que la Sociedad Concesionaria informe el término de alguna de las mencionadas fases después de vencido el plazo máximo de ejecución establecido en el numeral 5.1 literales (a) y (c), según corresponda, del presente decreto supremo, le serán aplicables las multas señaladas en el literal e) del presente numeral a partir de dicho vencimiento y hasta que el Inspector Fiscal apruebe la respectiva Fase a entera conformidad.
En este caso, si el Inspector Fiscal constata que la fase informada no ha sido ejecutada de acuerdo a los estándares técnicos y/o a los estándares de diseño establecidos en el proyecto de ingeniería, en las especificaciones técnicas y en el presente decreto supremo, dicha fase no se considerará terminada, debiendo el Inspector Fiscal informarlo a la Sociedad Concesionaria mediante anotación en el Libro de Explotación u oficio, otorgando un plazo para que subsane la observaciones, el que no podrá ser superior a 5 días. Todas las observaciones del Inspector Fiscal, en caso de haberlas, deberán ser efectuadas en una única y misma oportunidad.
Una vez corregidas las observaciones, la Sociedad Concesionaria deberá solicitar nuevamente, al Inspector Fiscal la aprobación de la respectiva fase, quien tendrá un plazo de 5 días, contado desde la fecha de ingreso de la solicitud de la Sociedad Concesionaria. Este procedimiento se aplicará hasta que el Inspector Fiscal constate el término adecuado de las fases. En caso de existir observaciones, los plazos de revisión del Inspector Fiscal no se contabilizarán para los efectos de la aplicación de multas a la Sociedad Concesionaria.
e) En caso de incumplimiento del plazo máximo otorgado para las fases 1 ó 3, de conformidad a lo indicado en la letra d), o que no se hubieren subsanado las observaciones de conformidad a lo indicado en la letra c), todo del presente numeral 5.2.1, se aplicará a la Sociedad Concesionaria una multa de 20 UTM, por cada día o fracción de día de atraso, hasta la aprobación de la fase por parte del Inspector Fiscal, cuya aplicación y pago se regularán según lo establecido en las Bases de Licitación.
5.2.2 Para efectos de poder certificar el adecuado desarrollo de la Fase 2 señalada en el numeral 5.1 literal (b) del presente decreto supremo, se procederá de acuerdo a la siguiente regulación:
a) Para los efectos de poder certificar que la Fase 2 se encuentra adecuadamente implementada y en correcto funcionamiento y verificar su integración en el Back Office Comercial Free Flow, la Sociedad Concesionaria asumió la obligación de entregar al Inspector Fiscal un documento denominado "Protocolos de Recepción y Verificación" en el plazo máximo de 10 días, contado desde la aprobación por parte del Inspector Fiscal del "PID Obras Civiles para Implementación Sistema Free Flow en Acceso Sur a Santiago".
El Inspector Fiscal tendría un plazo de 5 días para revisar el documento presentado. Si no tuviere observaciones aquél sería aprobado. En caso de que el documento fuese observado, la Sociedad Concesionaria tendría un plazo de 5 días para corregirlo, incorporando las observaciones realizadas por el Inspector Fiscal. Este procedimiento sería iterativo hasta la aprobación por parte del Inspector Fiscal del citado documento.
En caso de atraso en la entrega del documento "Protocolos de Recepción y Verificación", o de las correcciones a éste, si las hubiere, se aplicaría a la Sociedad Concesionaria una multa de 5 UTM por cada día o fracción de día de atraso, cuya aplicación y pago se regularán según lo establecido en las Bases de Licitación.
Sólo una vez que se completen exitosamente las pruebas y verificaciones establecidas en el documento "Protocolos de Recepción y Verificación", aprobado por el Inspector Fiscal, este último procedería a aprobar la Fase 2.
Se deja constancia que mediante Carta GG N° 133/2025, de fecha 29 de agosto de 2025, la Sociedad Concesionaria solicitó al Inspector Fiscal la recepción de la Fase 2. Por su parte, mediante oficio Ord. N° 22.147, de fecha 2 de septiembre de 2025, el Inspector Fiscal aprobó la Fase 2 antes señalada.
b) Una vez aprobada la Fase 2 comenzó a regir el período de marcha blanca de conformidad a lo señalado en el numeral 5.1 literal (b). El inicio del cobro definitivo en la modalidad Sistema Free Flow se encuentra establecido en el N° 12 del presente decreto supremo.
c) En caso de incumplimiento del plazo máximo otorgado para la Fase 2, se aplicaría a la Sociedad Concesionaria una multa de 50 UTM, por cada día o fracción de día de atraso, hasta la aprobación de dicha fase por parte del Inspector Fiscal, cuya aplicación y pago se regularán según lo establecido en las Bases de Licitación.
5.3 Planos As Built
En el plazo máximo de 60 días, contado desde la aprobación de la Fase 3, la Sociedad Concesionaria deberá hacer entrega al Inspector Fiscal de: i) la memoria explicativa de las obras, ii) los planos As Built de las obras, y iii) la ingeniería As Built de los Sistemas de Cobro, los que deberán ser entregados en dos copias en papel, con su respectivo formato digital DWG. El Inspector Fiscal deberá revisar y aprobar u observar los documentos señalados en los numerales i), ii) y iii) precedentes, para lo cual dispondrá de un plazo de 15 días, contado desde su recepción.
En el caso que alguno de los documentos mencionados fuere observado, la Sociedad Concesionaria tendrá un plazo de 30 días para subsanar dichas observaciones, a partir de la fecha en que se le notifiquen las observaciones. Este procedimiento será iterativo hasta la total aprobación del Inspector Fiscal.
En caso de atraso en la entrega de cualquiera de los antecedentes mencionados en el presente numeral 5.3 por parte de la Sociedad Concesionaria o de sus correcciones, se aplicará a ésta una multa de 2 UTM por cada día o fracción de día de atraso, cuya aplicación y pago se regulará según lo establecido en las Bases de Licitación.
Una vez que se disponga del set completo de los planos As Built, con todas sus firmas y timbres, la Sociedad Concesionaria deberá generar una copia de cada uno de ellos en formato PDF, en colores, y entregarlos al Inspector Fiscal para los archivos del MOP. Esta labor deberá realizarse en el plazo de 30 días, contado desde que el Inspector Fiscal entregue todos los planos debidamente firmados y timbrados, entrega que este último realizará en un solo acto. En caso de atraso en la entrega de las copias de planos As Built en formato PDF por parte de la Sociedad Concesionaria, se aplicará a ésta una multa de 2 UTM por cada día o fracción de día de atraso, cuya aplicación y pago se regularán según lo establecido en las Bases de Licitación.
5.4 Desmontaje, desmantelamiento, demolición y traslado de las vías de cobro de las plazas de peaje laterales Tocornal y Gabriela, Oriente y Poniente, y de la plaza de peaje Troncal Río Maipo
Se deja constancia que el Inspector Fiscal deberá calificar si los bienes a desmontar, desmantelar, demoler y trasladar que forman parte de la Fase 3 del numeral 5.1 del presente decreto supremo, son o no bienes recuperables o reutilizables. En el caso de bienes calificados por el Inspector Fiscal como no recuperables, la Sociedad Concesionaria deberá trasladar dichos bienes a botaderos autorizados. En el caso de bienes calificados por el Inspector Fiscal como recuperables, con excepción de los referidos en el párrafo precedente, la Sociedad Concesionaria deberá trasladar dichos bienes a la bodega de bienes fiscales en la Región Metropolitana o VI Región, según indique el Inspector Fiscal.
5.5 Programa de Conservación de la Obra y Plan de Trabajo Anual
La Sociedad Concesionaria, con al menos 15 días de antelación a la fecha en que solicite la aprobación de la Fase 3, deberá presentar al Inspector Fiscal para su aprobación, una actualización del Programa de Conservación de la Obra y del Plan de Trabajo Anual indicados en los artículos 1.8.5, 2.5.1.1 y 2.5.7 de las Bases de Licitación incorporando en ellos las obras denominadas "Obras Civiles para Implementación Sistema Free Flow en Acceso Sur a Santiago" y el "Equipamiento Tecnológico para Implementación Sistema Free Flow en Acceso Sur a Santiago".
El Inspector Fiscal tendrá un plazo de 10 días para revisar cada actualización presentada, contado desde su recepción, plazo después del cual, si no hubiere observaciones, se entenderá aprobada. En caso de que la actualización sea observada, la Sociedad Concesionaria tendrá un plazo de 20 días para corregirla, incorporando las observaciones realizadas por el Inspector Fiscal. Este procedimiento será iterativo hasta la aprobación del Inspector Fiscal.
En caso de atraso en la entrega de la actualización del Programa de Conservación de la Obra, del Plan de Trabajo Anual o de las correcciones a éstos, si las hubiere, se aplicará a la Sociedad Concesionaria una multa de 5 UTM por cada día o fracción de día de atraso, cuya aplicación y pago se regulará según lo establecido en las Bases de Licitación.
5.6 Desvíos, Señalización y Seguridad para el tránsito
Durante la ejecución de las obras materia del presente decreto supremo, la Sociedad Concesionaria estará obligada a mantener el tránsito expedito, tomar todas las precauciones necesarias para proteger los trabajos, así como la seguridad vial de los usuarios y, en particular, deberá dar cumplimiento a lo establecido en los artículos 1.7.2.6 y 1.7.2.8 de las Bases de Licitación. Las normas de señalización que se aplicarán durante la ejecución de las obras serán las que se encuentren vigentes al 17 de enero de 2025, fecha en que el Inspector Fiscal comunicó a la Sociedad Concesionaria la total tramitación de la resolución DGC (exenta) N° 108, de 2024, en particular, el Título V: "Señalización Transitoria y Medidas de Seguridad para Trabajos en la Vía" del Manual de Señalización de Tránsito del Ministerio de Transportes y Telecomunicaciones, y el volumen N° 6: "Seguridad Vial", del Manual de Carreteras del MOP. Cualquier retraso en la ejecución de las obras que sea consecuencia del incumplimiento de estas obligaciones, como asimismo las eventuales paralizaciones de faenas durante el período de contingencia de festividades, no será constitutiva de caso fortuito o fuerza mayor ni constituirá causal de aumento de plazo de ejecución de las obras denominadas " Obras Civiles para Implementación Sistema Free Flow en Acceso Sur a Santiago ".
En caso de incumplimiento de cualquiera de las obligaciones establecidas en el presente numeral 5.6, se aplicará a la Sociedad Concesionaria una multa de 10 UTM, por cada vez, cuya aplicación y pago se regularán según lo establecido en las Bases de Licitación.
5.7 Plan Comunicacional
Como consecuencia de la "Implementación Sistema Free Flow en Acceso Sur a Santiago" al contrato de concesión , la Sociedad Concesionaria asumió la obligación de presentar al Inspector Fiscal, para su aprobación, en el plazo máximo de 15 días contado desde el 17 de enero de 2025, fecha en que el Inspector Fiscal comunicó a la Sociedad Concesionaria la total tramitación de la resolución DGC (exenta) N° 108, de 2024, un Plan Comunicacional que permita difundir el cambio en la configuración de las vías de peaje y el inicio del proyecto "Implementación Sistema Free Flow en Acceso Sur a Santiago" , ajustándose a las condiciones contempladas en el documento "Requerimientos Mínimos Plan Comunicacional", adjunto al oficio Ord. N° 21.236 , del Inspector Fiscal.
El Inspector Fiscal tendría un plazo de 5 días para revisar el plan, contado desde su recepción. En caso de existir observaciones, la Sociedad Concesionaria tendría un plazo de 5 días para corregirlas, y el Inspector Fiscal tendría un plazo de 5 días para aprobar o rechazar el plan corregido. Este procedimiento será iterativo hasta la aprobación del Inspector Fiscal.
En caso de atraso en la entrega del Plan Comunicacional, o de las correcciones a este si las hubiera, se aplicaría a la Sociedad Concesionaria una multa de 2 UTM por cada día o fracción de día de atraso, cuya aplicación y pago se r egularán según lo establecido en las Bases de Licitación. Los días que emplease el Inspector Fiscal para revisar el plan o las correcciones no serán contabilizados como días de atraso de la Sociedad Concesionaria, para estos efectos.
En caso de incumplimiento de lo estipulado en el Plan Comunicacional aprobado por el Inspector Fiscal, se aplicará a la Sociedad Concesionaria una multa de 50 UTM, por cada vez, cuya aplicación y pago se regularán según lo establecido en las Bases de Licitación.
Se deja constancia que mediante Carta G.G. N° 012/2025, de fecha 20 de enero de 2025, la Sociedad Concesionaria envió el Plan Comunicacional al Inspector Fiscal quién, mediante oficio Ord. N° 21.380, de fecha 22 de enero de 2025, aprobó el citado Plan.
5.8 Reglamento de Servicio
La Sociedad Concesionaria asumió la obligación de entregar al Inspector Fiscal un borrador del nuevo Reglamento de Servicio, dentro del plazo de 30 días, contado desde el 17 de enero de 2025, fecha en que el Inspector Fiscal comunicó a la Sociedad Concesionaria la total tramitación de la resolución DGC (exenta) N° 108, de 2024. El Inspector Fiscal dentro de un plazo máximo de 30 días desde la recepción del borrador, notificaría a la Sociedad Concesionaria de la aprobación o de las observaciones a dicho documento y, en este último cas o, dentro de los próximos 10 días, la Sociedad Concesionaria debía hacer entrega del nuevo borrador del Reglamento al Inspector Fiscal, quien tendrá un plazo de 10 días para su aprobación u observación. Este procedimiento sería iterativo hasta la aprobación por parte del Inspector Fiscal.
El Inspector Fiscal no daría la aprobación de la Fase 2 señalada en el numeral 5.1 literal (c) del presente decreto supremo, si no se hubiere aprobado previamente el Reglamento de Servicio de la Obra.
La Sociedad Concesionaria asumió la obligación de publicar un extracto del Reglamento, aprobado por el Inspector Fiscal, en un diario de circulación nacional y en un diario de circulación local de la comuna o comunas por las que se desarrolle la concesión, dentro del plazo de 15 días desde que fuera aprobado. Dicho extracto se mantendrá a disposición gratuita de los usuarios que lo soliciten en las oficinas de la Sociedad Concesionaria.
La no entrega, por parte de la Sociedad Concesionaria, del borrador del Reglamento dentro del plazo señalado precedentemente, como asimismo la no publicación ni disposición gratuita a los usuarios del extracto del Reglamento aprobado, haría merecedora a la Sociedad Concesionaria de las multas establecidas en el artículo 1.6.8.1 de las Bases de Licitación .
Se deja constancia que mediante Carta G.G. N° 033/2025, de fecha 13 de febrero de 2025, la Sociedad Concesionaria entregó al Inspector Fiscal el borrador del nuevo Reglamento de Servicio. Por su parte, mediante oficio Ord. N° 21.627, de fecha 31 de marzo de 2025, el Inspector Fiscal aprobó el señalado Reglamento.
6. Modifícanse, por razones de interés público, las características de las obras y servicios del contrato de concesión de la obra pública fiscal denominada "Concesión Internacional Santiago - Talca y Acceso Sur a Santiago", en el sentido que los requerimientos que se exigirán para regular la relación de la Sociedad Concesionaria con los usuarios de los Puntos de Cobro Free Flow materia del proyecto "Implementación Sistema Free Flow en Acceso Sur a Santiago" serán los mismos que se establecen en el N° 8 del decreto supremo MOP N° 154, de 2018, a excepción de los literales u) y v) del numeral ii.
Se deja constancia que se establecen las siguientes precisiones en el numeral ii del N° 8 del decreto supremo MOP N° 154, de 2018, las que se deberán entender aplicadas para todo el Sistema Electrónico de Cobro del contrato de concesión:
. En el literal n), deberá reemplazarse el término "sistema de cobro alternativo" por "sistema complementario" de cobro para usuarios poco frecuentes.
. En el literal n), donde se establece que: "el MOP podrá exigir a la Sociedad Concesionaria, incorporarse a un Sistema de Cobro Unificado para Usuarios Poco Frecuentes del Sistema Interoperable del MOP, con la obligación de mantener la información actualizada en relación a los pagos realizados por el usuario a través de otros canales de recaudación."; deberá reemplazarse por: "el MOP podrá exigir a la Sociedad Concesionaria incorporarse a un Sistema de Cobro Unificado para Usuarios Poco Frecuentes del Sistema Interoperable del MOP o del sitio web que lo reemplace, con la obligación de mantener la información actualizada en relación a los pagos realizados por el usuario a través de otros canales de recaudación".
