MODIFICA LA RESOLUCIÓN N°395 EXENTA (V. Y U.), DE FECHA 21 DE MARZO DE 2025, QUE LLAMA A PROCESO DE SELECCIÓN EN CONDICIONES ESPECIALES PARA EL OTORGAMIENTO DE SUBSIDIOS HABITACIONALES DEL TÍTULO II, EN LA MODALIDAD DE CONSTRUCCIÓN DE VIVIENDA NUEVA, CON PROYECTO DESARROLLADO, DEL PROGRAMA DE HABITABILIDAD RURAL, REGULADO POR EL DS N°10 (V. y U.), DE 2015, A LAS REGIONES QUE INDICA, EN LA ALTERNATIVA DE POSTULACIÓN INDIVIDUAL O COLECTIVA, Y APRUEBA CUARTA NÓMINA DE POSTULANTES SELECCIONADOS
Santiago, 8 de abril de 2026.- Hoy se resolvió lo que sigue:
Núm. 584 exenta.
Vistos:
a) El DS Nº10 (V. y U.), de 2015, que reglamenta el Programa de Habitabilidad Rural, en especial sus artículos 36 y 38;
b) La resolución exenta N°1.993 (V. y U.), de fecha 27 de diciembre de 2024, que autoriza efectuar llamados a postulación y/o comprometer recursos durante el año 2025, en el otorgamiento de subsidios habitacionales y señala el monto de los recursos destinados, entre otros, a la atención a través del programa regulado por el DS N°10 (V. y U.), de 2015;
c) La Circular N°01, de fecha 13 de enero de 2025, de la Subsecretaría de Vivienda y Urbanismo, que comunica metas regionales del Programa Habitacional 2025, e indica el presupuesto disponible para asignar subsidios, entre otros, del Programa de Habitabilidad Rural;
d) La resolución exenta N°395 (V. y U.), de fecha 21 de marzo de 2025, que llama a proceso de selección en condiciones especiales para el otorgamiento de subsidios habitacionales del Título II, en la Modalidad de Construcción de Vivienda Nueva, con proyecto desarrollado, del Programa de Habitabilidad Rural, regulado por el DS N°10 (V. y U.), de 2015, a las regiones que indica, en la alternativa de postulación individual o colectiva;
e) La resolución exenta N°965 (V. y U.), de fecha 14 de julio de 2025, que exime de requisitos de postulación a 18 familias del proyecto "Nueva Esperanza", código de expediente 37727 de la comuna de Limache, Región de Valparaíso;
f) La resolución exenta N°1.598 (V. y U.), de fecha 23 de octubre de 2025, que exime de requisitos de postulación a 31 familias del proyecto "Villa Feliz", código de expediente 38197 de la comuna de Santa Cruz, Región del Libertador General Bernardo O'Higgins;
g) La resolución exenta N°1.800 (V. y U.), de fecha 26 de noviembre de 2025, que modifica la resolución exenta N°395 citada en el visto d) de la presente resolución;
h) La resolución exenta N°1.947 (V. y U.), de fecha 22 de diciembre de 2025, que modifica la resolución exenta N°395 citada en el visto d) de la presente resolución;
i) La resolución exenta N°2.069 (V. y U.), de fecha 31 de diciembre de 2025, que modifica la resolución exenta N°395 citada en el visto d) de la presente resolución, y aprueba primera, segunda y tercera nómina de postulantes seleccionados, y
Considerando:
a) Que, mediante la resolución exenta N°395 citada en el visto d) de la presente resolución, se llamó a proceso de selección nacional en condiciones especiales para el otorgamiento de subsidios habitacionales del Título II del Programa de Habitabilidad Rural, regulado por el DS Nº10 (V. y U.), de 2015, y sus modificaciones, en la Modalidad de Construcción de Vivienda Nueva, con proyecto desarrollado, en la alternativa de postulación individual o colectiva;
