ESTABLECE NUEVA ÁREA DE REGULACIONES CUARENTENARIAS PARA EL CONTROL Y ERRADICACIÓN DE LA MOSCA DEL MEDITERRÁNEO (CERATITIS CAPITATA W.) PARA EL MERCADO DE CHINA
Núm. 1.401 exenta.- Santiago, 7 de mayo de 2025.
Vistos:
La ley Nº 18.755 de 1989, del Ministerio de Agricultura, que establece normas sobre el Servicio Agrícola y Ganadero, deroga ley Nº 16.640 y otras disposiciones; la ley Nº 19.880 de 2003, del Ministerio Secretaría General de la Presidencia, que establece Bases de los Procedimientos Administrativos que rigen los actos de los Órganos de la Administración del Estado; la resolución Nº 7 y Nº 8 de 2019, de la Contraloría General de la República, que fija normas sobre exención del trámite de toma de razón; el decreto ley Nº 3.557 de 1980, del Ministerio de Agricultura, sobre Protección Agrícola, y sus posteriores modificaciones; la resolución exenta Nº 3.513 de 7 de diciembre de 1995, publicada en el Diario Oficial el 13 de diciembre de 1995, de la Dirección Nacional del Servicio Agrícola y Ganadero, que declara a Chile como país libre de Ceratitis capitata (Wied), y sus modificaciones posteriores; y las facultades que invisto mediante la resolución exenta RA 240/1323/2023, del Servicio Agrícola y Ganadero, que designa Director Regional Metropolitano a Claudio Ternicier González.
Considerando:
1. Que, por resolución exenta Nº 3.513, citada en vistos, se declaró a Chile como país libre de la plaga de los vegetales conocida como "Mosca del Mediterráneo" (Ceratitis capitata Wied).
2. Que, con fecha 28 de abril de 2025 se ha detectado la presencia de nuevos ejemplares de "Mosca del Mediterráneo" (Ceratitis capitata Wied) alejadas de las detecciones iniciales en la comuna de Pudahuel.
3. Que, en virtud de lo dispuesto en el Nº 3 de la resolución Nº 3.513, el Servicio está facultado para adoptar las medidas fitosanitarias que sean necesarias para el control y erradicación de esta plaga.
4. Que, debe entenderse por área reglamentada, aquella en la cual los establecimientos frutícolas que se encuentran dentro de ella, los productos vegetales y otros artículos regulados, que ingresan, se mueven dentro de ella y provienen de la misma, están sujetas a medidas fitosanitarias.
5. Que, el Servicio, define como su área reglamentada la superficie incluida en un círculo de radio 7,2 km desde los puntos de detección, la cual es aceptada por la mayoría de los mercados de exportación, excepto por el mercado de China que considera un área cuarentenada de 27,2 km desde cada punto de detección.
6. Que, se hace necesario establecer restricciones cuarentenarias dirigidas específicamente al mercado de China, basadas en todos los protocolos de trabajo firmados con ese país y las aclaraciones oficiales recibidas con posterioridad.
7. Que, en virtud de lo expuesto se procede a lo siguiente.
Resuelvo:
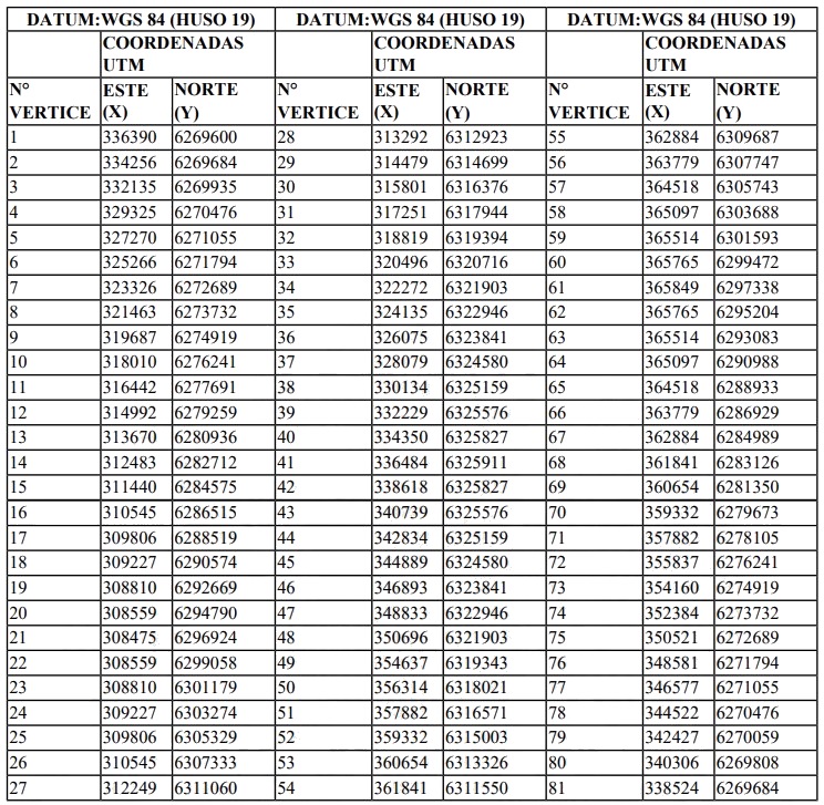
1. Establézcase:
a) A partir del 7 de mayo de 2025, como área cuarentenada para el mercado de China el polígono de 81 vértices, determinado por las siguientes coordenadas UTM, señaladas a continuación:

b) El polígono que determina el área reglamentada incorpora completamente a la comuna de Santiago, Cerrillos, Cerro Navia, Conchalí, El Bosque, Estación Central, Huechuraba, Independencia, La Cisterna, La Granja, La Pintana, La Reina, Lo Espejo, Lo Prado, Macul, Maipú, Ñuñoa, Pedro Aguirre Cerda, Providencia, Pudahuel, Quilicura, Quinta Normal, Recoleta, Renca, San Joaquín, San Miguel, San Ramón, Vitacura, Calera de Tango, Padre Hurtado y parcialmente las comunas de La Florida, Las Condes, Lo Barnechea, Peñalolén, Puente Alto, Pirque, San José de Maipo, Colina, Lampa, Til Til, San Bernardo, Buin, Melipilla, Curacaví, María Pinto, Talagante, El Monte y Peñaflor.
2. Dispóngase la ejecución de todas aquellas medidas fitosanitarias en el área cuarentenada ya contempladas en la Res. exenta Nº 1.180 de fecha 12 de abril de 2025.
3. Déjese establecido que los inspectores del SAG podrán fiscalizar la aplicación de las medidas fitosanitarias dispuestas en este Control Obligatorio, revisar documentación relacionada con las medidas implementadas, realizar inspección de los cultivos, colectar muestras, entre otras, a fin de dar cumplimiento a lo dispuesto precedentemente.
4. Déjese establecido que las transgresiones o incumplimientos de las medidas dispuestas, serán sancionadas de acuerdo a lo indicado en el decreto ley Nº 3.557 de 1980, sobre Protección Agrícola y al procedimiento establecido en la Ley Nº 18.755 Orgánica del Servicio Agrícola y Ganadero.
5. Publíquese la presente resolución conforme lo dispuesto en el Art. 6 del DL 3.557 de 1980, y en especial a lo dispuesto en su Inc. 3º, publicándose en el Diario Oficial y en los periódicos de mayor circulación de la Región.
Anótese, comuníquese y publíquese.- Claudio Armando Ternicier González, Director Regional Servicio Agrícola y Ganadero Región Metropolitana de Santiago.