. En el literal t), la inhabilitación del TAG aplicará para todos los casos indicados, siempre que la deuda del convenio o Cuenta Comercial, según sea el caso, supere el valor de 1,5 UF.
A mayor abundamiento, cada vez que se mencione el Punto de Cobro Free Flow para Plaza de Peaje Nueva Angostura deberá entenderse aplicado también a los puntos de cobro Free Flow del proyecto "Implementación Sistema Free Flow en Acce so Sur a Santiago" . Asimismo, toda referencia a la Fase 2 del numeral 7.1 literal i) letra c) del decreto supremo MOP N° 154, de 2018, deberá entenderse también referida a la Fase 2 del numeral 5.1 literal (b) del presente Decreto Supremo.
7. Establécese que la Sociedad Concesionaria deberá dar cumplimiento a las condiciones requeridas del sistema de cobro electrónico en modalidad Free Flow del proyecto "Implementación Sistema Free Flow en Acceso Sur a Santiago", señaladas en el N° 9 del decreto supremo MOP N° 154, de 2018. A mayor abundamiento, cada vez que se mencione el Punto de Cobro Free Flow de la Plaza de Peaje Nueva Angostura deberá entenderse aplicado también a los puntos de cobro Free Flow del proyecto "Implementación Sistema Free Flow en Acceso Sur a Santiago".
8. Establécese que los requerimientos y condiciones mínimas que deberá cumplir el sistema electrónico de cobro en modalidad Free Flow del proyecto "Implementación Sistema Free Flow en Acceso Sur a Santiago" serán los mismos establecidos en el N° 10 del decreto supremo MOP N° 154, de 2018, a excepción del Estándar Técnico "MOP ST1-1: Sistemas Electrónicos de Cobro y Otras Aplicaciones, Context Marks en Servicio en Concesiones MOP, Ministerio de Obras Públicas, Chile" que debe considerar su versión de Mayo del 2024 y del Estándar Técnico "MOP ST5: Sistemas Electrónicos de Cobro y Otras Aplicaciones, Especificaciones Registro Nacional de Usuario de Telepeaje, Ministerio de Obras Públicas, Chile" que debe considerar su versión de Noviembre del 2019. Adicionalmente, se debe cumplir lo establecido en Estándar Técnico "MOP ST10: Sistemas Electrónicos de Cobro y Otras Aplicaciones, Gestión de Infractores, Procedimiento Relación Concesionarios - Inspección Fiscal, Sistema de Telepeaje, Ministerio de Obras Públicas, Chile, versión 1.1 de fecha 10 de enero de 2020". A mayor abundamiento, cada vez que se mencione el Punto de Cobro Free Flow de la Plaza de Peaje Nueva Angostura deberá entenderse aplic ado también a los Puntos de Cobro Free Flow del proyecto "Implementación Sistema Free Flow en Acceso Sur a Santiago".
9. Modifícanse, por razones de interés público, las características de las obras y servicios del contrato de concesión de la obra pública fiscal denominada "Concesión Internacional Ruta 5 Tramo Santiago - Talca y Acceso Sur a Santiago", en el sentido de adecuar las regulaciones contenidas en el decreto supremo MOP N° 329, de 2012, que modificó por razones de interés público las características de las obras y servicios del contrato de concesión y aprobó el Convenio Ad-Referéndum N° 4, de modo de ajustarlas a las demás modificaciones que constan en el presente Decreto Supremo:
a. Modifícanse los requerimientos funcionales y de rendimiento señalados en el N° 1, literal e., en el sentido que para los puntos de cobro del proyecto "Implementación Sistema Free Flow en Acceso Sur a Santiago" serán aplicables los requerimientos y condiciones mínimas que deberá cumplir el Sistema Electrónico de Cobro referidos en el N° 7 y N° 8 del presente decreto supremo.
b. No será aplicable la regulación contenida en el N° 1, literal f., sobre número y disposición de vías con telepeaje para el proyecto "Implementación Sistema Free Flow en Acceso Sur a Santiago".
c. No se aplicará lo indicado en el N° 1, literal g., sobre contrato/convenio de suscripción de uso de telepeaje como medio de pago. En consecuencia, no será necesario que el usuario suscriba con la Sociedad Concesionaria un convenio de uso de las vías de telepeaje para el uso del sistema de cobro electrónico en modalidad Free Flow para los puntos de cobro del proyecto "Implementación Sistema Free Flow en Acceso Sur a Santiago" .
d. Modifícanse la regulación contenida en el literal iv. de la letra h. del N° 1, en el sentido que la Sociedad Concesionaria deberá entregar, dentro de los primeros 15 días del mes siguiente, al Inspector Fiscal de Explotación para su revisión, un reporte mensual de la contactabilidad y de información de reclamos ingresados por clientes por medio de cada uno de los canales de atención dispuestos. Complementariamente, dentro de los primeros 5 días del mes de enero del año siguiente, la Sociedad Concesionaria presentará un reporte de gestión anual de la plataforma de atención de clientes, con un análisis del estado de cumplimiento de los estándares de servicio, con la finalidad de evaluar el servicio prestado y tomar las acciones correctivas pertinentes.
El Inspector Fiscal tendrá un plazo de 15 días para revisar cada uno de los reportes, según corresponda, contado desde la recepción de los mismos. En caso de existir observaciones, la Sociedad Concesionaria tendrá un plazo de 5 días para corregirlas y el Inspector Fiscal tendrá un plazo de 5 días para aprobar o rechazar el respectivo reporte corregido. Este procedimiento será iterativo hasta la aprobación del Inspector Fiscal.
En caso de atraso en la entrega del respectivo reporte, o de las correcciones a éste si las hubiera, se aplicará a la Sociedad Concesionaria una multa de 20 UTM por cada día o fracción de día de atraso, cuya aplicación y pago se regularán según lo establecido en las Bases de Licitación. Los días que emplee el Inspector Fiscal para revisar el respectivo reporte o las correcciones, no serán contabilizados como días de atraso de la Sociedad Concesionaria, para estos efectos.
10. Autorícese, a partir de las 00:00 horas del día siguiente a la fecha de término de la marcha blanca señalada en el numeral 5.1 literal (b) del presente decreto supremo, la operación y habilitación al cobro definitivo de los puntos de cobro Free Flow del proyecto "Implementación Sistema Free Flow en Acceso Sur a Santiago", denominados como Troncal Río Maipo, Troncal Gabriela, Troncal Tocornal, los cuales reemplazarán a las plazas de peaje Troncal Río Maipo, Lateral Gabriela Oriente o Poniente y Lateral Tocornal Oriente o Poniente.
En virtud de lo anterior, se deja constancia que: i) cualquier referencia a la Plaza de Peaje Troncal Río Maipo deberá entenderse realizada al punto de cobro Troncal Río Maipo, ii) cualquier referencia a la Plaza de Peaje lateral Gabriela Oriente o Poniente deberá entenderse realizada al punto de cobro Troncal Gabriela y iii) cualquier referencia a la Plaza de Peaje Lateral Tocornal Oriente o Poniente deberá entenderse realizada al punto de cobro Troncal Tocornal.
11. Establécese que a partir de las 00:00 horas del día siguiente a la fecha en que finalice la marcha blanca señalada en el numeral 5.1 literal (b) del presente decreto supremo, regirán las siguientes regulaciones para los puntos de cobro Troncal Río Maipo, Troncal Gabriela y Troncal Tocornal:
11.1 Tarifas
Las tarifas bases máximas que podrá cobrar la Sociedad Concesionaria en cada uno de los nuevos puntos de cobro, expresadas en pesos chilenos de noviembre de 2024, serán las siguientes:
Cuadro N° 1

11.2 Ajuste Tarifario
Las Tarifas Base Máximas señaladas en el numeral 11.1 anterior, se reajustarán anualmente conforme a la siguiente expresión:

donde :
ti: Año calendario t de operación del punto de cobro y tipo de vehículo i, desde el año en que se habiliten al cobro. En ese sentido, para el año en que se habiliten al cobro los Puntos de Cobro t será igual a 1.
P ti : Tarifa Base Máxima reajustada para el año calendario t de operación, redondeada a la unidad más cercana, para cada punto de cobro y tipo de vehículo.
IPC 0 : Es la variación, en fracción, del Índice de Precios al Consumidor entre noviembre 2024 y noviembre del año anterior a aquel en que se habiliten al cobro los Puntos de Cobro, publicado por el Instituto Nacional de Estadísticas (INE).
IPC t-1 : Para valores de t mayores que 1, es la variación, en fracción, del Índice de Precios al Consumidor entre la fecha del último reajuste tarifario y noviembre del año t-1 de operación publicado por el INE. En el caso que dicho indicador deje de existir como índice relevante de reajustabilidad de costos, se aplicará el mecanismo que lo reemplace.
Las Tarifas Base Máximas reajustadas regirán entre el 1 de enero y el 31 de diciembre de cada año de operación del punto de cobro correspondiente. Para el año en que se habiliten al cobro los puntos de cobro, las respectivas Tarifas Base Máximas reajustadas regirán entre el día en que dichos puntos de cobro sean habilitados y el 31 de diciembre de ese año.
Se deja constancia que una vez que la Sociedad Concesionaria esté facultada para iniciar el cobro de las tarifas en los puntos de cobro Free Flow del proyecto "Implementación Sistema Free Flow en Acceso Sur a Santiago", se eliminará el cobro de las casetas manuales denominadas plaza de peaje Troncal Río Maipo, plazas de peajes laterales Tocornal Oriente, Tocornal Poniente, Gabriela Oriente y Gabriela Poniente.
11.3 Se modifica, para los puntos de cobro Troncal Río Maipo, Troncal Gabriela y Troncal Tocornal, la regulación establecida en el numeral 5.4.1 del Convenio Ad-Referéndum N° 7, de 2017, en el sentido que se adicionarán a las tarifas previamente reajustadas, de conformidad al procedimiento establecido en el numeral 11.2 anterior, los montos señalados en el Cuadro N° 2 siguiente:
Cuadro N° 2:

La adición antes señalada se aplicará cada tres años para el punto de cobro Troncal Río Maipo a partir del 1 de enero de 2028; y cada cuatro años para los puntos de cobro Troncal Gabriela y Troncal Tocornal a partir del 1 de enero de 2029.
12. Establécese que los valores definitivos que reconocerá el MOP por concepto de las modificaciones a las características de las obras y servicios dispuestas en el presente decreto supremo, serán los siguientes:
12.1 El monto total y definitivo, acordado a suma alzada, por concepto del desarrollo d el proyecto de ingeniería denominado "PID Obras Civiles para Implementación Sistema Free Flow en Acceso Sur a Santiago" , se fijó en la cantidad única y total de UF 6.488 (seis mil cuatrocientas ochenta y ocho Unidades de Fomento), neta de IVA, de conformidad a lo dispuesto en el numeral 7.1 de la resolución DGC (exenta) N° 108, de fecha 5 de diciembre de 2024.
12.2 El monto total y definitivo, acordado a suma alzada, por concepto de administración y control del desarrollo del proyecto de ingeniería denominado "PID Obras Civiles para Implementación Sistema Free Flow en Acceso Sur a Santiago" , se fijó en la cantidad única y total de UF 1.211,20 (mil doscientas once coma veinte Unidades de Fomento), neta de IVA, de conformidad a lo dispuesto en el numeral 7.2 de la resolución DGC (exenta) N° 108, de fecha 5 de diciembre de 2024.
12.3 El monto total y definitivo, acordado a suma alzada, por concepto de la ejecución de las obras denominadas " Obras Civiles para Implementación Sistema Free Flow en Acceso Sur a Santiago ", se fijó en la cantidad única y total de UF 182.534,31 (ciento ochenta y dos mil quinientas treinta y cuatro coma treinta y una Unidades de Fomento), neta de IVA, de conformidad a lo dispuesto en el numeral 7.3 de la resolución DGC (exenta) N° 108, de fecha 5 de diciembre de 2024. Se deja const ancia que la ejecución de las " Obras Civiles para Implementación Sistema Free Flow en Acceso Sur a Santiago " comprende, además, las obligaciones establecidas en la Fase 3 del numeral 5.1 literal (c) del presente decreto supremo.
12.4 El monto total y definitivo, acordado a suma alzada, por concepto de la adquisición, desarrollo, implementación y habilitación del "Equipamiento Tecnológico para Implementación Sistema Free Flow en Acceso Sur a Santiago", se fijó en la cantidad única y total de UF 82.824,09 (ochenta y dos mil ochocientas veinticuatro coma cero nueve Unidades de Fomento), neta de IVA, de conformidad a lo dispuesto en el numeral 7.4 de la resolución DGC (exenta) N° 108, de fecha 5 de diciembre de 2024.
12.5 El monto total y definitivo, acordado a suma alzada, por concepto de administración y control de la ejecución de las obras denominadas " Obras Civiles para Implementación Sistema Free Flow en Acceso Sur a Santiago ", se fijó en la cantidad única y total de UF 5.457,71 (cinco mil cuatrocientas cincuenta y siete coma setenta y una Unidades de Fomento), neta de IVA, de conformidad a lo dispuesto en el numeral 7.5 de la resolución DGC (exenta) N° 108, de fecha 5 de diciembre de 2024.
12.6 El monto total y definitivo, acordado a suma alzada, por concepto de administración y control de la adquisición, desarrollo, implementación y habilitación del "Equipamiento Tecnológico para Implementación Sistema Free Flow en Acceso Sur a Santiago", se fijó en la cantidad única y total de UF 6.625,44 (seis mil seiscientas veinticinco coma cuarenta y cuatro Unidades de Fomento), neta de IVA, de conformidad a lo dispuesto en el numeral 7.6 de la resolución DGC (exenta) N° 108, de fecha 5 de diciembre de 2024.
12.7 Los montos totales, anuales y definitivos, acordados a suma alzada, por concepto del diferencial de costos de conservación, mantención y seguros de Responsabilidad Civil por Daños a Terceros y de Catástrofe de las obras denominadas " Obr as Civiles para Implementación Sistema Free Flow en Acceso Sur a Santiago ", se fijaron en las cantidades únicas, totales y anuales, expresadas en Unidades de Fomento, netas de IVA, indicadas en la Tabla N° 3 siguiente, de conformidad a lo dispuesto en el numeral 7.7 de la resolución DGC (exenta) N° 108, de fecha 5 de diciembre de 2024:
Tabla N° 3:
2025 UF 5.487
2026 UF 5.652
2027 UF 5.821
2028 UF 5.996
2029 UF 6.176
2030 UF 6.361
2031 UF 6.552
2032 UF 6.748
2033 UF 6.951
2034 UF 7.159
2035 UF 7.374
12.8 Los montos totales, anuales y definitivos, acordados a suma alzada, por concepto del diferencial de costos de conservación, mantención y seguros de Responsabilidad Civil por Daños a Terceros y de Catástrofe del "Equipamiento Tecnológico para Implementación Sistema Free Flow en Acceso Sur a Santiago", con excepción de la conservación mayor que se indica en el numeral 12.9 siguiente, se fijaron en las cantidades únicas, totales y anuales, expres adas en Unidades de Fomento, netas de IVA, a favor del MOP, indicadas en la Tabla N° 4 siguiente, de conformidad a lo dispuesto en el numeral 7.8 de la resolución DGC (exenta) N° 108, de fecha 5 de diciembre de 2024:
Tabla N° 4:
2025 UF 2.544
2026 UF 2.635
2027 UF 2.729
2028 UF 2.826
2029 UF 2.926
2030 UF 3.028
2031 UF 3.134
2032 UF 3.243
2033 UF 3.355
2034 UF 3.471
2035 UF 3.590
12.9 Los montos totales, anuales y definitivos, acordados a suma alzada, por concepto del diferencial de conservación mayor del "Equipamiento Tecnológico para Implementación Sistema Free Flow en Acceso Sur a Santiago", se fijaron en las cantidades únicas, totales y anuales, expresadas en Unidades de Fomento, netas de IVA, de UF 22.689 (veintidós mil seiscientas ochenta y nueve Unidades de Fomento) para el año 2030; y de UF 25.537 (veinticinco mil quinientas treinta y siete Unidades de Fomento) para el año 2035, de conformidad a lo dispuesto en el numeral 7.9 de la resolución DGC (exenta) N° 108, de fecha 5 de diciembre de 2024. Se deja constancia que para los otros años no se consideran obras de conservación mayor del "Equipamiento Tecnológico para Implementación Sistema Free Flow en Acceso Sur a Santiago".