b) Que, mediante la resolución exenta N°965 citada en el visto e) de la presente resolución, se exime del requisito establecido en la letra a) del artículo 3 del DS N°10 (V. y U.), de 2015, a 18 familias del PH "Nueva Esperanza", permitiendo que este proyecto, código de expediente 37727, pueda contar con menos del 80% de sus integrantes con residencia acreditada en la comuna en la cual se desarrollará el proyecto;
c) Que, mediante la resolución exenta N°1.598 citada en el visto f) de la presente resolución, se exime del requisito establecido en la letra d. del resuelvo 25 de la resolución exenta N°395 citada en el visto d) de la presente resolución, a 31 familias del Comité Vivienda "Villa Feliz", de la comuna de Santa Cruz, permitiendo que el proyecto de Construcción en el Conjunto Habitacional "Villa Feliz", código de expediente 38197, pueda estar emplazado en un terreno ubicado a una distancia menor a 5 kilómetros de una localidad urbana o de extensión urbana de más de 10.000 habitantes de acuerdo con los datos del Instituto Nacional de Estadísticas de 2017;
d) Que, de acuerdo con lo indicado en los resuelvos 1 y 3 de la resolución exenta N°395 citada en el visto d) de la presente resolución, y sus modificaciones realizadas mediante las resoluciones exentas N°1.800 y N°1.947, citadas en los vistos g) y h) de la presente resolución respectivamente, se establece un cuarto y último proceso de selección para aquellos postulantes que cuenten con un proyecto en estado Aprobado Definitivo o Aprobado Condicional, según corresponda, hasta el día 29 de diciembre de 2025;
e) Que, el llamado a postulación realizado mediante la resolución exenta N°395 citada en el visto d) de la presente resolución, en su resuelvo 19 estableció un proceso de selección según orden de prelación, de acuerdo con los factores de puntaje determinados en la tabla inserta en dicho resuelvo;
f) La necesidad de modificar y complementar determinados aspectos de la resolución exenta N°395 citada en el visto d) de la presente resolución; dicto la siguiente
Resolución:
1. Modifícase la resolución exenta N°395 citada en el visto d) de la presente resolución, en el siguiente sentido:
1.1 Agregar un nuevo segundo inciso en el resuelvo 2, del siguiente tenor:
"Aquellos proyectos que sean seleccionados en estado "Aprobado Definitivo", contarán con un plazo máximo de 15 días corridos desde la fecha de publicación en el Diario Oficial de la última resolución que selecciona a las familias, para protocolizar el Contrato de Construcción o los Convenios de Prestación de Servicios de Asistencia Técnica, según corresponda y fijar el monto definitivo para la ejecución de las obras. Una vez Protocolizado el Contrato de Construcción o los Convenios, Serviu contará con un plazo máximo de 15 días corridos para emitir la resolución de calificación definitiva del proyecto. El Director o la Directora del Serviu respectivo, mediante resolución fundada, podrá otorgar una o más prórrogas por un plazo igual al de la prórroga original."
1.2 Modificar el primer inciso del resuelvo 6, reemplazando el guarismo "2.238.769" por "3.759.527,0087".
1.3 Reemplazar la tabla inserta en el resuelvo 6, por la siguiente:

1.4 Agregar un nuevo tercer inciso en el literal b. del resuelvo 9, del siguiente tenor:
"En aquellos proyectos seleccionados en la Tipología de Construcción de Conjuntos Habitacionales, donde los recursos otorgados para el subsidio complementario de Mejoramiento de Terreno sean insuficientes para ejecutar correctamente la totalidad de las obras, debido a situaciones imposibles de prever al momento de la evaluación y calificación del proyecto, la Seremi Minvu respectiva, podrá incrementar dicho valor, pudiendo complementar el monto ya asignado para alcanzar un máximo de hasta 200 Unidades de Fomento por familia, contando previamente con la autorización mediante resolución fundada del Serviu respectivo, de acuerdo con lo establecido en el último inciso de la letra a) del artículo 10 del DS N°10 (V. y U.), de 2015."
1.5 Eliminar el literal f. del resuelvo 9.
1.6 Agregar un nuevo inciso final en el resuelvo 10, del siguiente tenor:
"Previo a la emisión de la resolución que asigna los montos para transporte, la Seremi Minvu, a través del/la Jefe/a del Departamento de Planes y Programas, deberá consultar a la División de Política Habitacional del Minvu sobre la disponibilidad de recursos."
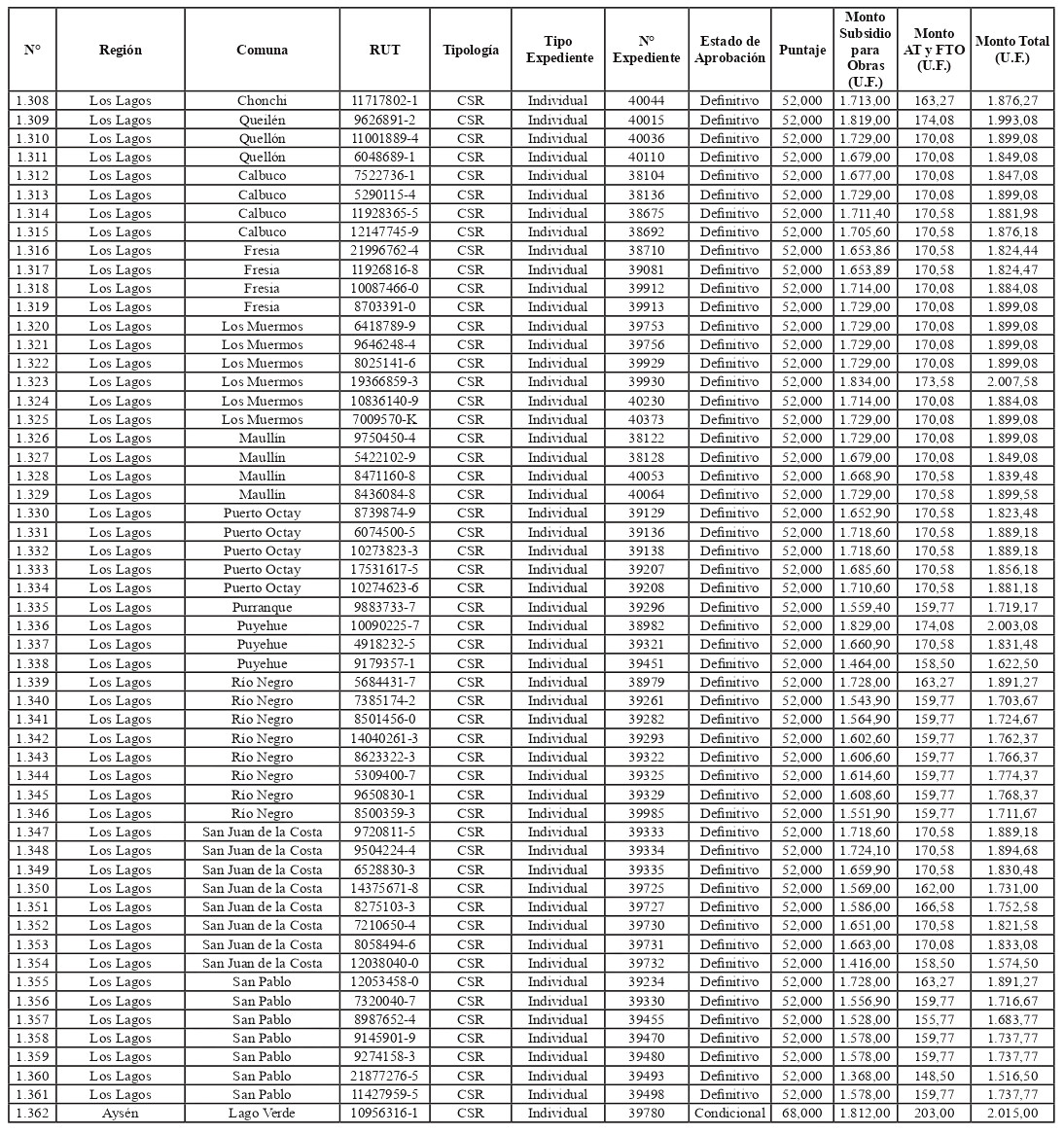
2. Apruébase la cuarta nómina de familias seleccionadas para el otorgamiento de subsidios habitacionales del Programa de Habitabilidad Rural en su título II, regulado por el DS N°10 (V. y U.), de 2015, correspondientes al llamado a postulación nacional en condiciones especiales, regulado por la resolución exenta N°395 citada en el visto d) de la presente resolución, la que se adjunta a la presente resolución y se entenderá como parte integrante de ésta.
3. Asígnanse los recursos disponibles para la selección referida en el resuelvo 2 precedente, cuya distribución por región se detalla en la siguiente tabla:

4. Impútase el monto total de 2.514.517,0387 Unidades de Fomento señaladas en el resuelvo 3 precedente, a los recursos disponibles para las regiones de Atacama, Coquimbo, Valparaíso, Metropolitana, O'Higgins, Maule, Ñuble, Biobío, La Araucanía, Los Ríos, Los Lagos y Aysén, en el Programa de Habitabilidad Rural correspondiente al año 2025.
5. Facúltase a las Seremi Minvu de las regiones de Atacama, Coquimbo, Valparaíso, Metropolitana, O'Higgins, Maule, Ñuble, Biobío, La Araucanía, Los Ríos, Los Lagos y Aysén, para rectificar errores de digitación en el proceso del llamado a postulación nacional en condiciones especiales, regulado por la resolución exenta N°395 citada en el visto d) de la presente resolución, pudiendo la Seremi Minvu respectiva, corregir nombres y números de cédula de identidad de los postulantes/beneficiarios, número de expediente y rectificar los montos de subsidios asignados.
Si la rectificación del subsidio supone un aumento del monto del proyecto, sólo podrá asignarse hasta el valor máximo establecido en el llamado regulado mediante la resolución exenta N°395 citada en el visto d) de la presente resolución y será imputado a la región respectiva en el año del programa habitacional vigente. En tales casos, y previo a la emisión de la resolución de asignación de recursos, la Seremi Minvu deberá contar con la confirmación de disponibilidad de programa, que será otorgada por la División de Política Habitacional.
Anótese, publíquese y archívese.- Iván Slavko Poduje Capdeville, Ministro de Vivienda y Urbanismo.
Lo que transcribo a Ud., para su conocimiento.- Natalia Aguilar Bravo, Subsecretaria de Vivienda y Urbanismo.
ANEXO CUARTA NÓMINA DE FAMILIAS SELECCIONADAS
LLAMADO A POSTULACIÓN PARA CONSTRUCCIÓN DE VIVIENDAS NUEVAS, REGULADO POR LA resolución exenta N°395 (V. Y U.), DE 2025 PROGRAMA HABITABILIDAD RURAL DS N°10 (V. Y U.), DE 2015

















