MODIFICA LA CONCESIÓN DE SERVICIO INTERMEDIO DE TELECOMUNICACIONES A LA EMPRESA CONECT SpA
Santiago, 10 de febrero de 2026.- Con esta fecha se ha decretado lo que sigue:
Núm. 169 exento.
Vistos:
a) El decreto ley Nº 1.762, de 1977, que creó la Subsecretaría de Telecomunicaciones, en adelante la Subsecretaría.
b) La Ley Nº 18.168, General de Telecomunicaciones, en adelante la ley.
c) La resolución Nº 36, de 2024, de la Contraloría General de la República, que fija normas sobre exención del trámite de toma de razón.
d) El decreto supremo Nº 103, de 2008, del Ministerio de Transportes y Telecomunicaciones.
e) El decreto supremo Nº 193, de 2002, del Ministerio de Transportes y Telecomunicaciones, que otorgó la concesión y sus modificaciones posteriores.
Considerando:
a) Lo solicitado por la interesada mediante ingreso Subtel Nº 51.703 de 23.03.2022, complementado mediante ingresos Subtel Nº 138.190 de 20.09.2023, 138.185 de 20.09.203, Nº 148.075 de 11.10.2023, Nº 148.073 de 11.10.2023, Nº 51.734 de 18.04.2024 y Nº 145.836 de 02.01.2026.
b) La solicitud de autorización provisoria de la modificación de la concesión indicada en la letra precedente, ingreso Subtel Nº 51.733 de 23.02.2022, por cuyo intermedio la interesada expuso los fundamentos de su petición, en torno a la gravedad y urgencia que justifican acceder a ella, autorizada a través de la resolución exenta Nº 1.358, de 2022, de la Subsecretaría.
c) Que no se presentaron oposiciones a la publicación en extracto de la solicitud de modificación de concesión.
Decreto:
Modifícase la concesión de Servicio Intermedio de Telecomunicaciones, cuyo actual titular es la empresa Conect SpA, RUT Nº 96.965.220-K, con domicilio en Av. General Mackenna Nº 1369, comuna de Santiago, Región Metropolitana de Santiago, en adelante la concesionaria, en el sentido que se indica en los numerandos siguientes:
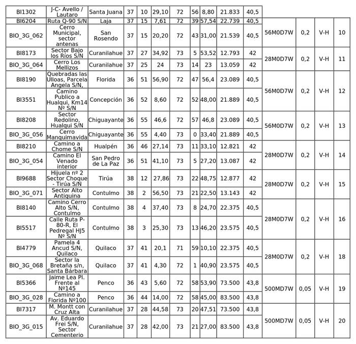
1. Autorízase a la concesionaria para instalar, operar y explotar diecinueve (19) radioenlaces, según se indica a continuación:
Para la Región del Biobío


V: Vertical; H: Horizontal.
Las frecuencias 73.500 y 83.500 MHz, corresponden a las frecuencias centrales de la banda 71-76 y 81-86 GHz, respectivamente. Resolución exenta N°3 de 2010, que fija norma técnica para el uso de dichas bandas.
Los radioenlaces se conectarán a la red existente, a través de medios propios o de terceros debidamente autorizados.
2. Los plazos máximos se indican a continuación:

3. Apruébase la solicitud presentada por la concesionaria, conforme a las disposiciones técnico legales que rigen el servicio de telecomunicaciones concedido. La documentación respectiva quedará archivada en la Subsecretaría de Telecomunicaciones.
4. Es obligación de la concesionaria el conocimiento y cumplimiento de las disposiciones legales, reglamentarias y técnicas que regulan las telecomunicaciones, en lo que le sean aplicables.
5. Déjese sin efecto la resolución exenta Nº 1.358, de 2022, de la Subsecretaría.
6. La notificación del presente acto autorizatorio se realizará desde la casilla partes@subtel.gob.cl.
Anótese, comuníquese, notifíquese a la interesada y publíquese en el Diario Oficial.- Por orden del Presidente de la República, Juan Carlos Muñoz Abogabir, Ministro de Transportes y Telecomunicaciones.
Lo que transcribo para su conocimiento.- Saluda atentamente a Ud., Claudio Araya San Martín, Subsecretario de Telecomunicaciones.