12.10 Los montos totales, anuales y definitivos, acordados a suma alzada, por concepto del diferencial de costos de explotación y operación de los puntos de cobro del proyecto "Implementación Sistema Free Flow en Acceso Sur a Santiago", con excepción de la reposición por vida útil que se indica en el numeral 12.11 siguiente, se fijaron en las cantidades únicas, totales y anuales, expresadas en Unidades de Fomento, netas de IVA, indicadas en la Tabla N° 5 siguiente, de conformidad a lo dispuesto en el numeral 7.10 de la resolución DGC (exenta) N° 108, de fecha 5 de diciembre de 2024:
Tabla N° 5:
2025 UF 28.146
2026 UF 31.043
2027 UF 34.262
2028 UF 39.557
2029 UF 44.510
2030 UF 50.608
2031 UF 55.684
2032 UF 62.948
2033 UF 63.357
2034 UF 71.207
2035 UF 78.208
12.11 El monto máximo total por concepto de reposición por vida útil del "Equipamiento Tecnológico para Implementación Sistema Free Flow en Acceso Sur a Santiago" en el año 2035, se fijó en la cantidad de UF 125.000 (ciento veinticinco mil Unidades de Fomento), neta de IVA, de conformidad a lo dispuesto en el numeral 7.11 de la resolución DGC (exenta) N° 108, de fecha 5 de diciembre de 2024, la que se reconocerá según su valor proforma, es decir, según los desembolsos que efectivamente realice la Sociedad Concesionaria por este concepto, los que deberán ser acreditados por la Sociedad Concesionaria al Inspector Fiscal mediante las boletas o facturas y comprobantes de pago correspondientes.
12.12 El monto máximo total por concepto de Seguros de Responsabilidad Civil por Daños a Terceros y de Catástrofe durante la ejecución de las obras denominadas "Obras Civiles para Implementación Sistema Free Flow en Acceso Sur a Santiago" y la adquisición e implementación del "Equipamiento Tecnológico para Implementación Sistema Free Flow en Acceso Sur a Santiago", se fijó en la cantidad de UF 2.000 (dos mil Unidades de Fomento), neta de IVA, de conformidad a lo dispuesto en el numeral 7.12 de la resolución DGC (exenta) N° 108, de fecha 5 de diciembre de 2024, la que se reconocerá según su valor proforma, es decir, según los desembolsos que efectivamente ha realizado o realice la Sociedad Concesionaria por este concepto, los que deberán ser acreditados por la Sociedad Concesionaria al Inspector Fiscal mediante las boletas o facturas y comprobantes de pago correspondientes.
12.13 El monto máximo total por concepto del costo de las Boletas Bancarias de Garantía durante la ejecución de obras denominadas "Obras Civiles para Implementación Sistema Free Flow en Acceso Sur a Santiago" y la adquisición, desarrollo, implementación y habilitación del "Equipamiento Tecnológ ico para Implementación Sistema Free Flow en Acceso Sur a Santiago", se fijó en la cantidad de UF 250 (doscientas cincuenta Unidades de Fomento), neta de IVA, de conformidad a lo dispuesto en el numeral 7.13 de la resolución DGC (exenta) N° 108, de fecha 5 de diciembre de 2024, la que se reconocerá según su valor proforma, es decir, según los desembolsos que efectivamente ha realizado o realice la Sociedad Concesionaria por este concepto, los que deberán ser acreditados por la Sociedad Concesionaria al Inspector Fiscal mediante las boletas o facturas y comprobantes de pago correspondientes.
12.14 El monto máximo total por concepto del desarrollo e implementación del Plan Comunicacional se fijó en la cantidad de UF 10.000 (diez mil Unidades de Fomento), neta de IVA, de conformidad a lo dispuesto en el numeral 7.14 de la resolución DGC (exenta) N° 108, de fecha 5 de diciembre de 2024, la que se reconocerá según su valor proforma, es decir, según los desembolsos que efectivamente ha realizado o realice la Sociedad Concesionaria por este concepto, los que deberán ser acreditados por la Sociedad Concesionaria al Inspector Fiscal mediante las correspond ientes boletas o facturas y comprobantes de pago correspondientes.
12.15 El monto máximo total por concepto de la implementación de medidas ambientales y/o territoriales no previstas, se fijó en la cantidad de UF 4.000 (cuatro mil Unidades de Fomento), neta de IVA, de conformidad a lo dispuesto en el numeral 7.15 de la resolución DGC (exenta) N° 108, de fecha 5 de diciembre de 2024, la que se reconocerá según su valor proforma, es decir, según los desembolsos que efectivamente ha realizado o realice la Sociedad Concesionaria por este concepto, previa aprobación del Inspector Fiscal del presupuesto que se le presentare, de acuerdo al procedimiento establecido en el numeral 3.2 del presente decreto supremo.
12.16 El monto máximo por concepto de los costos en que hubiera incurrido o deba incurrir la Sociedad Concesionaria para financiar los análisis técnicos, legales y de negocios que requieran sus garantes, así como las comisiones y demás gastos asociados a la estructuración del financiamiento y requerimientos de los financistas, exclusivamente para las materias tratadas en la resolución DGC (exenta) N° 108, de fecha 5 de diciembre de 2024 y en el presente decreto supremo, se fijó en la cantidad de UF 60.000 (sesenta mil Unidades de Fomento), neta de IVA, de conformidad a lo dispuesto en el numeral 7.16 de la resolución DGC (exenta) N° 108, de fecha 5 de diciembre de 2024, la que se reconocerá, según su valor proforma, es decir, según los desembolsos que efectivamente ha realizado o realice la Sociedad Concesionaria por este concepto, los que deberán ser acreditados por la Sociedad Concesionaria al Inspector Fiscal mediante las boletas y/o facturas correspondientes, los respectivos comprobantes de pago y demás documentos de respaldo que permitan acreditar dicho concepto. El Inspector Fiscal deberá remitir los antecedentes que acrediten los desembolsos al departamento técnico respectivo de la Dirección General de Concesiones de Obras Públicas, para que éste emita su opinión técnica fundada, la cual será uno de los elementos que deberá considerar el Inspector Fiscal en su revisión y posterior aprobación de los antecedentes antes citados.
13. Déjase constancia que los plazos de días establecidos en el presente decreto supremo, que vencieren en día inhábil, se prorrogarán hasta el día hábil siguiente. Para estos efectos se entiende que son días hábiles los días lunes a viernes, a excepción de los días festivos.
14. Establécese que el Impuesto al Valor Agregado (IVA) que soportare la Sociedad Concesionaria, en relación con las modificaciones de las características de las obras y servicios a que se refiere el presente decreto supremo, recibirá el mismo tratamiento que contempla el artículo 1.11.6 de las Bases de Licitación para dicho impuesto, en relación con las restantes obras del contrato de concesión. Esto sin perjuicio de las facultades del Servicio de Impuestos Internos.
15. Déjase constancia que las modificaciones de que trata el presente decreto supremo no modifican ninguno de los demás plazos ni obligaciones del contrato de concesión.
16. Déjase constancia que mediante Carta G.G N° 198/2025, de fecha 19 de noviembre de 2025, la Sociedad Concesionaria manifestó su acuerdo respecto a las modificaciones a las características de las obras y servicios del contrato de concesión informada por el Inspector Fiscal en el "Modelo de decreto supremo que se dictará al efecto" que se adjunta a su oficio Ord. N° 22.402, en las condiciones, montos, plazos y términos ahí estipulados, atendido lo dispuesto en el inciso segundo del artículo 19° del decreto supremo MOP N° 900, de 1996, que fija el texto de la Ley de Concesiones de Obras Públicas y ratificó que no existen perjuicios adicionales, distintos de las valorizaciones y conceptos que se indican en el "Modelo de decreto supremo que se dictará al efecto" que se adjunta en el oficio Ord. N° 22.402 del Inspector Fiscal, que deban ser indemnizados por el MOP y que, por tanto, en el convenio que al efecto suscribirán las partes, que establezca las modalidades de compensación por los conceptos indicados en el Oficio antes señalado, la Sociedad Concesionaria renunciará expresamente a cualquier derecho o acción que pudiera haberle correspondido en relación con las modificaciones informadas en el citado Oficio y que se disponen en el presente decreto supremo. Lo anterior, sujeto a la condición de que dichas compensaciones y demás obligaciones que resulten para el MOP en favor de la Sociedad Concesionaria se cumplan por aquél en tiempo y forma.
17. Apruébase el Convenio Ad-Referéndum N° 11 del Contrato de Concesión de la obra pública fiscal denominada "Concesión Internacional Ruta 5 Tramo Santiago - Talca y Acceso Sur a Santiago", de fecha 26 de noviembre de 2025, celebrado entre la Dirección General de Concesiones Obras Públicas, representada por su Director General (S), don Claudio Soto Cárdenas, y "Ruta del Maipo Sociedad Concesionaria S.A.", debidamente representada por don Miguel Carrasco Rodríguez y por don Andrés Contreras Herrera, cuyo texto es el siguiente:
CONVENIO AD-REFERÉNDUM N° 11
DEL CONTRATO DE CONCESIÓN DE LA OBRA PÚBLICA FISCAL
DENOMINADA
"CONCESIÓN INTERNACIONAL RUTA 5 TRAMO SANTIAGO - TALCA Y ACCESO SUR A SANTIAGO"
En Santiago de Chile, a 26 días del mes de noviembre de 2025, entre la Dirección General de Concesiones de Obras Públicas, representada por su Director General (S), don Claudio Soto Cárdenas , ambos domiciliados para estos efectos en calle Morandé N° 115, piso 11, comuna y ciudad de Santiago, en adelante el "MOP"; y Ruta del Maipo Sociedad Concesionaria S.A., titular del contrato de concesión de la obra pública fiscal denominada "Concesión Internacional Ruta 5 Tramo Santiago-Talca y Acceso Sur a Santiago", RUT N° 96.875.230-8, representada por don Miguel Carrasco Rodríguez, cédula de identidad N° 7.398.910-8, y por Andrés Contreras Herrera, cédula de identidad N° 12.466.899-9, todos domiciliados para estos efectos en Avda. Cerro El Plomo N° 5630, piso 10, comuna de Las Condes, de la ciudad de Santiago, en adelante la "Sociedad Concesionaria", se ha pactado el siguiente Convenio Ad-Referéndum que consta de las cláusulas que a continuación se expresan:
PRIMERO : ANTECEDENTES Y FUNDAMENTOS DEL PRESENTE CONVENIO AD- REFERÉNDUM.
1.1 "Ruta del Maipo Sociedad Concesionaria S.A." es titular del Contrato de Concesión de la obra pública fiscal denominada "Concesión Internacional Ruta 5 Tramo Santiago - Talca y Acceso Sur a Santiago", adjudicada por decreto supremo MOP N° 859, de fecha 30 de junio de 1998, en adelante el "Contrato de Concesión".
1.2 Los artículos 19º de la Ley de Concesiones de Obras Públicas y 69º de su Reglamento, establecen que el Ministerio de Obras Públicas, desde que se perfeccione el Contrato, podrá modificar, por razones de interés público, las características de las obras y servicios contratados, debiendo compensar al concesionario con las indemnizaciones necesarias en caso de perjuicio, acordando con aquél indemnizaciones que podrán expresarse en el plazo de la concesión, en las tarifas, en los aportes o subsidios o en otros factores del régimen económico de la concesión pactados, pudiendo utilizar uno o varios factores a la vez. El artículo 69° N° 4 del Reglamento agrega que el Director General de Obras Públicas, con el Visto Bueno del Ministro de Obras Públicas y del Ministro de Hacienda, por razones de urgencia, podrá exigir la modificación de las características de las obras y servicios contratados desde el momento que lo estime conveniente, aunque esté pendiente la determinación sobre la indemnización.
1.3 El Sistema de Telepeaje en actual operación en las autopistas urbanas de la ciudad de Santiago e implementado en las Plazas de Peaje Nueva Angostura y Troncal Quinta del contrato de concesión de la obra pública fiscal denominada "Concesión Internacional Ruta 5 Tramo Santiago - Talca y Acceso Sur a Santiago", de conformidad a lo dispuesto en el decreto supremo MOP N° 154, de fecha 26 de diciembre de 2018, y decreto supremo MOP N° 125, de fecha 22 de julio de 2022, ha demostrado ser un sistema altamente eficiente y confiable, especialmente considerando la tecnología de punta que utiliza y la versatilidad e interoperabilidad que presentan los dispositivos TAG's o transponders (también denominados indistintamente como Televías), los que pueden ser utilizados en todas las concesiones que conforman el Sistema Interoperable.
1.4 En atención al considerable aumento del flujo vehicular, el cual ha sobrepasado con creces los utilizados en el diseño para los niveles de servicio esperados, y con el propósito de brindar un mejor estándar de servicio a los usuarios que circulan por la Plaza de Peaje Troncal Río Maipo y las Plazas de Peaje Laterales Tocornal y Gabriela, en sentido oriente y poniente, el MOP estimó de interés público implementar en las plazas antes señaladas, puntos de cobro bajo la modalidad de flujo libre conocida como Free Flow, que evite la detención del vehículo y sea compatible con las tecnologías que operan en las autopistas urbanas de la ciudad de Santiago y con los proyectos implementados en las Plazas de Peaje Nueva Angostura y Troncal Quinta, proyecto que será denominado como "Implementación Sistema Free Flow en Acceso Sur a Santiago". Para que se lleve a cabo lo señalado anteriormente, era urgente contar, a la mayor brevedad, con la ingeniería en virtud de la cual se podría determinar la infraestructura requerida y con la adquisición y desarrollo del equipamiento tecnológico.
1.5 En virtud de lo anterior, el MOP dictó la resolución DGC (exenta) N° 108, de fecha 5 de diciembre de 2024, la cual será sancionada mediante el decreto supremo que apruebe el presente Convenio, que modificó las características de las obras y servicios del contrato de concesión, en el sentido que "Ruta del Maipo Sociedad Concesionaria S.A." asumió la obligación de: a) desarrollar el proyecto de ingeniería denominado "PID Obras Civiles para Implementación Sistema Free Flow en Acceso Sur a Santiago", b) ejecutar, conservar, mantener, operar y explotar las obras denominadas "Obras Civiles para Implementación Sistema Free Flow en Acceso Sur a Santiago", que deriven del proyecto de ingeniería señalado en el literal a) anterior, y que sea aprobado por el Inspector Fiscal, y c) adquirir, desarrollar, implementar, habilitar, conservar, mantener, operar y explotar el "Equipamiento Tecnológico para Implementación Sistema Free Flow en Acceso Sur a Santiago".
1.6 Mediante oficio Ord. N° 22.147, de fecha 2 de septiembre de 2025, el Inspector Fiscal aprobó la Fase 2 señalada en el numeral 5.1 literal (b) de la resolución DGC (exenta) N° 108, de 2024, dando por iniciado el periodo de marcha blanca, durante el cual los usuarios que circulaban por la Plaza de Peaje Troncal Río Maipo y las Plazas de Peaje Laterales Tocornal y Gabriela debían pagar las tarifas en dichas plazas manuales. Una vez verificada la correcta identificación de los vehículos bajo el pórtico Troncal Río Maipo, el MOP ha estimado de interés público y urgencia modificar las características de las obras y servicios del contrato de concesión en el sentido de complementar dicha marcha blanca para el Troncal Río Maipo, para los efectos de iniciar el cobro bajo la modalidad de Free Flow, con acceso universal y con las mismas tarifas que la Sociedad Concesionaria está autorizada a cobrar en dicha plaza de peaje. Lo anterior serviría, además, para alivianar la congestión vehicular en la plaza de peaje Troncal Río Maipo comenzando desde las festividades de fiestas patrias al evitar que los vehículos se detuviesen para el pago del peaje.
1.7 En virtud de lo señalado en el numeral 1.6 anterior, el MOP dictó la resolución DGC (exenta) N° 131, de fecha 12 de septiembre de 2025, la cual será sancionada mediante el decreto supremo que apruebe el presente convenio, que modificó las características de las obras y servicios del contrato de concesión, en el sentido que reemplazó la regulación contenida en el segundo párrafo del numeral 5.1 literal (b) de la resolución DGC (exenta) N° 108, de 2024, e incorporó una nueva regulación como segundo párrafo en el numeral 5.1 literal (c) de la resolución DGC (exenta) N° 108, de 2024.
