MODIFICA CONCESIÓN DE SERVICIO INTERMEDIO DE TELECOMUNICACIONES A LA EMPRESA CLARO CHILE SpA
Santiago, 9 de mayo de 2025.- Con esta fecha se ha decretado lo que sigue:
Núm. 337 exento.
Vistos:
a) El decreto ley Nº 1.762 de 1977, que creó la Subsecretaría de Telecomunicaciones, en adelante la Subsecretaría.
b) La Ley Nº 18.168, General de Telecomunicaciones, en adelante la ley.
c) La resolución Nº 36 de 2024, de la Contraloría General de la República, que Fija Normas sobre Exención del Trámite de Toma de Razón.
d) El decreto supremo Nº 103 de 2008, del Ministerio de Transportes y Telecomunicaciones.
e) El decreto supremo Nº 179 de 1988, del Ministerio de Transportes y Telecomunicaciones, que otorgó la concesión y sus modificaciones posteriores.
Considerando:
a) Lo solicitado por la interesada mediante ingresos Subtel Nº 155.812, Nº 156.058 ambos de 09.12.2024 y Nº 162.978 de 27.12.2024.
b) Que no se presentaron oposiciones a la publicación en extracto de las solicitudes de modificación de concesión.
Decreto:
Modifícase la concesión de Servicio Intermedio de Telecomunicaciones, cuyo actual titular es la empresa Claro Chile SpA, RUT Nº 96.799.250-K, con domicilio en Avenida El Salto Nº 5450, comuna de Huechuraba, Región Metropolitana de Santiago, en adelante la concesionaria, en el sentido que se indica en los numerandos siguientes:
1. Autorízase a la concesionaria para instalar, operar y explotar un total de ocho (8) radioenlaces punto a punto, según se indican a continuación:
1.1. Para el ingreso Subtel Nº 155.812/2024:
Para las Regiones: del Libertador General Bernardo O'Higgins, del Maule, de La Araucanía y Metropolitana de Santiago.


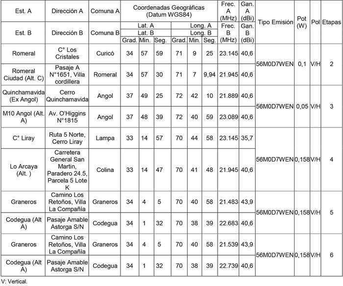
1.1.1. La infraestructura soporte de los sistemas radiantes, se indica a continuación:

1.2. Para el greso Subtel Nº 156.058/2024:
Para la Región: Metropolitana de Santiago.

1.2.1. La infraestructura soporte de los sistemas radiantes, se indica a continuación:

1.3. Para el ingreso Subtel N° 162.978/2024:
Para la Región: d e La Araucanía.

1.3.1. La infraestructura soporte de los sistemas radiantes, se indica a continuación:

2. Los plazos máximos se indican a continuación:

3. La presente autorización está afecta al pago de derechos por utilización del Espectro Radioeléctrico, a contar de la fecha de notificación de este decreto exento.
4. Apruébase el proyecto técnico base de la solicitud presentada por la concesionaria, en lo relacionado con los sistemas y equipos de telecomunicaciones autorizados en el presente decreto, conforme a las disposiciones técnico-legales que rigen el servicio de telecomunicaciones concedido. La documentación respectiva quedará archivada en la Subsecretaría de Telecomunicaciones.
5. Es obligación de la concesionaria el conocimiento y cumplimiento de las disposiciones legales, reglamentarias y técnicas que regulan las telecomunicaciones, en lo que le sean aplicables.
6. La notificación del presente acto autorizatorio se realizará desde la casilla partes@subtel.gob.cl.
Anótese, comuníquese, notifíquese a la interesada y publíquese en el Diario Oficial.- Por orden del Presidente de la República, Juan Carlos Muñoz Abogabir, Ministro de Transportes y Telecomunicaciones.
Lo que transcribe para su conocimiento.- Saluda atentamente a Ud., Claudio Araya San Martín, Subsecretario de Telecomunicaciones.