EXTRACTO
Extracto de resolución exenta del Servicio de Impuestos Internos Nº 39, de 27 de marzo de 2025, que: "Actualiza Nómina de Bienes Afectos contenida en la resolución Ex. Nº 127, de 2024, según lo establecido en el artículo 9 de la ley Nº 21.420".
El texto íntegro de esta resolución está publicado en la Oficina Virtual del Servicio de Impuestos Internos en internet (www.sii.cl).-
Javier Etcheberry Celhay, Director.
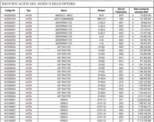
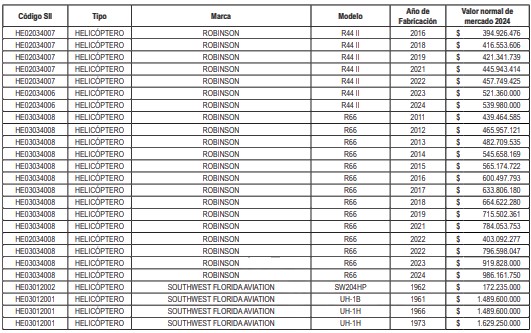
NÓMINA DE HELICÓPTEROS Y AVIONES
Actualizado por resolución exenta SII Nº 39 del 27 de marzo de 2025












NÓMINA DE YATES
Actualizado por resolución exenta SII Nº 39 del 27 de marzo de 2025







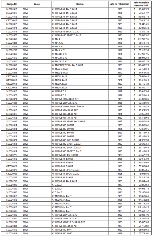
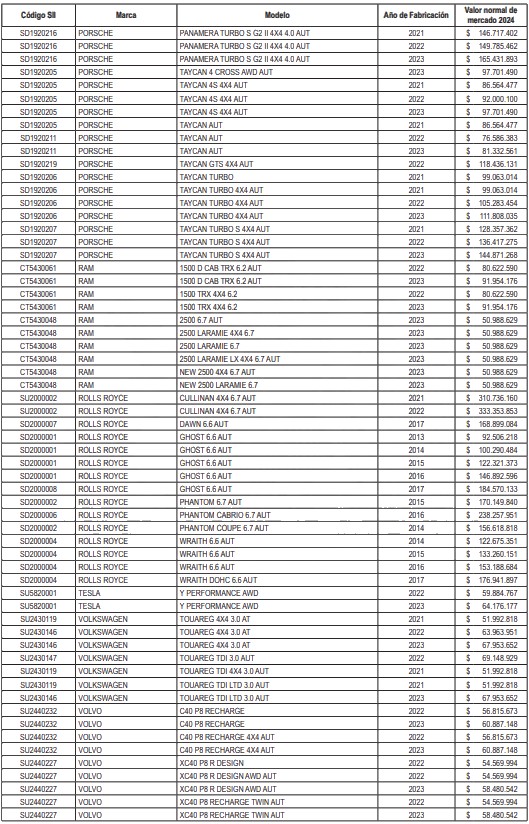
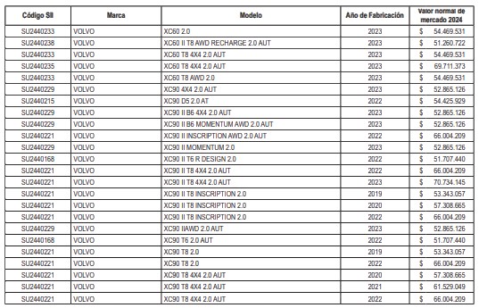
NÓMINA DE AUTOMÓVILES, STATION WAGONS Y VEHÍCULOS SIMILARES
Actualizado por resolución exenta SII Nº 39 del 27 de marzo de 2025