1.8 Dado lo señalado en los considerandos anteriores, el MOP ha estimado de interés público modificar las características de las obras y servicios del contrato de concesión en el sentido de establecer los requerimientos para la habilitación al cobro definitivo de los nuevos puntos de cobro del Troncal Río Maipo, Troncal Gabriela y Troncal Tocornal que se exigirán para regular la relación de la Sociedad Concesionaria con los usuarios que transitan por dichos puntos de cobro, así como las obligaciones y condiciones mínimas que deberá cumplir el sistema electrónico de cobro para comenzar su funcionamiento, incorporando de esta forma todas aquellas regulaciones necesarias para el correcto funcionamiento del proyecto denominado "Implementación Sistema Free Flow en Acceso Sur a Santiago".
1.9 De acuerdo al mérito del trabajo de coordinación que se ha venido realizando sobre esta materia, mediante oficio Ord. N° 22.402, de fecha 11 de noviembre de 2025, el Inspector Fiscal informó a la Sociedad Concesionaria que, de conformidad a lo dispuesto en los artículos 19° de la Ley de Concesiones de Obras Públicas y 69° de su Reglamento, el MOP modificará las características de las obras y servicios del contrato de concesión, en el sentido de incorporar las regulaciones que permitan la habilitación al cobro, los requerimientos que se exigirán para regular la relación de la Sociedad Concesionaria con los usuarios de los puntos de cobro, así como las obligaciones y condiciones mínimas que deberá cumplir el sistema electrónico de cobro.
Para efectos de lo anterior, mediante el Oficio antes señalado el Inspector Fiscal solicitó a la Sociedad Concesionaria ratificar expresamente su acuerdo con las modificaciones a las características de las obras y servicios del contrato de concesión, informadas en el "Modelo de decreto supremo que se dictará al efecto" adjunto al oficio Ord. N° 22.402, en los términos, plazos, condiciones y valorizaciones que se señalan en el citado "Modelo de decreto supremo que se dictará al efecto"; y ratificar que en el convenio que al efecto suscribirán las partes, que establezca las modalidades de compensación que se deriven de las modificaciones indicadas en el "Modelo de decreto supremo que se dictará al efecto" adjunto al oficio Ord. N° 22.402, la Sociedad Concesionaria renunciará expresamente a cualquier derecho o acción que pudiera haberle correspondido en relación con las modificaciones informadas en el citado Oficio.
1.10 Mediante Carta G.G N° 198/2025, de fecha 19 de noviembre de 2025, la Sociedad Concesionaria ratificó expresamente su acuerdo con las modificaciones informadas por el Inspector Fiscal en el "Modelo de decreto supremo" adjunto al oficio Ord. N° 22.402, en los términos, plazos, condiciones y valorizaciones que allí se indican, y ratificó que, si en el convenio que al efecto suscribirán las partes, se establecen las modalidades de compensación que se deriven de las modificaciones informadas en el "Modelo de decreto supremo que se dictará al efecto" adjunto al oficio Ord. N° 22.402 del Inspector Fiscal, la Sociedad Concesionaria renunciará expresamente a cualquier derecho o acción que pudiera haberle correspondido en relación con las modificaciones informadas en el citado Oficio; todo lo anterior sujeto a la condición de que tanto las compensaciones como las demás obligaciones del MOP sean cumplidas en tiempo y forma.
1.11 La Sociedad Concesionaria, en virtud de los antecedentes y fundamentos enunciados, y conforme prescribe el artículo 19° de la Ley de Concesiones de Obras Públicas, ha convenido con el Ministerio de Obras Públicas las cláusulas que en el presente convenio se indican.
1.12 Forma parte del presente Convenio Ad-Referéndum N° 11 los siguientes anexos, que se adjuntan a éste:
. Anexo N° 1:Ejemplo numérico sobre el avance acumulado y actualizado de las inversiones, gastos, costos y ahorros según numeral 5.1.1 del presente convenio.
. Anexo N° 2:Ejemplo numérico de la contabilización mensual de las inversiones, gastos, costos y ahorros según numeral 5.1.2 del presente convenio.
. Anexo N° 3:Procedimiento para el cálculo mensual del desfase de los ingresos.
SEGUNDO : VALORIZACIÓN DE LOS PERJUICIOS CAUSADOS POR LAS NUEVAS INVERSIONES.
Para compensar a la Sociedad Concesionaria por los perjuicios causados por las modificaciones de las características de las obras y servicios del Contrato de Concesión a que hace referencia la cláusula primera precedente, el MOP acuerda con la Sociedad Concesionaria las valorizaciones que se detallan a continuación:
2.1 Por concepto del desarrollo d el proyecto de ingeniería denominado "PID Obras Civiles para Implementación Sistema Free Flow en Acceso Sur a Santiago" , se fijó la cantidad única y total, acordada a suma alzada, de UF 6.488 (seis mil cuatrocientas ochenta y ocho Unidades de Fomento), neta de IVA.
2.2 Por concepto de administración y control del desarrollo del proyecto de ingeniería denominado "PID Obras Civiles para Implementación Sistema Free Flow en Acceso Sur a Santiago" , se fijó la cantidad única y total, acordada a suma alzada, de UF 1.211,20 (mil doscientas once coma veinte Unidades de Fomento), neta de IVA.
2.3 Por concepto de la ejecución de las obras denominadas " Obras Civiles para Implementación Sistema Free Flow en Acceso Sur a Santiago ", se fijó la cantidad única y total, acordada a suma alzada, de UF 182.534,31 (ciento ochenta y dos mil quinientas treinta y cuatro coma treinta y una Unidades de Fomento), neta de IVA.
Se deja constancia que la ejecución de las " Obras Civiles para Implementación Sistema Free Flow en Acceso Sur a Santiago " comprende, además, las obligaciones establecidas en l a Fase 3 del numeral 5.1 literal (c) de la resolución DGC (exenta) N° 108, de fecha 5 de diciembre de 2024 .
2.4 Por concepto de la adquisición, desarrollo, implementación y habilitación del "Equipamiento Tecnológico para Implementación Sistema Free Flow en Acceso Sur a Santiago", se fijó la cantidad única y total, acordada a suma alzada, de UF 82.824,09 (ochenta y dos mil ochocientas veinticuatro coma cero nueve Unidades de Fomento), neta de IVA.
2.5 Por concepto de administración y control de la ejecución de las obras denominadas " Obras Civiles para Implementación Sistema Free Flow en Acceso Sur a Santiago ", se fijó la cantidad única y total, acordada a suma alzada, de UF 5.457,71 (cinco mil cuatrocientas cincuenta y siete coma setenta y una Unidades de Fomento), neta de IVA.
2.6 Por concepto de administración y control de la adquisición, desarrollo, implementación y habilitación del "Equipamiento Tecnológico para Implementación Sistema Free Flow en Acceso Sur a Santiago", se fijó la cantidad única y total, acordada a suma alzada, de UF 6.625,44 (seis mil seiscientas veinticinco coma cuarenta y cuatro Unidades de Fomento), neta de IVA.
2.7 Por concepto del diferencial de costos de conservación, mantención y seguros de Responsabilidad Civil por Daños a Terceros y de Catástrofe de las obras denominadas " Obras Civiles para Implementación Sistema Free Flow en Acceso Sur a Santiago ", se fijaron las cantidades definitivas, únicas, totales y anuales, acordadas a suma alzada, netas de IVA, indicadas en la Tabla N° 1 siguiente:
Tabla N° 1:
2025 UF 5.487
2026 UF 5.652
2027 UF 5.821
2028 UF 5.996
2029 UF 6.176
2030 UF 6.361
2031 UF 6.552
2032 UF 6.748
2033 UF 6.951
2034 UF 7.159
2035 UF 7.374
2.8 Por concepto del diferencial de conservación mayor del "Equipamiento Tecnológico para Implementación Sistema Free Flow en Acceso Sur a Santiago", se fijaron las cantidades únicas, totales y anuales, acordadas a suma alzada, netas de IVA, de UF 22.689 (veintidós mil seiscientas ochenta y nueve Unidades de Fomento) para el año 2030; y de UF 25.537 (veinticinco mil quinientas treinta y siete Unidades de Fomento) para el año 2035. Se deja constancia que para los otros años no se consideran obras de conservación mayor del "Equipamiento Tecnológico para Implementación Sistema Free Flow en Acceso Sur a Santiago".
2.9 Por concepto del diferencial de costos de explotación y operación de los puntos de cobro del proyecto "Implementación Sistema Free Flow en Acceso Sur a Santiago", con excepción de la reposición por vida útil que se indica en el numeral 2.10 siguiente, se fijaron las cantidades únicas, totales y anuales, acordadas a suma alzada, netas de IVA, indicadas en la Tabla N° 2 siguiente:
Tabla N° 2:
2025 UF 28.146
2026 UF 31.043
2027 UF 34.262
2028 UF 39.557
2029 UF 44.510
2030 UF 50.608
2031 UF 55.684
2032 UF 62.948
2033 UF 63.357
2034 UF 71.207
2035 UF 78.208
2.10 Por concepto de reposición por vida útil del "Equipamiento Tecnológico para Implementación Sistema Free Flow en Acceso Sur a Santiago" en el año 2035, se fijó la cantidad máxima total de UF 125.000 (ciento veinticinco mil Unidades de Fomento), neta de IVA, la que se reconocerá según su valor proforma, es decir, según los desembolsos que efectivamente realice la Sociedad Concesionaria por este concepto, los que deberán ser acreditados por la Sociedad Concesionaria al Inspector Fiscal mediante las boletas o facturas y comprobantes de pago correspondientes.
2.11 Por concepto de Seguros de Responsabilidad Civil por Daños a Terceros y de Catástrofe durante la ejecución de las obras denominadas "Obras Civiles para Implementación Sistema Free Flow en Acceso Sur a Santiago" y la adquisición e implementación del "Equipamiento Tecnológico para Implementación Sistema Free Flow en Acceso Sur a Santiago", se fijó la cantidad máxima total de UF 2.000 (dos mil Unidades de Fomento), neta de IVA, la que se reconocerá s egún su valor proforma, es decir, según los desembolsos que efectivamente ha realizado o realice la Sociedad Concesionaria por este concepto, los que deberán ser acreditados por la Sociedad Concesionaria al Inspector Fiscal mediante las boletas o facturas y comprobantes de pago correspondientes.
2.12 Por concepto del costo de las Boletas Bancarias de Garantía durante la ejecución de obras denominadas " Obras Civiles para Implementación Sistema Free Flow en Acceso Sur a Santiago " y la adquisición, desarrollo, implementación y habilitación del "Equipamiento Tecnológico para Implementación Sistema Free Flow en Acceso Sur a Santiago", se fijó la cantidad máxima total de UF 250 (doscientas cincuenta Unidades de Fomento), neta de IVA, la que se reconocerá según su valor proforma, es decir, según los desembolsos que efectivamente ha realizado o realice la Sociedad Concesionaria por este concepto, los que deberán ser acreditados por la Sociedad Concesionaria al Inspector Fiscal mediante las boletas o facturas y comprobantes de pago correspondientes.
2.13 Por concepto del desarrollo e implementación del Plan Comunicacional se fijó la cantidad máxima total de UF 10.000 (diez mil Unidades de Fomento), neta de IVA, la que se reconocerá según su valor proforma, es decir, según los desembolsos que efectivamente ha realizado o realice la Sociedad Concesionaria por este concepto, los que deberán ser acreditados por la Sociedad Concesionaria al Inspector Fiscal mediante las correspondientes boletas o facturas y comprobantes de pago correspondientes.
2.14 Por concepto de la implementación de medidas ambientales y/o territoriales no previstas, se fijó la cantidad máxima total de UF 4.000 (cuatro mil Unidades de Fomento), neta de IVA, la que se reconocerá según su valor proforma, es decir, según los desembolsos que efectivamente ha realizado o realice la Sociedad Concesionaria por este concepto, previa aprobación del Inspector Fiscal del presupuesto que se le presentare, de acuerdo al procedimiento establecido en el numeral 3.2 de la resolución DGC (exenta) N° 108, de fecha 5 de diciembre de 2024, la cual será sancionada en el decreto supremo que apruebe el presente convenio.
2.15 Por concepto de los costos en que hubiera incurrido o deba incurrir la Sociedad Concesionaria para financiar los análisis técnicos, legales y de negocios que requieran sus garantes, así como las comisiones y demás gastos asociados a la estructuración del financiamiento y requerimientos de los financistas, exclusivamente para las materias tratadas en la resolución DGC (exenta) N° 108, de fecha 5 de diciembre de 2024 y en el decreto supremo que apruebe el presente convenio, se fijó en la cantidad máxima de UF 60.000 (sesenta mil Unidades de Fomento), neta de IVA, la que se reconocerá, según su valor proforma, es decir, según los desembolsos que efectivamente ha realizado o realice la Sociedad Concesionaria por este concepto, los que deberán ser acreditados por la Sociedad Concesionaria al Inspector Fiscal mediante las boletas y/o facturas correspondientes, los respectivos comprobantes de pago y demás documentos de respaldo que permitan acreditar dicho concepto. El Inspector Fiscal deberá remitir los antecedentes que acrediten los desembolsos al departamento técnico respectivo de la Dirección General de Concesiones de Obras Públicas, para que éste emita su opinión técnica fundada, la cual será u no de los elementos que deberá considerar el Inspector Fiscal en su revisión y posterior aprobación de los antecedentes antes citados.
TERCERO : VALORIZACIÓN DE LOS AHORROS ASOCIADOS A LAS NUEVAS INVERSIONES.
Para compensar al MOP por los ahorros asociados a las modificaciones de las características de las obras y servicios del Contrato de Concesión a que hace referencia la cláusula primera ante precedente, el MOP y la Sociedad Concesionaria acuerdan la valorización que se detalla a continuación:
3.1 Por concepto del diferencial de costos de conservación, mantención y seguros de Responsabilidad Civil por Daños a Terceros y de Catástrofe del "Equipamiento Tecnológico para Implementación Sistema Free Flow en Acceso Sur a Santiago", con excepción de la conservación mayor que se indica en el numeral 2.8 de la cláusula segunda, se fijaron las cantidades definitivas, únicas, totales y anuales, acordadas a suma alzada, netas de IVA, a favor del MOP, indicadas en la Tabla N° 3 siguiente:
Tabla N° 3:
2025 UF 2.544
2026 UF 2.635
2027 UF 2.729
2028 UF 2.826
2029 UF 2.926
2030 UF 3.028
2031 UF 3.134
2032 UF 3.243
2033 UF 3.355
2034 UF 3.471
2035 UF 3.590
CUARTO : REGULACIÓN SOBRE EL IMPUESTO AL VALOR AGREGADO.
El Impuesto al Valor Agregado (IVA) que soportare la Sociedad Concesionaria, en relación con las modificaciones de las características de las obras y servicios del contrato de concesión a que se hace referencia la cláusula primera del presente convenio, recibirá el mismo tratamiento que contempla el artículo 1.11.6 de las Bases de Licitación para dicho impuesto, en relación con las restantes obras del contrato de concesión. Esto sin perjuicio de las facultades del Servicio de Impuestos Internos.
QUINTO: CONTABILIZACIÓN DE LAS NUEVAS INVERSIONES, GASTOS, COSTOS Y AHORROS ASOCIADOS.
Las nuevas inversiones, gastos y costos asociados a las modificaciones de las características de las obras y servicios del contrato de concesión, a que se hace referencia en la cláusula segunda, así como los costos que dejará de soportar la Sociedad Concesionaria, según lo señalado en la cláusula tercera, todo del presente convenio, se contabilizarán en Unidades de Fomento con dos decimales redondeados al segundo decimal, usando para su conversión el valor de dicha unidad fijado para la fecha de reconocimiento de cada monto, señalada en el numeral 5.1.3 del presente convenio.
Esta contabilización quedará registrada en una cuenta denominada "Cuenta de Inversión y Compensación Convenio Ad-Referéndum N° 11" y el sa ldo acumulado en la citada cuenta se actualizará mensualmente a una tasa de interés real mensual compuesta, equivalente a una tasa real anual de 6,08%.
5.1 Para la contabilización de las inversiones, costos y gastos asociados, netos de IVA, señalados en la cláusula segunda y para la contabilización de los ahorros establecidos en la cláusula tercera, se procederá de la siguiente manera:
5.1.1 Dentro de los primeros 10 días del mes siguiente a la entrada en vigencia del presente convenio, la Sociedad Concesionaria presentará al Inspector Fiscal un informe que contenga un detalle de los montos de inversión, gastos, costos y ahorros señalados en los numerales 2.1 a 2.15 y 3.1 del presente convenio, netos de IVA, que deban ser reconocidos hasta el último día del mes anterior a la presentación de dicho informe, en virtud de lo dispuesto en el numeral 5.1.3 del presente convenio.
El informe antes señalado deberá incluir, para cada monto, el cálculo de los intereses devengados mensualmente desde la fecha de reconocimiento de cada monto hasta el último día del mes anterior a la entrega del informe materia del presente numeral 5.1.1, y del avance acumulado y actualizado hasta esa fecha, considerando para ello la tasa de interés real mensual compuesta, equivalente a una tasa real anual de 6,08%.
El Inspector Fiscal tendrá un plazo de 10 días hábiles para revisar y aprobar u observar el informe y documentos de respaldo presentados. En caso de que el informe y/o documentos sean observados por el Inspector Fiscal, la Sociedad Concesionaria tendrá un plazo de 5 días para entregar el informe y/o documentos corregidos y el Inspector Fiscal tendrá 5 días para aprobar o rechazar el informe y/o documentos corregidos. El procedimiento antes señalado será iterativo hasta que el Inspector Fiscal apruebe el informe, sin perjuicio de dar su aprobación a aquella parte no observada y contabilizar la parte del informe sobre la que no haya una disconformidad. Una vez resuelta la parte del informe sobre la cual no existía conformidad, ésta será contabilizada con la fecha que hubiere correspondido de no haberse presentado la disconformidad.
En caso de que la Sociedad Concesionaria no presentare el informe singularizado en el presente numeral y/o sus correcciones dentro de los plazos establecidos, se aplicará a la Sociedad Concesionaria una multa de 5 UTM, por cada día o fracción de día de atraso, cuya aplicación y pago se regularán según lo establecido en las Bases de Licitación.
El monto informado por la Sociedad Concesionaria y aprobado por el Inspector Fiscal según el procedimiento descrito en el presente numeral 5.1.1, correspondiente al avance acumulado y actualizado hasta el último día del mes anterior a la entrega del informe materia del presente numeral 5.1.1, se contabilizará, por única vez, con el signo que corresponda, en la "Cuenta de Inversión y Compensación Convenio Ad-Referéndum N° 11", con fecha del último día del mes anterior a la entrega del informe que trata el presente numeral 5.1.1.
Para una mejor comprensión del procedimiento señalado en el presente numeral, se adjunta un ejemplo numérico como Anexo N° 1 al presente convenio.
Se deja constancia que en el caso de que la Sociedad Concesionaria no incluya en el informe que trata el presente numeral 5.1.1 algún monto que deba ser reconocido, de acuerdo con los términos señalados en el numeral 5.1.3 subsiguiente, con excepción del concepto que se indica en el numeral 5.1.3.16, dicho monto deberá ser incorporado en alguno de los informes a que hace referencia el numeral 5.1.2 siguiente y, en consecuencia, se contabilizará en la "Cuenta de Inversión y Compensación Convenio Ad-Referéndum N° 11", por única vez, con signo negativo, con fecha del último día del mes anterior a la entrega del informe que trata el numeral 5.1.2 siguiente, en el cual se incorpore dicho monto de inversión.
Por su parte, en el evento que la Sociedad Concesionaria no incluya en el informe que trata el presente numeral 5.1.1 algún monto que deba ser reconocido, de acuerdo con los términos señalados en el numeral 5.1.3.16 del presente convenio, dicho monto deberá ser contabilizado directamente por el Inspector Fiscal, por única vez, con signo positivo, en la "Cuenta de Inversión y Compensación Convenio Ad-Referéndum N° 11", con fecha del último día del mes anterior a la entrega del informe que trata el presente numeral 5.1.1, considerando el cálculo de los intereses devengados desde la fecha de reconocimiento indicada en el referido numeral y hasta el último día del mes anterior a la entrega del citado informe.
5.1.2 A partir del mes subsiguiente a la entrada en vigencia del presente convenio, dentro de los primeros 10 días hábiles de cada mes calendario, la Sociedad Concesionaria deberá presentar al Inspector Fiscal un informe que contenga un detalle de los montos de inversión, gastos, costos y ahorros que se individualizan en los numerales 2.1 a 2.15 y 3.1 del presente convenio, netos de IVA, que deban ser reconocidos en el mes anterior a la entrega del citado informe, en virtud de lo dispuesto en el numeral 5.1.3 del presente convenio. Dicho informe deberá contener un detalle de todas las inversiones, gastos, costos y ahorros que hayan sido ejecutados, desembolsados y percibidos, según corresponda, durante el mes anterior, determinado sobre la base de lo señalado en las cláusulas segunda y tercera.
El Inspector Fiscal tendrá un plazo de 10 días hábiles para revisar y aprobar u observar el informe y documentos de respaldo presentados. En caso de que el informe y/o documentos sean observados por el Inspector Fiscal, la Sociedad Concesionaria tendrá un plazo de 5 días para entregar el informe y/o documentos corregidos y el Inspector Fiscal tendrá 5 días para aprobar o rechazar el informe y/o documentos corregidos. El procedimiento antes señalado será iterativo hasta que el Inspector Fiscal apruebe el informe, sin perjuicio de dar su aprobación a aquella parte no observada y contabilizar la parte del informe sobre la que no haya una disconformidad. Una vez resuelta la parte del informe sobre la cual no existía conformidad, ésta será contabilizada con la fecha que hubiere correspondido de no haberse presentado la disconformidad.
En caso de que la Sociedad Concesionaria no presentare el informe singularizado en el presente numeral y/o sus correcciones dentro de los plazos establecidos, se aplicará a la Sociedad Concesionaria una multa de 5 UTM, por cada día o fracción de día de atraso, cuya aplicación y pago se regularán según lo establecido en las Bases de Licitación.
En caso de que la Sociedad Concesionaria no presente el informe respectivo en el plazo máximo establecido en el presente numeral, se entenderá que en dicho mes no hubo inversión ni avance y, por tanto, cualquier monto que debía haberse informado tendrá que ser incorporado en alguno de los informes posteriores que se presenten en virtud de lo establecido en el presente numeral 5.1.2. En este sentido, para efectos de su reconocimiento se considerará lo señalado en el último párrafo del presente numeral 5.1.2.
Los montos informados por la Sociedad Concesionaria, debidamente aprobados por el Inspector Fiscal de acuerdo a lo señalado en el presente numeral 5.1.2, se contabilizarán mensualmente con el signo que corresponda en la "Cuenta de Inversión y Compensación Convenio Ad-Referéndum N° 11", en las fechas en que se reconozca cada monto de acuerdo con los términos señalados en el numeral 5.1.3 siguiente y lo indicado en el párrafo subsiguiente del presente numeral.
Para una mejor comprensión del procedimiento señalado en el presente numeral, se adjunta un ejemplo numérico como Anexo N° 2 del presente convenio.
Se deja constancia que en el caso de que la Sociedad Concesionaria no incluya en el informe que trata el presente numeral 5.1.2 algún monto que deba ser reconocido en el mes anterior a la entrega del citado informe de acuerdo con los términos señalados en el numeral 5.1.3 siguiente, con excepción del concepto que se indica en numeral 5.1.3.16, dicho monto deberá ser incorporado en alguno de los informes posteriores que se presenten en virtud de lo establecido en el presente numeral 5.1.2 y, en consecuencia, se contabilizará en la "Cuenta de Inversión y Compensación Convenio Ad-Referéndum N° 11", por única vez, con signo negativo, con fecha del último día del mes anterior a la entrega del informe en el cual se incorpore dicho monto de inversión. Por su parte, en el evento que la Sociedad Concesionaria no incluya en el informe que trata el presente numeral 5.1.2 algún monto que deba ser reconocido, de acuerdo con los términos señalados en el numeral 5.1.3.16 del presente convenio, dicho monto deberá ser contabilizado por el Inspector Fiscal, con signo positivo, con fecha en que corresponda su reconocimiento de conformidad a lo dispuesto en el referido numeral.
5.1.3 Las partes acuerdan que las inversiones, gastos, costos y ahorros que se indican en las cláusulas segunda y tercera del presente convenio, serán reconocidos en la "Cuenta de Inversión y Compensación Convenio Ad-Referéndum N° 11" conforme a lo señalado en los numerales siguientes:
5.1.3.1 El monto por concepto del desarrollo del proyecto de ingeniería denominado "PID Obras Civiles para Implementación Sistema Free Flow en Acceso Sur a Santiago", señalado en el numeral 2.1 del presente convenio, será reconocido, por única vez, con signo negativo, con fecha del último día del mes de febrero de 2025, mes en que el Inspector Fiscal aprobó el proyecto antes señalado, según consta en el oficio Ord. N° 21.462, de fecha 17 de febrero de 2025.
5.1.3.2 El monto por concepto de administración y control del desarrollo del proyecto de ingeniería denominado "PID Obras Civiles para Implementación Sistema Free Flow en Acceso Sur a Santiago", señalado en el numeral 2.2 del presente convenio, será reconocido, con signo negativo, en la misma fecha del monto señalado en el numeral 5.1.3.1 del presente convenio.
5.1.3.3 El monto por concepto de la ejecución de las obras denominadas " Obras Civiles para Implementación Sistema Free Flow en Acceso Sur a Santiago", señalado en el numeral 2.3 del presente convenio, será reconocido mensualmente, con signo negativo, conforme al avance efectivo de las mencionadas obras, con fecha del último día del mes calendario en que se efectuó dicho avance, previa aprobación del Inspector Fiscal.
5.1.3.4 El monto por concepto de la adquisición, desarrollo, implementación y habilitación del "Equipamiento Tecnológico para Implementación Sistema Free Flow en Acceso Sur a Santiago", señalado en el numeral 2.4 del presente convenio, será reconocido, por única vez, con signo negativo, el último día del mes de septiembre de 2025, mes en que el Inspector Fiscal aprobó mediante oficio Ord. N° 22.147, de fecha 2 de septiembre de 2025, la Fase 2 señalada en el numeral 5.1 literal (b) de la resolución DGC (exenta) N° 108, de 2024, la cual será sancionada en el decreto supremo que apruebe el presente convenio.
5.1.3.5 El monto por concepto de administración y control de la ejecución de las obras denominadas " Obras Civiles para Implementación Sistema Free Flow en Acceso Sur a Santiago", señalado en el numeral 2.5 del presente convenio, será reconocido con signo negativo, en proporción, y en las mismas fechas, a los montos contabilizados conforme a lo señalado en el numeral 5.1.3.3 del presente convenio. Lo anterior, con dos decimales, redondeados al segundo decimal, y efectuando el ajuste que corresponda en la última cuota.
5.1.3.6 El monto por concepto de administración y control de la adquisición, desarrollo, implementación y habilitación del "Equipamiento Tecnológico para Implementación Sistema Free Flow en Acceso Sur a Santiago", señalado en el numeral 2.6 del presente convenio, será reconocido, por única vez, con signo negativo, en la misma fecha, al monto contabilizado conforme a lo señalado en el numeral 5.1.3.4 del presente convenio.
5.1.3.7 Los montos anuales por concepto del diferencial de costos de conservación, mantención y seguros de Responsabilidad Civil por Daños a Terceros y de Catástrofe de las " Obras Civiles para Implementación Sistema Free Flow en Acceso Sur a Santiago", señalados en el numeral 2.7 del presente convenio, serán reconocidos con signo negativo, mensualmente, con fecha del último día de cada mes calendario, conforme a lo siguiente:
a) A contar de la habilitación del punto de cobro Troncal Río Maipo, señalado en el N° 1 de la resolución DGC (exenta) N° 131, de 2025 y hasta la aprobación de la Fase 3 señalada en el numeral 5.1 literal (c) de la resolución DGC (exenta) N° 108, de 2024, deberán ser contabilizados mensualmente, a razón de 1/12 mensual, el 50% de los montos establecidos en la Tabla N° 1 del numeral 2.7 del presente convenio. Se deja constancia que el monto a contabilizar en el mes de septiembre de 2025 por este concepto corresponde a la cantidad de UF 114,31 (ciento catorce coma treinta y una Unidades de Fomento). Por su parte, para el mes de aprobación de la Fase 3, antes señalada, el monto a contabilizar se deberá ajustar proporcionalmente según el número de días que medie entre el primer día del mes de aprobación de la Fase 3 y el día de aprobación de la referida fase.
b) A contar del día siguiente a la aprobación de la Fase 3 señalada en el numeral 5.1 literal (c) de la resolución DGC (exenta) N° 108, de 2024, deberán ser contabilizados mensualmente, a razón de 1/12 mensual, el 100% de los montos establecidos en la Tabla N° 1 del numeral 2.7 del presente convenio. Se deja constancia que para el mes de aprobación de la Fase 3, antes señalada, el monto a contabilizar se deberá ajustar proporcionalmente según el número de días que medie entre el día siguiente a la aprobación de la Fase 3 y el último día de dicho mes.
5.1.3.8 Los montos anuales por concepto del diferencial de conservación mayor durante la explotación del "Equipamiento Tecnológico para Implementación Sistema Free Flow en Acceso Sur a Santiago", señalados en el numeral 2.8 del presente convenio, serán reconocidos con signo negativo, en las siguientes oportunidades:
a) UF 22.689 el último día del mes de junio de 2030.
b) UF 25.537 el último día del mes de junio de 2035.
5.1.3.9 Los montos anuales por concepto del diferencial de costos de explotación y operación de los puntos de cobro del proyecto "Implementación Sistema Free Flow en Acceso Sur a Santiago" señalados en el numeral 2.9 del presente convenio, serán reconocidos con signo negativo, mensualmente, con fecha del último día de cada mes calendario conforme a lo siguiente:
a) A contar de la habilitación del punto de cobro Troncal Río Maipo, señalado en el N° 1 de la resolución DGC (exenta) N° 131, de 2025 y hasta el término de la marcha blanca señalada en el numeral 5.1 literal (b) de la resolución DGC (exenta) N° 108, de 2024, deberán ser contabilizados mensualmente, a razón de 1/12 mensual, el 50% de los montos establecidos en la Tabla N° 2 del numeral 2.9 del presente convenio. Se deja constancia que el monto a contabilizar en el mes de septiembre de 2025 por este concepto corresponde a la cantidad de UF 586,38 (quinientas ochenta y seis coma treinta y ocho Unidades de Fomento). Por su parte, para el mes de término de la marcha blanca antes señalada, el monto a contabilizar se deberá ajustar proporcionalmente según el número de días que medie entre el primer día del mes de término de la marcha blanca y el día en que se verifique el término de la marcha blanca.
b) A contar del día siguiente al término de la marcha blanca señalada en el numeral 5.1 literal (b) de la resolución DGC (exenta) N° 108, de 2024, deberán ser contabilizados mensualmente, a razón de 1/12 mensual, el 100% de los montos establecidos en la Tabla N° 2 del numeral 2.9 del presente convenio. Se deja constancia que, para el mes de término de la marcha blanca, el monto mensual a contabilizar se deberá ajustar proporcionalmente según el número de días que medie entre el día siguiente al término de la marcha blanca y el último día de dicho mes.
5.1.3.10 El monto efectivamente desembolsado por concepto de reposición por vida útil del "Equipamiento Tecnológico para Implementación Sistema Free Flow en Acceso Sur a Santiago" en el año 2035, cuyo monto máximo total se señala en el numeral 2.10 del presente convenio, será reconocido con fecha del último día del mes calendario en que se efectúe el desembolso, previa aprobación del Inspector Fiscal, hasta la cantidad máxima señalada en el citado numeral.
5.1.3.11 Los montos efectivamente desembolsados por concepto de Seguros de Responsabilidad Civil por Daños a Terceros y de Catástrofe durante la ejecución de las obras denominadas "Obras Civiles para Implementación Sistema Free Flow en Acceso Sur a Santiago", y la adquisición e implementación del "Equipamiento Tecnológico para Implementación Sistema Free Flow en Acceso Sur a Santiago", cuyo monto máximo total se señala en el numeral 2.11 del presente convenio, serán reconocidos con fecha del último día del mes calendario en que se efectuó cada desembolso, previa aprobación del Inspector Fiscal, hasta la cantidad máxima señalada en el citado numeral.
5.1.3.12 Los montos efectivamente desembolsados por concepto del costo de las Boletas Bancarias de Garantía durante la ejecución de obras denominadas "Obras Civiles para Implementación Sistema Free Flow en Acceso Sur a Santiago" y la adquisición, desarrollo, implementación y habilitación del "Equipamiento Tecnológico para Implementación Sistema Free Flow en Acceso Sur a Santiago", cuyo monto máximo total se señala en el numeral 2.12 del presente convenio, serán reconocidos con fecha del último día del mes calendario en que se efectuó cada desembolso, previa aprobación del Inspector Fiscal, hasta la cantidad máxima señalada en el citado numeral.
5.1.3.13 Los montos efectivamente desembolsados por concepto del desarrollo e implementación del Plan Comunicacional, cuyo monto máximo total se señala en el numeral 2.13 del presente convenio, serán reconocidos con fecha del último día del mes calendario en que se efectuó cada desembolso, previa aprobación del Inspector Fiscal, hasta la cantidad máxima señalada en el citado numeral.
5.1.3.14 Los montos efectivamente desembolsados por concepto de la implementación de medidas ambientales y/o territoriales no previstas, cuyo monto máximo total se señala en el numeral 2.14 del presente convenio, serán reconocidos con fecha del último día del mes calendario en que se efectuó cada desembolso, previa aprobación del Inspector Fiscal, hasta la cantidad máxima señalada en el citado numeral.
5.1.3.15 Los montos efectivamente desembolsados por concepto de los costos en que hubiera incurrido o deba incurrir la Sociedad Concesionaria para financiar los análisis técnicos, legales y de negocios que requieran sus garantes, así como las comisiones y demás gastos asociados a la estructuración del financiamiento y requerimientos de los financistas, exclusivamente para las materias tratadas en la resolución DGC (exenta) N° 108, de fecha 5 de diciembre de 2024, y en el decreto supremo que apruebe el presente convenio, cuyo monto máximo total se señala en el numeral 2.15 del presente convenio, serán reconocidos con fecha del último día del mes calendario en que se efectuó cada desembolso, previa aprobación del Inspector Fiscal.
5.1.3.16 Los montos anuales por concepto del diferencial de costos de conservación, mantención y seguros de Responsabilidad Civil por Daños a Terceros y de Catástrofe del "Equipamiento Tecnológico para Implementación Sistema Free Flow en Acceso Sur a Santiago", señalados en el numeral 3.1 del presente convenio, serán reconocidos con signo positivo, mensualmente, con fecha del último día de cada mes calendario conforme a lo siguiente:
a) A contar de la habilitación del punto de cobro Troncal Río Maipo, señalado en el N° 1 de la resolución DGC (exenta) N° 131, de 2025 y hasta el término de la marcha blanca señalada en el numeral 5.1 literal (b) de la resolución DGC (exenta) N° 108, de 2024, deberán ser contabilizados mensualmente, a razón de 1/12 mensual, el 50% de los montos establecidos en la Tabla N° 3 del numeral 3.1 del presente convenio. Se deja constancia que el monto a contabilizar en el mes de septiembre de 2025 por este concepto corresponde a la cantidad de UF 53 (cincuenta y tres Unidades de Fomento). Por su parte, para el mes de término de la marcha blanca antes señalada, el monto a contabilizar se deberá ajustar proporcionalmente según el número de días que medie entre el primer día del mes de término de la marcha blanca y el día en que se verifique el término de la marcha blanca.
b) A contar del día siguiente del término de la marcha blanca señalada en el numeral 5.1 literal (b) de la resolución DGC (exenta) N° 108, de 2024, deberán ser contabilizados mensualmente, a razón de 1/12 mensual, el 100% de los montos establecidos en la Tabla N° 3 del numeral 3.1 del presente convenio. Se deja constancia que, para el mes de término de la marcha blanca, el monto mensual a contabilizar se deberá ajustar proporcionalmente según el número de días que medie entre el día siguiente al término de la marcha blanca y el último día de dicho mes.
5.2 Corresponderá a la Sociedad Concesionaria informar al Inspector Fiscal los montos a contabilizar en la "Cuenta de Inversión y Compensación Convenio Ad-Referéndum N° 11", en cada mes calendario de acuerdo a los resultados de los procedimientos descritos en la presente cláusula quinta, sin perjuicio de las auditorías que pueda disponer el Inspector Fiscal en relación con las informaciones entregadas por la Sociedad Concesionaria y de la facultad de éste para inspeccionar y verificar en terreno las obras efectivamente ejecutadas.
SEXTO : ACUERDO DE INDEMNIZACIONES PARA COMPENSAR A LA SOCIEDAD CONCESIONARIA.
De conformidad con lo prescrito en el artículo 19° de la Ley de Concesiones de Obras Públicas, para compensar los montos contabilizados en la "Cuenta de Inversión y Compensación Convenio Ad-Referéndum N° 11" en los términos señalados en la cláusula quinta precedente, el MOP y la Sociedad Concesionaria acuerdan como indemnización lo dispuesto en la presente cláusula, como pago total y definitivo:
6.1 Escenario Base
6.1.1 Las partes acuerdan que, para efectos de determinar el escenario base hipotético que hubiere existido de no haberse ejecutado el proyecto "Implementación Sistema Free Flow en Acceso Sur a Santiago" , se considerarán como tránsitos durante el año calendario 2025, para las plazas de peaje Troncal Río Maipo, Lateral Gabriela y Lateral Tocornal, y para cada tipo de vehículo, los que se indican en la Tabla N° 4 siguiente:
Tabla N° 4:

6.1.2 Las partes acuerdan que los tránsitos anuales de los años siguientes al año 2025, que se hubieren generado de no haberse ejecutado el proyecto "Implementación Sistema Free Flow en Acceso Sur a Santiago", se determinarán de conformidad a lo siguiente:

Donde,
T: Corresponde a los tránsitos anuales.
t: Corresponde a un año calendario. t=1 corresponde al año 2026.
i,p: Corresponde al tipo de vehículo i y plaza de peaje p.
6.1.3 Las partes acuerdan que, para calcular los tránsitos para cada Mes de Operación, plaza de peaje y tipo de vehículo, la Sociedad Concesionaria deberá multiplicar los tránsitos anuales del año calendario correspondiente, que se determinen de conformidad a lo señalado en el numeral 6.1.2 anterior, por la estacionalidad de cada Mes de Operación establecida en la Tabla N° 5 siguiente:
Tabla N° 5:
Mes % Estacionalidad
1 8,7%
2 7,6%
3 8,6%
4 8,2%
5 8,3%
6 8,0%
7 8,3%
8 8,2%
9 8,2%
10 8,5%
11 8,4%
12 9,0%
6.1.4 Las partes acuerdan que las tarifas que hubiese cobrado la Sociedad Concesionaria, por cada tipo de vehículo en las plazas de peaje Troncal Río Maipo, Lateral Gabriela y Lateral Tocornal, de no haberse ejecutado el proyecto "Implementación Sistema Free Flow en Acceso Sur a Santiago", deberán ser multiplicadas, según corresponda, por los tránsitos mensuales que se determinen para cada Mes de Operación según se indica en el numeral 6.1.3 anterior, obteniendo de esta manera los ingresos que hubiesen sido recaudados en cada una de las plazas de peaje Troncal Río Maipo, Lateral Gabriela y Lateral Tocornal, por cada tipo de vehículo, de no haberse ejecutado el proyecto "Implementación Sistema Free Flow en Acceso Sur a Santiago". Los ingresos de los distintos tipos de vehículos y plazas de peaje que hubiesen sido recaudados en un Mes de Operación (m) deberán ser sumados de manera de conocer el ingreso total que se hubiese obtenido en un Mes de Operación en las plazas de peaje Troncal Río Maipo, Lateral Gabriela y Lateral Tocornal, monto que será denominado como E B m.
Dicho cálculo se efectuará a partir de las 00:00 horas del día siguiente a la fecha de término de la marcha blanca señalada en el numeral 5.1 literal (b) de la resolución DGC (exenta) N° 108, de 2024, la cual será sancionada en el decreto supremo que apruebe el presente convenio.
Por su parte, se deberá calcular las tarifas por cada tipo de vehículo en las plazas de peaje Troncal Río Maipo, Lateral Gabriela y Lateral Tocornal, sin considerar el Premio por Seguridad Vial establecido en el artículo 1.11.2 de las Bases de Licitación ni el monto adicional establecido en el numeral 5.4.1 del Convenio Ad-Referéndum N° 7, de 2017, que hubiesen correspondido de no haberse ejecutado el proyecto "Implementación Sistema Free Flow en Acceso Sur a Santiago", las cuales deberán ser multiplicadas, según corresponda, por los tránsitos mensuales que se determinen para cada Mes de Operación según se indica en el numeral 6.1.3 anterior, obteniendo de esta manera los ingresos que hubiesen correspondido a la situación original del contrato, sin Premio por Seguridad Vial ni incrementos tarifarios, en cada una de las plazas de peaje Troncal Río Maipo, Lateral Gabriela y Lateral Tocornal, por cada tipo de vehículo, de no haberse ejecutado el proyecto "Implemen tación Sistema Free Flow en Acceso Sur a Santiago". Estos ingresos de los distintos tipos de vehículos y plazas de peaje, en un Mes de Operación, deberán ser sumados de manera de conocer el ingreso por este concepto que corresponda en un Mes de Operación en las plazas de peaje Troncal Río Maipo, Lateral Gabriela y Lateral Tocornal, monto que será denominado como E B1 m.
Adicionalmente, los montos de adición anual de tarifa establecidos en el numeral 5.4.1 del Convenio Ad-Referéndum N° 7, de 2017, por cada tipo de vehículo en las plazas de peaje Troncal Río Maipo, Lateral Gabriela y Lateral Tocornal, que hubiesen correspondido de no haberse ejecutado el proyecto "Implementación Sistema Free Flow en Acceso Sur a Santiago" , deberán ser multiplicadas, según corresponda, por los tránsitos mensuales que se determinen para cada Mes de Operación según se indica en el numeral 6.1.3 anterior, obteniendo de esta manera los ingresos adicionales del Convenio Ad-Referéndum N° 7, de 2017, en cada una de las plazas de peaje Troncal Río Maipo, Lateral Gabriela y Lateral Tocornal, por cada tipo de vehículo, de no haberse ejecutado el proyecto "Implementación Sistema Free Flow en Acceso Sur a Santiago". Estos ingresos de los distintos tipos de vehículos y plazas de peaje, en un Mes de Operación, deberán ser sumados de manera de conocer el ingreso por este concepto que corresponda en un Mes de Operación en las plazas de peaje Troncal Río Maipo, Lateral Gabriela y Lateral Tocornal, monto que será denominado como E B2 m .
Finalmente, se deberá calcular la diferencia entre EBm, EB1 m y EB2 m, es decir, EB m - EB1 m - EB2 m, obteniendo de esta forma los ingresos que hubiesen correspondido al Premio por Seguridad Vial, en cada una de las plazas de peaje Troncal Río Maipo, Lateral Gabriela y Lateral Tocornal, por cada tipo de vehículo, de no haberse ejecutado el proyecto "Implementación Sistema Free Flow en Acceso Sur a Santiago", monto que será denominado como E B3 m.
En consecuencia, EBm = EB1m + EB2m + EB3m.
6.2 Escenario Real
Las partes acuerdan que, a partir de las 00:00 horas del día siguiente a la fecha de término de la marcha blanca señalada en el numeral 5.1 literal (b) de la resolución DGC (exenta) N° 108, de 2024, la cual será sancionada en el decreto supremo que apruebe el presente convenio, las tarifas que cobre la Sociedad Concesionaria en los puntos de cobro Troncal Río Maipo, Troncal Gabriela y Troncal Tocornal y tipo de vehículos, que se indican en el N° 11 del "Modelo de decreto supremo que se dictará al efecto" adjunto al oficio Ord. N° 22.402, de fecha 11 de noviembre de 2025, deberán ser multiplicadas, según corresponda, por los tránsitos que se registren en cada Mes de Operación, punto de cobro y tipo de vehículo, obteniendo de esta manera los ingresos devengados en cada uno de los referidos puntos de cobro, por cada tipo de vehículo. Los ingresos devengados en un Mes de Operación de los distintos tipos de vehículos y puntos de cobro deberán ser sumados de manera de conocer el ingreso total obtenido en un Mes de Operación en los puntos de cobro Troncal Río Maipo, Troncal Gabriela y Troncal Tocornal, monto que será denominado como ERm.
6.3 Diferencias de ingresos entre Escenario Base y Escenario Real
Las partes acuerdan que para determinar las diferencias de ingresos entre el Escenario Real (ER) y el Escenario Base (EB), esto es, los ingresos adicionales y/o pérdidas de ingresos, que se deriven de haber ejecutado el proyecto "Implementación Sistema Free Flow en Acceso Sur a Santiago", se procederá de conformidad a lo indicado en los numerales 6.3.1 y 6.3.2 del presente convenio, para lo cual la Sociedad Concesionaria deberá incorporar los cálculos respectivos en el informe señalado en el numeral 5.1.2 del presente convenio.
Para ello se define:
I m=ERm - EBm
Donde I m corresponderá a la diferencia de ingresos entre el Escenario Real y el Escenario Base en el Mes de Operación m. Por su parte, m = 1 corresponderá al mes de término de la marcha blanca señalada en el numeral 5.1 literal (b) de la resolución DGC (exenta) N° 108, de 2024, la cual será sancionada en el decreto supremo que apruebe el presente convenio.
6.3.1 Las partes acuerdan que, si en el Mes de Operación m, se cumple que MDIm < YTG, de conformidad a lo dispuesto en el Convenio Complementario N° 4, de 2003, se procederá conforme a lo siguiente:
i) Si Im > 0, entonces:
. Dicho monto Im deberá ser contabilizado en la "Cuenta de inversión y Compensación Convenio Ad-Referéndum N° 11", con signo positivo, el último día del respectivo Mes de Operación m.
. El monto EBm deberá ser distribuido de la siguiente manera:
a) Deberá ser contabilizado como YCi en la "Cuenta Mecanismo de Distribución de Ingresos" del Convenio Complementario N° 4, de 2003, el monto denominado EB1m , el último día del respectivo Mes de Operación m .
b) Deberá ser contabilizado en la "Cuenta de Inversión y Compensación CAD N° 7 Oficio N° 13.225", del Convenio Ad-Referéndum N° 7, de 2017, con signo positivo, el último día del respectivo Mes de Operación m, el monto denominado EB2m .
c) Deberá ser contabilizado en "Cuenta de Inversión y Compensación Convenio Ad-Referéndum N° 8", del Convenio Ad -Referéndum N° 8, de 2018, con signo positivo, el último día del respectivo Mes de Operación m, el monto denominado EB3m.
ii) Si I m ≤ 0, entonces:
. Dicho monto Im no deberá ser contabilizado en la "Cuenta de Inversión y Compensación Convenio Ad-Referéndum N° 11".
. Si ERm = 0, entonces, no deberá ser contabilizado ningún monto en la "Cuenta de Inversión y Compensación Convenio Ad-Referéndum N° 8", del Convenio Ad-Referéndum N° 8, de 2018; en la "Cuenta Mecanismo de Distribución de Ingresos" del Convenio Complementario N° 4, de 2003; ni en la Cuenta de Inversión y Compensación CAD N° 7 Oficio N° 13.225", del Convenio Ad-Referéndum N° 7, de 2017.
. El monto ERm deberá ser distribuido en el siguiente orden de prelación:
a) Si ER m > 0, entonces, deberá ser contabilizado en la "Cuenta de Inversión y Compensación Convenio Ad-Referéndum N° 8", del Convenio Ad -Referéndum N° 8, de 2018, con signo positivo, el último día del respectivo Mes de Operación m, el monto que resulte de calcular el MIN (EB3m , ERm).
b) Si ERm - MIN (EB3m , ERm) > 0, entonces, deberá ser contabilizado como YCi en la "Cuenta Mecanismo de Distribución de Ingresos" del Convenio Complementario N° 4, de 2003, el último día del respectivo Mes de Operación m, el monto que resulte de calcular el MIN [ERm - MIN (EB3m , ERm ), EB1m]. Por otra parte, si ERm - MIN (EB3m ,ERm ) = 0, entonces, no deberá ser contabilizado ningún monto en la "Cuenta Mecanismo de Distribución de Ingresos" del Convenio Complementario N° 4, de 2003 y en la Cuenta de Inversión y Compensación CAD N° 7 Oficio N° 13.225", del Convenio Ad-Referéndum N° 7, de 2017.
c) Si ER m - EB1 m - EB3 m > 0, entonces, deberá ser contabilizado en la "Cuenta de Inversión y Compensación CAD N° 7 Oficio N° 13.225", del Convenio Ad-Referéndum N° 7, de 2017, con signo positivo, el último día del respectivo Mes de Operación m, el monto que resulte de restar ER m - EB1 m - EB3 m hasta el monto denominado EB2 m . Por otra parte, si ER m - EB1 m - EB3 m ≤ 0, entonces, no deberá ser contabilizado ningún monto en la Cuenta de Inversión y Compensación CAD N° 7 Oficio N° 13.225", del Convenio Ad-Referéndum N° 7, de 2017.
6.3.2 Las partes acuerdan que, en el evento que el MOP otorgase a la Sociedad Concesionaria un mayor plazo de concesión, de conformidad a lo señalado en el numeral 6.6 del Convenio Ad- Referéndum N° 9, de 2022, aprobado por decreto supremo MOP N° 125, de 2022, se procederá conforme a lo siguiente:
. Si Im > 0, deberá ser contabilizado en la "Cuenta de Inversión y Compensación Convenio Ad-Referéndum N° 11", del Convenio Ad -Referéndum N° 11, de 2025, con signo positivo, el último día del respectivo Mes de Operación m, a partir del mes siguiente al que se cumpla la condición MDI m ≥ YTG.
. Si Im < 0, deberá ser contabilizado en la "Cuenta de Inversión y Compensación Convenio Ad-Referéndum N° 11", del Convenio Ad -Referéndum N° 11, de 2025, con signo negativo, el último día del respectivo Mes de Operación m, a partir del mes siguiente al que se cumpla la condición MDI m ≥ YTG.
6.3.3 Se deja constancia que en el evento que la tarifa sea aumentada de conformidad a lo establecido en el numeral 5.6 del Convenio Complementario N° 4, de 2003, aprobado mediante decreto supremo MOP N° 1.008, de 2003, dicho aumento también deberá ser considerado para el cálculo de las tarifas señaladas en el numeral 6.1.4 del Convenio Ad-Referéndum N° 11 aprobado por el presente decreto supremo.
6.4 Las partes acuerdan que, a partir de la habilitación del punto de cobro Troncal Río Maipo, señalado en el N° 1 de la resolución DGC (exenta) N° 131, de 2025, la cual será sancionada en el decreto supremo que apruebe el presente convenio, los ingresos financieros derivados de la morosidad en el pago de las transacciones del punto de cobro Free Flow del Troncal Río Maipo que recaude la Sociedad Concesionaria, de conformidad al mismo procedimiento señalado en el N° 8 numeral ii. literal a) segunda viñeta del decreto supremo MOP N° 154, de 2018, se contabili zarán en la "Cuenta de Inversión y Compensación Convenio Ad-Referéndum N° 11" el último día de cada mes, con signo positivo, en Unidades de Fomento redondeados al segundo decimal, usando para su conversión el valor de dicha unidad para el último día del mes en que se hayan recaudado dichos ingresos. Lo mismo ocurrirá con los ingresos financieros derivados de la morosidad en el pago de las transacciones de los puntos de cobro Free Flow del Troncal Tocornal y Troncal Gabriela, a partir del término de la marcha blanca señalada en el numeral 5.1 literal (b) de la resolución DGC (exenta) N° 108, de 2024, la cual será sancionada en el decreto supremo que apruebe el presente convenio.
Para ello, la Sociedad Concesionaria deberá incorporar los cálculos respectivos en los informes señalados en los numerales 5.1.1 y 5.1.2, según corresponda, del presente convenio.
Se deja constancia que los ingresos financieros que recaude la Sociedad Concesionaria no formarán parte del YCi, establecido en el numeral 5.2 del Convenio Complementario N° 4, de 2003, antes individualizado. En consecuencia, aquellos ingresos no deberán ser contabilizados en la "Cuenta Mecanismo de Distribución de Ingresos".
6.5 Las partes acuerdan que, a partir de la habilitación del punto de cobro Troncal Río Maipo, señalado en el N° 1 de la resolución DGC (exenta) N° 131, de 2025, la cual será sancionada en el decreto supremo que apruebe el presente convenio, los montos correspondientes a todas las transacciones definidas como "Incobrables", de conformidad a lo señalado en el N° 8 numeral ii. literal p) segunda viñeta del decreto supremo MOP N° 154, de 2018, y que se registren en el punto de cobro Free Flow del Troncal Río Maipo se contabilizarán mensualmente en la "Cuenta de Inversión y Compensación Convenio Ad-Referéndum N° 11", con signo negativo, el último día de cada mes en que se hubieren declarado como "Incobrables", debidamente actualizados desde la fecha en que se registraron los tráficos a una tasa de interés real mensual compuesta, equivalente a una tasa real anual de 6,08%. Lo mismo ocurrirá con los montos correspondientes a todas las transacciones definidas como "Incobrables" que se registren en los puntos de cobro Free Flow del Troncal Tocornal y Troncal Gabriela, a partir del término de la marcha blanca señalada en el numeral 5.1 literal (b) de la resolución DGC (exenta) N° 108, de 2024, la cual será sancionada en el decreto supremo que apruebe el presente convenio.
Para ello, la Sociedad Concesionaria deberá incorporar los cálculos respectivos en los informes señalados en los numerales 5.1.1 y 5.1.2, según corresponda, del presente convenio.
6.6 Las partes acuerdan que, a partir de la habilitación del punto de cobro Troncal Río Maipo, señalado en el N° 1 de la resolución DGC (exenta) N° 131, de 2025, la cual será sancionada en el decreto supremo que apruebe el presente convenio, los montos correspondientes a las transacciones definidas como "No identificable", de conformidad a lo señalado en el N° 8 numeral ii. literal o) segunda viñeta del decreto supremo MOP N° 154, de 2018, que no superen el 5% del total de las transacciones de un mes registradas en el punto de cobro Free Flow del Troncal Río Maipo, se contabilizarán mensualmente en la "Cuenta de Inversión y Compensación Convenio Ad-Referéndum N° 11", con signo negativo, el último día del mes en que se hubieren registrado dichos tráficos. Lo mismo ocurrirá con los montos correspondientes a transacciones definidas como "No identificable", registradas en los puntos de cobro Free Flow del Troncal Tocornal y Troncal Gabriela, a partir del término de la marcha blanca señalada en el numeral 5.1 literal (b) de la resolución DGC (exenta) N° 108, de 2024, la cual será sancionada en el decreto supremo que apruebe el presente convenio.
Para ello, la Sociedad Concesionaria deberá incorporar los cálculos respectivos en los informes señalados en los numerales 5.1.1 y 5.1.2, según corresponda, del presente convenio.
6.7 Las partes acuerdan que, si se registrasen pérdidas técnicas mensuales en el punto de cobro Troncal Río Maipo, superiores al 0,6% de las transacciones de un mes, para los tres primeros años contados desde la habilitación del punto de cobro señalado en el N° 1 de la resolución DGC (exenta) N° 131, de 2025, la cual será sancionada en el decreto supremo que apruebe el presente convenio, y superiores al 0,45% de las transacciones de un mes para el periodo restante del contrato de concesión, dichas transacciones correspondientes a pérdidas técnicas por sobre el máximo antes indicado serán contabilizadas en la "Cuenta de Inversión y Compensación Convenio Ad-Referéndum N° 11", con signo positivo, el último día del mes siguiente al que se registren. Para estos efectos se supondrá que las pérdidas técnicas por sobre los máximos señalados tuvieron el mismo comportamiento de los tránsitos registrados el mismo mes, por lo que serán prorrateados en la misma proporción.
Para ello, la Sociedad Concesionaria deberá incorporar los cálculos respectivos en los informes señalados en los numerales 5.1.1 y 5.1.2, según corresponda, del presente convenio.
6.8 Las partes acuerdan que, si se registrasen pérdidas técnicas mensuales en los puntos de cobro Troncal Tocornal y Troncal Gabriela, superiores al 0,6% de las transacciones de un mes, para los tres primeros años contados desde el término de la marcha blanca señalada en el numeral 5.1 literal (b) de la resolución DGC (exenta) N° 108, de 2024, la cual será sancionada en el decreto supremo que apruebe el presente convenio, y superiores al 0,45% de las transacciones de un mes para el periodo restante del contrato de concesión, dichas transacciones correspondientes a pérdidas técnicas por sobre el máximo antes indicado serán contabilizadas en la "Cuenta de Inversión y Compensación Convenio Ad-Referéndum N° 11", con signo positivo, el último día del mes siguiente al que se registren. Para estos efectos se supondrá que las pérdidas técnicas por sobre los máximos señalados tuvieron el mismo comportamiento de los tránsitos registrados el mismo mes, por lo que serán prorrateados en la misma proporción.
Para ello, la Sociedad Concesionaria deberá incorporar los cálculos respectivos en el informe señalado en el numeral 5.1.2 del presente convenio.
6.9 A partir de la habilitación del punto de cobro Troncal Río Maipo, señalado en el N° 1 de la resolución DGC (exenta) N° 131, de 2025, la Sociedad Concesionaria tendrá un desfase en sus ingresos derivados del cambio en el mecanismo de recaudación que operaba en la Plaza de Peaje Troncal Río Maipo versus el nuevo mecanismo de recaudación que se implementó. Lo mismo ocurrirá a partir del término de la marcha blanca señalada en el numeral 5.1 literal (b) de la resolución DGC (exenta) N° 108, de 2024, la cual será sancionada en el decreto supremo que apruebe el presente convenio, cuando la Sociedad Concesionaria tendrá un desfase en sus ingresos derivados del cambio en el mecanismo de recaudación que opera en las Plazas de Peaje Tocornal y Gabriela versus el nuevo mecanismo de recaudación que se implementará.
Dado lo anterior, las partes acuerdan que, para determinar el desfase de los ingresos producto de la ejecución del proyecto "Implementación Sistema Free Flow en Acceso Sur a Santiago", se adjunta como Anexo N° 3 un procedimiento para calcular mensualmente dicho desfase de ingresos.
Las partes acuerdan que los montos mensuales calculados como desfase de los ingresos se contabilizarán en la "Cuenta de Inversión y Compensación Convenio Ad-Referéndum N° 11", con el signo que resulte del procedimiento, el último día del mes en que se hubieren registrado.
Para ello, la Sociedad Concesionaria deberá incorporar los cálculos respectivos en los informes señalados en los numerales 5.1.1 y 5.1.2, según corresponda, del presente convenio.
6.10 Se deja constancia que, de conformidad a lo establecido en el numeral 7.1 del Convenio Ad-Referéndum N° 8, de 2018, todas las transacciones que se generen en todos los puntos de cobro Free Flow del contrato de concesión, definidas como "Posible Infractor", de conformidad a lo señalado en el N° 8 numeral ii) literal r) del decreto supremo MOP N° 154, de 2018, deberán ser contabilizadas el mes siguiente de su tránsito en la "Cuenta Mecanismo de Distribución de Ingresos" establecida en la cláusula quinta del Convenio Complementario N° 4, de 2003, aprobado por decreto supremo MOP N° 1.008, de 2003. Lo anterior, con excepción de las transacciones que se generen en el punto de cobro Troncal Río Maipo a partir de la habilitación de dicho punto de cobro, de conformidad a lo señalado en el N° 1 de la resolución DGC (exenta) N° 131, de 2025, y hasta el término de la marcha blanca señalada en el numeral 5.1 literal (b) de la resolución DGC (exenta) N° 108, de 2024.
6.11 Las partes acuerdan que el MOP, a partir del año 2027, deberá realizar un pago anual a la Sociedad Concesionaria, a más tardar el último día hábil del mes de diciembre de cada año y corresponderá al saldo negativo, acumulado y actualizado de la "Cuenta de Inversión y Compensación Convenio Ad-Referéndum N° 11" correspondiente al 30 de septiembre del mismo año en que se efectuará dicho pago. Cada pago efectivamente realizado deberá ser contabilizado el último día del mes en que se efectuó, con signo positivo, en la "Cuenta de Inversión y Compensación Convenio Ad-Referéndum N° 11".
Por su parte, para el último año de concesión, el pago que deberá efectuar el MOP a la Sociedad Concesionaria se realizará a los 60 días de finalizado el contrato de concesión y corresponderá al saldo negativo, acumulado y actualizado de la "Cuenta de Inversión y Compensación Convenio Ad-Referéndum N° 11" para el mes de término del contrato de concesión. Dicho pago deberá ser contabilizado en el mismo mes en que se registró el saldo, con signo positivo, en la "Cuenta de Inversión y Compensación Convenio Ad-Referéndum N° 11", de modo de reflejar un saldo acumulado y actualizado de la citada cuenta igual a cero para dicho mes, quedando cerrada dicha cuenta en ese momento para todos los efectos a que hubiere lugar.
Sin perjuicio de lo señalado anteriormente, se deja constancia que para los años 2027, 2028 y 2029, los montos que deberá pagar el MOP a la Sociedad Concesionaria, a más tardar el último día hábil del mes de diciembre, sin considerar los eventuales prepagos parciales o totales señalados en el numeral 6.12 del presente convenio, serán los que a continuación se detallan:
a) El monto mínimo entre el saldo negativo, acumulado y actualizado de la "Cuenta de Inversión y Compensación Convenio Ad-Referéndum N° 11" correspondiente al 30 de septiembre del año 2027 y la cantidad de UF 300.000, neta de IVA.
b) El monto mínimo entre el saldo negativo, acumulado y actualizado de la "Cuenta de Inversión y Compensación Convenio Ad-Referéndum N° 11" correspondiente al 30 de septiembre del año 2028 y la cantidad de UF 300.000, neta de IVA.
c) El monto mínimo entre el saldo negativo, acumulado y actualizado de la "Cuenta de Inversión y Compensación Convenio Ad-Referéndum N° 11" correspondiente al 30 de septiembre del año 2029 y la cantidad de UF 300.000, neta de IVA.
6.12 Las partes acuerdan que el MOP podrá efectuar, a más tardar el último día hábil del mes de diciembre de los años 2026, 2027, 2028 y 2029, prepagos parciales o totales del saldo acumulado y actualizado que registre la "Cuenta de Inversión y Compensación Convenio Ad-Referéndum N° 11".
Para el ejercicio de esta facultad, con al menos 90 días de anticipación a la fecha programada para efectuar el prepago antes señalado el MOP deberá, a través del Inspector Fiscal, comunicar a la Sociedad Concesionaria mediante anotación en el Libro de Explotación u oficio que se efectuará un prepago, indicando su cuantía en Unidades de Fomento y la fecha en que éste se realizará. Los prepagos en caso alguno podrán significar que la "Cuenta de Inversión y Compensación Convenio Ad-Referéndum N° 11" quede con saldo acumulado y actualizado de signo positivo.
Una vez que se efectúe el prepago anual, dicho monto se contabilizará con signo positivo en la "Cuenta de Inversión y Compensación Convenio Ad-Referéndum N° 11", con fecha del último día del mes en que se hubiere efectuado.
En el evento que el MOP durante el año 2026 no efectúe el prepago respectivo señalado en el primer párrafo del presente numeral, se contabilizará, con signo negativo, en la "Cuenta de Inversión y Compensación CAD N° 7 Oficio N° 13.225" del Convenio Ad-Referéndum N° 7, de 2017, con fecha del último día del mes de septiembre de 2026, el monto mínimo entre el saldo negativo, acumulado y actualizado de la "Cuenta de Inversión y Compensación Convenio Ad-Referéndum N° 11" correspondiente al 30 de septiembre del año 2026 y la cantidad de UF 350.000, neta de IVA. El monto antes señalado será contabilizado, además, con signo positivo, en la "Cuenta de Inversión y Compensación Convenio Ad-Referéndum N° 11", con fecha del último día del mes de septiembre de 2026.
6.13 En el evento que se verifique que, en cualquier momento, el saldo acumulado y actualizado que registra la "Cuenta de Inversión y Compensación Convenio Ad-Referéndum N° 11" sea positivo, dicho saldo será pagado por la Sociedad Concesionaria al MOP, dentro de los 20 días de aprobado por el Inspector Fiscal el saldo acumulado de la cuenta, considerando para tales efectos el valor de la Unidad de Fomento del día de pago efectivo. Una vez que se efectúe el pago antes indicado, éste se contabilizará en el mismo mes en que se registró dicho saldo, con signo negativo, en la misma "Cuenta de Inversión y Compensación Convenio Ad-Referéndum N° 11", de modo de reflejar un saldo acumulado y actualizado de la citada cuenta igual a cero para dicho mes.
6.14 Las partes acuerdan reemplazar el último párrafo del numeral 6.7 del Convenio Ad- Referéndum N° 9, de fecha 14 de julio de 2022, aprobado mediante decreto supremo MOP N° 125, de fecha 22 de julio de 2022, por lo siguiente:
"Una vez extinguido el contrato de concesión por no otorgarse el aumento de plazo, la Sociedad Concesionaria cederá sus derechos de cobro al MOP o al tercero que este designe, respecto de todas las transacciones "Facturadas", "Posible Infractor", "Infractoras", "No Identificables" de los 5 años anteriores al término de la concesión que no hayan sido recaudadas por la Sociedad Concesionaria al término del contrato de concesión, de forma tal que el MOP o el tercero, según corresponda, podrá realizar todas las acciones legales y/o comerciales que estime pertinentes. El MOP pagará a la Sociedad Concesionaria dentro de los 30 días de aprobado, por el Inspector Fiscal, lo siguiente:
a) El 100% del total de las transacciones "Posible Infractor" que no hayan sido recaudadas por la Sociedad Concesionaria al término del contrato de concesión.
b) El 97,9% del total de las transacciones "Facturadas" de los últimos 15 meses antes del término del contrato de concesión de las 35 Plazas de Peaje Lateral de la Ruta 5 Sur, y que no hayan sido recaudadas por la Sociedad Concesionaria al término del contrato de concesión."
6.15 En el evento que el actual plazo de vigencia de la concesión, regulado en el numeral 6.6 del Convenio Ad-Referéndum N° 9, de 2022, se extendiere más allá del 31 de diciembre de 2035, las partes se comprometen a acordar, con al menos 3 meses de antelación a dicha fecha, los valores por los conceptos indicados en los numerales 2.7, 2.8, 2.9 y 3.1, del presente convenio, para el período de dicha extensión del contrato de concesión, sujeto a los mismos criterios y metodología de cálculo utilizados en dichos numerales.
SÉPTIMO: MODIFICACIONES AL CONVENIO AD-REFERÉNDUM N° 7, DE FECHA 15 DE DICIEMBRE DE 2017 APROBADO MEDIANTE decreto supremo MOP N° 1, DE 2018.
7.1 Las partes acuerdan incorporar en la cláusula quinta del Convenio Ad-Referéndum N° 7, de fecha 15 de diciembre de 2017, aprobado mediante decreto supremo MOP N° 1, de 2018, el siguiente numeral 5.4.7:
"Las partes acuerdan que el MOP, previo acuerdo con la Sociedad Concesionaria podrá efectuar prepagos parciales o totales del saldo acumulado y actualizado que registre la "Cuenta de Inversión y Compensación CAD N° 7 Oficio N° 13.225".
Para el ejercicio de esta facultad, con al menos 90 días de anticipación a la fecha programada para efectuar el prepago antes señalado, el MOP deberá, a través del Inspector Fiscal, comunicar a la Sociedad Concesionaria mediante anotación en el Libro de Explotación u oficio la intención de efectuar un prepago, indicando su cuantía en Unidades de Fomento y la fecha en que éste se realizaría. Por su parte, la Sociedad Concesionaria, en un plazo máximo de 5 días, contado desde la recepción de la comunicación por parte del Inspector Fiscal, deberá informarle a este último su aprobación o rechazo a dicho prepago. En el evento que la Sociedad Concesionaria no informe al Inspector Fiscal, dentro del plazo antes señalado, si consiente o no dicho prepago, se entenderá que lo acepta para todos los efectos.
Los prepagos en caso alguno podrán significar que la "Cuenta de Inversión y Compensación CAD N° 7 Oficio N° 13.225" quede con saldo acumulado y actualizado de signo positivo.
Una vez que se efectúe algún prepago, dicho monto se contabilizará con signo positivo en la "Cuenta de Inversión y Compensación CAD N° 7 Oficio N° 13.225", con fecha del último día del mes en que se hubiere efectuado."
7.2 Las partes acuerdan reemplazar el numeral 5.4.6 de la cláusula quinta del Convenio Ad-Referéndum N° 7, de fecha 15 de diciembre de 2017, aprobado mediante decreto supremo MOP N° 1, de 2018, por lo siguiente:
"Si al último día del mes calendario siguiente al cumplimiento de la condición MDI m ≥ YTG señalada en el numeral 5.5 del Convenio Complementario N° 4, de 2003, la "Cuenta de Inversión y Compensación CAD N° 7 Oficio N° 13.225" aún registrare un saldo acumulado y actualizado negativo, el MOP pagará a la Sociedad Concesionaria dicho saldo, dentro de los 30 días siguientes de aprobado por el Inspector Fiscal el saldo acumulado de la cuenta, conforme al valor de la Unidad de Fomento al día de pago efectivo.
Una vez realizado el pago antes indicado, éste se contabilizará en la "Cuenta de Inversión y Compensación CAD N° 7 Oficio N° 13.225", con signo positivo, en el mes calendario siguiente al cumplimiento de la condición MDI m ≥ YTG señalada en el numeral 5.5 del Convenio Complementario N° 4, de 2003, de modo de reflejar un saldo acumulado y actualizado igual a cero para dicho mes, fecha en la que se cerrará la "Cuenta de Inversión y Compensación CAD N° 7 Oficio N° 13.225" para todos los efectos a que hubiere lugar."
OCTAVO : Las partes dejan constancia que siguen plenamente vigente todas las regulaciones establecidas en el Convenio Ad-Referéndum N° 8, salvo lo expresamente modificado por el decreto supremo MOP N° 125, de 2022, y por el presente convenio.
NOVENO: De toda comunicación o hecho relativo al presente Convenio Ad-Referéndum, así como del Contrato de Concesión, se dejará constancia en el Libro de Explotación.
DÉCIMO : En virtud de las indemnizaciones acordadas en el presente convenio, la Sociedad Concesionaria otorga al MOP el más amplio, completo y total finiquito, respecto de las inversiones, gastos y costos señalados en la resolución DGC (exenta) N° 108, de fecha 5 de diciembre de 2024, la cual será sancionada en el decreto supremo que apruebe el presente convenio, así como también respecto de las materias tratadas en el "Modelo de decreto supremo que se dictará al efecto", que forma parte del oficio Ord. N° 22.402 y en el presente convenio, renunciando a efectuar cualquier reclamación que pudiera haberle correspondido por ellas; todo lo anterior sujeto a la condición de que dichas compensaciones y demás obligaciones que resulten para el MOP en favor de la Sociedad Concesionaria se cumplan por aquél en tiempo y forma.
DÉCIMO PRIMERO: El presente convenio tendrá plena validez y vigencia desde la publicación en el Diario Oficial del decreto supremo que lo apruebe, de conformidad con lo dispuesto por el artículo 19 del DFL MOP N° 164, de 1991, cuyo Texto Refundido, Coordinado y Sistematizado se encuentra contenido en el DS MOP N° 900, de 1996.
DÉCIMO SEGUNDO: El presente convenio se firma en cuatro ejemplares, quedando dos de ellos en poder de la Sociedad Concesionaria y dos en poder del Ministerio de Obras Públicas.
DÉCIMO TERCERO: La personería de don Miguel Carrasco Rodríguez y de don Andrés Contreras Herrera, para representar a Ruta del Maipo Sociedad Concesionaria S.A., consta del Acta de Sesión Extraordinaria de Directorio N° 62, efectuada con fecha 17 de noviembre de 2025, reducida a escritura pública, repertorio N° 10108 - 2025, de fecha 19 de noviembre de 2025, otorgada ante el notario público interino de la quinta notaria de Santiago, doña Magdalena Latorre Larraín.
Firman: Claudio Soto Cárdenas, Director General de Concesiones de Obras Públicas (S), Ministerio de Obras Públicas, Miguel Carrasco Rodríguez y Andrés Contreras Herrera, "Ruta del Maipo Sociedad Concesio
n
a
r
i
a
S
.
A
.
"
.
n
a
r
i
a
S
.
A
.
"
.









Anexo N° 3:
Procedimiento para el cálculo mensual del desfase de los ingresos
1. Introducción
A partir de la habilitación del punto de cobro Troncal Río Maipo, señalado en el N° 1 de la resolución DGC (exenta) N° 131, de 2025, la cual será sancionada en el decreto supremo que apruebe el presente convenio, la Sociedad Concesionaria tendrá un desfase en sus ingresos derivado del cambio en el mecanismo de recaudación que operaba en la Plaza de Peaje Troncal Río Maipo versus el nuevo mecanismo de recaudación que se implementó. Lo mismo ocurrirá a partir del término de la marcha blanca señalada en el numeral 5.1 literal (b) de la resolución DGC (exenta) N° 108, de 2024, la cual será sancionada en el decreto supremo que apruebe el presente convenio, cuando la Sociedad Concesionaria tendrá un desfase en sus ingresos derivados del cambio en el mecanismo de recaudación que opera en las Plazas de Peaje Tocornal y Gabriela versus el nuevo mecanismo de recaudación que se implementará.
Dado lo anterior, las partes acuerdan que, para determinar el desfase de los ingresos producto de lo señalado en el párrafo precedente, se seguirá el siguiente procedimiento para su cálculo mensual.
2. Desfase de Ingresos Base
Se considerará como base de cálculo del desfase de ingresos que la Sociedad Concesionaria hubiese tenido, en caso de mantenerse en operación los sistemas de cobro en la Plaza de Peaje Troncal Río Maipo y las Plazas de Peaje Lateral Tocornal y Lateral Gabriela (Manual y Telepeaje Stop&Go y Non Stop con suscripción previa y medio de pago PAT-PAC), el siguiente desfase de ingresos para la facturación y cobro de las transacciones para un mes "i" dado:
TABLA N° 1 dv(i) [
U
F]
U
F] 3. Procedimiento de cálculo de desfase de ingresos
El desfase de ingresos que tendrá la Sociedad Concesionaria en un mes "i" en los puntos de cobro Troncal Río Maipo, Troncal Tocornal y Troncal Gabriela, se determinará mediante la siguiente
fórmula:
fórmula: Donde:
i: Corresponde al mes calendario de contabilización en la "Cuenta de Inversión y Compensación Convenio Ad-Referéndum N° 11". El mes 1 será el mes siguiente al de entrada en vigencia del presente Convenio.
D(i): Corresponde al desfase de ingresos a contabilizar en la "Cuenta de Inversión y Compensación Convenio Ad-Referéndum N° 11", expresado en Unidades de Fomento con dos decimales.
Id(i): Corresponde a los ingresos devengados en el mes "i", por transacciones valorizadas de los puntos de cobro Troncal Río Maipo, Troncal Gabriela y Troncal Tocornal, teniendo en consideración las modificaciones a dicho valor incorporadas en el "Modelo de decreto supremo que se dictará al efecto", que forma parte del oficio Ord. N° 22.402, de fecha 11 de noviembre de 2025, del Inspector Fiscal, y que se dispondrá en el decreto supremo que apruebe el presente Convenio. Se considerarán las transacciones de los puntos de cobro Troncal Río Maipo, Troncal Gabriela y Troncal Tocornal, valorizadas a la tarifa vigente al momento de la transacción y convertidas a Unidades de Fomento con dos decimales, utilizando para su conversión el valor de dicha unidad para el último día del mes en el cual se produjeron las transacciones.
Ip(i): Corresponde a los ingresos percibidos en el mes "i", por transacciones de los puntos de cobro Troncal Río Maipo, Troncal Gabriela y Troncal Tocornal, pagadas en el mes "i", expresados en Unidades de Fomento con dos decimales, utilizando para su conversión el valor de dicha unidad para el último día del mes en que se percibieron los ingresos.
NI(i): Corresponde a los montos de las transacciones definidas como "No Identificable" de los puntos de cobro Troncal Río Maipo, Troncal Gabriela y Troncal Tocornal, de acuerdo con la definición señalada en el N° 8 numeral ii. literal o) segunda viñeta del decreto supremo MOP N° 154, de 2018. Los montos correspondientes a las transacciones "No Identificables" del mes "i" serán expresados en Unidades de Fomento con dos decimales, utilizando para su conversión el valor de dicha unidad para el último día del mes en que se produjeron las transacciones.
INC(i): Corresponde a los montos de las trans acciones definidas como "Incobrable" de los puntos de cobro Troncal Río Maipo, Troncal Gabriela y Troncal Tocornal, de acuerdo con la definición señalada en el N° 8 numeral ii. literal p) segunda viñeta del decreto supremo MOP N° 154, de 2018, que han sido contabilizadas en la "Cuenta de Inversión y Compensación Convenio Ad-Referéndum N° 11". Los montos correspondientes a las transacciones "Incobrables" del mes "i" serán expresados en Unidades de Fomento con dos decimales, utilizando para su conversión el valor de dicha unidad para el último día del mes en que se registraron dichas transacciones en la "Cuenta de Inversión y Compensación Convenio Ad-Referéndum N° 11".
dv(i): Corresponde al desfase de ingresos base, que hubiese tenido la Sociedad Concesionaria de haber seguido operando bajo la modalidad de cobro establecida en el Contrato de Concesión anterior a la modificación establecida en el decreto supremo MOP N° 293, de 2015, que corresponde a los montos señalados en la Tabla N° 1 del presente Anexo N° 3.
Im(i): Se refiere al monto imputado en la "Cuenta de Inversión y Compensación Convenio Ad-Referéndum N° 11", que corresponde a las diferencias de ingresos entre Escenario Base y Escenario Real mayor que cero, se gún se define en el punto 6.3 del presente Convenio.
Para la determinación de los valores Id(i), I p(i), NI(i), INC(i) e Im(i) la Sociedad Concesionaria deberá incorporar en el módulo de auditoría del Back Office Comercial, al que deberá tener acceso el Inspector Fiscal, un informe que contenga lo siguiente para cada mes "i":
. Las transacciones de los puntos de cobro Troncal Río Maipo, Troncal Gabriela y Troncal Tocornal que ocurrieron en dicho mes;
. Las transacciones ocurridas en el mes "i" o en cada uno de los meses anteriores al mes "i", que han sido pagadas por los usuarios, a través de alguno de los medios de pago disponibles;
. Las transacciones definidas como "No Identificable"; y
. Las transacciones definidas como "Incobrable", esto es, no pagadas en el plazo de 15 meses desde ocurridas.
18. Déjase constancia que los gastos que irrogue el presente decreto supremo serán con cargo a futuros presupuestos.
19. Dentro del plazo de 10 días, contado desde la publicación en el Diario Oficial del presente decreto supremo, tres transcripciones de ésta serán suscritas ante notario por "Ruta del Maipo Sociedad Concesionaria S.A." en señal de aceptación de su contenido, debiendo protocolizar ante el mismo notario uno de los ejemplares. Dentro de los 5 días siguientes a dicha protocolización, dos de las transcripciones debidamente suscritas deberán entregarse, una en la Oficina de Partes de la Dirección General de Concesiones de Obras Públicas y otra en la Fiscalía del Ministerio de Obras Públicas, ambas con una copia autorizada de la protocolización efectuada. Para acreditar la personería de quien suscriba las transcripciones en representación de la Sociedad Concesionaria, deberá adjuntar copia autorizada de la escritura pública en que conste dicho poder, con una vigencia no superior a tres meses.
Anótese, tómese razón y publíquese.- Por orden del Presidente de la República, Danilo Núñez Izquierdo, Ministro de Obras Públicas (S).- Ministro de Hacienda.
Lo que transcribo a Ud. para su conocimiento.- Saluda Atte. a Ud., Danilo Núñez Izquierdo, Subsecretario de Obras Públicas.