APRUEBA SOLICITUDES DE RENUNCIA Y MODIFICA LISTADO DE USUARIOS RESIDENCIALES PERTENECIENTES A LOS HOGARES BENEFICIARIOS AL SUBSIDIO TRANSITORIO AL PAGO DEL CONSUMO DE ENERGÍA ELÉCTRICA DEL PRIMER SEMESTRE DEL AÑO 2025
Núm. 35 exenta.- Santiago, 16 de junio de 2025.
Vistos:
Lo dispuesto en el decreto ley N° 2.224, de 1978, del Ministerio de Minería, que crea el Ministerio de Energía y la Comisión Nacional de Energía; en el decreto con fuerza de ley N° 4/20.018, de 2006, del Ministerio de Economía, Fomento y Reconstrucción, que fija texto refundido, coordinado y sistematizado del decreto con fuerza de ley N° 1, de Minería, de 1982, Ley General de Servicios Eléctricos, en materia de energía eléctrica, en adelante "LGSE"; en la ley N° 21.472, que crea un fondo de estabilización de tarifas y establece un nuevo mecanismo de estabilización transitorio de precios de la electricidad para clientes sometidos a regulación de precios, en adelante "ley N° 21.472"; en la ley N° 21.667, que modifica diversos cuerpos legales, en materia de estabilización tarifaria, en adelante "ley N° 21.667"; en la ley N° 19.880, que establece bases de los procedimientos administrativos que rigen los actos de los órganos de la Administración del Estado, en adelante "ley N° 19.880"; en el decreto exento N° 136, de 17 de junio de 2024, del Ministerio de Energía, que establece para los años 2024, 2025 y 2026 subsidio transitorio al pago del consumo de energía eléctrica y regula el procedimiento de concesión, pago y demás normas necesarias para su otorgamiento, modificado por el decreto exento N° 233, de 1 de octubre de 2024, del Ministerio de Energía, en adelante "decreto 136/2024"; en la resolución exenta N° 42, de 2 de octubre de 2024, que determina plazos de postulación al subsidio transitorio al pago del consumo de energía eléctrica del primer semestre del año 2025 y el monto máximo de recursos disponibles para el mismo, en adelante "RE 42/2024", modificada por la resolución exenta N° 49, de 5 de noviembre de 2024, en adelante "RE 49/2024", ambas del Ministerio de Energía; en el oficio ordinario N° 41068-DFP, de 29 de noviembre de 2024, de la Tesorería General de la República; en el oficio ordinario electrónico N° 259613, de 3 de diciembre de 2024, de la Superintendencia de Electricidad y Combustibles, en adelante "SEC"; en el oficio ordinario electrónico N° 262267, de 18 de diciembre de 2024, de la SEC; en la resolución exenta N° 78, de 27 de diciembre de 2024, del Ministerio de Energía, que aprueba el monto total asignado al subsidio transitorio al pago del consumo de energía eléctrica del primer semestre del año 2025 y el listado de usuarios residenciales pertenecientes a los hogares beneficiarios, en adelante "RE 78/2024"; en el oficio ordinario N° 1831, de fecha 30 de diciembre de 2024, del Ministerio de Energía; en el oficio ordinario N° 44003-DFP, de 30 de diciembre de 2024, de la Tesorería General de la República; en la resolución exenta N° 1, de 2 de enero de 2025, del Ministerio de Energía, que dispone recursos adicionales para el financiamiento del subsidio transitorio al pago del consumo de energía eléctrica para el primer semestre del año 2025 y aprueba nuevo listado de usuarios residenciales pertenecientes a los hogares beneficiarios, en adelante "RE 01/2025"; en los oficios ordinarios N°s. 472, 506, 611, 662, 712, 750, 774, todos de 2025 y de la jefatura de la División de Acceso y Desarrollo Social; en la resolución N° 36, de 2024, de la Contraloría General de la República, y
Considerando:
1. Que, el artículo sexto transitorio de la ley N° 21.667 estableció que durante los años 2024, 2025 y 2026 se otorgará un subsidio transitorio al pago del consumo de energía eléctrica para usuarios residenciales a que se refiere el artículo 151° de la LGSE, mediante decreto supremo, fundado, expedido a través del Ministerio de Energía, dictado bajo la fórmula "Por orden del Presidente de la República", el que deberá ser suscrito, además, por el Ministro de Hacienda y el Ministro de Desarrollo Social y Familia.
2. Que, con fecha 17 de junio de 2024, dando cumplimiento al mandato indicado en el considerando anterior, este Ministerio dictó el decreto exento N° 136/2024, acto administrativo que establece para los años 2024, 2025 y 2026 un subsidio transitorio al pago del consumo de energía eléctrica y regula el procedimiento de concesión, pago y demás normas necesarias para su otorgamiento.
3. Que, con fecha 1 de octubre de 2024, se tramitó el decreto exento N° 233, del Ministerio de Energía, que modifica el decreto exento N° 136, del año 2024, con la finalidad de ajustar procedimientos para facilitar a la población priorizada presentar su solicitud y acceso a este beneficio, así como un mejor desarrollo del procedimiento para su materialización.
4. Que, mediante la RE 42/2024, se fijaron las fechas para presentar solicitudes al subsidio transitorio al pago del consumo de energía eléctrica del primer semestre del año 2025, así como el monto máximo de recursos disponibles para financiar el subsidio transitorio al pago del consumo de energía eléctrica en el periodo relativo al primer semestre del año 2025. Este monto corresponde a sesenta y tres millones de dólares de los Estados Unidos de América, en su equivalente en moneda nacional. Dicha resolución fue modificada por la RE 49/2024.
5. Que, en el marco del proceso de recepción de solicitudes al subsidio transitorio al pago del consumo de energía eléctrica del primer semestre de 2025, esta Cartera de Estado recibió a través de la plataforma digital gubernamental habilitada para estos efectos, un total de 1.889.701 (un millón ochocientos ochenta y nueve mil setecientos una) solicitudes válidas, es decir, que contienen todos sus campos con datos completos y legibles.
6. Que, conforme a lo dispuesto en el literal a. del artículo 4° del procedimiento aprobado mediante el decreto 136/2024, el Ministerio de Desarrollo Social y Familia efectuó la revisión de los antecedentes sociales de los potenciales beneficiarios, en base a la información contenida en el Registro Social de Hogares vigente al primer día hábil del mes en que comenzó el período de ingreso de solicitudes, lo que corresponde al día 1 de octubre de 2024. De esta forma, esa Cartera de Estado comunicó con fecha 2 de diciembre de 2024 el resultado de la antedicha revisión y de los antecedentes de los potenciales beneficiarios a la SEC y al Ministerio de Energía, a través del Registro de Información Social del Ministerio de Desarrollo Social y Familia, en consideración a lo establecido en el artículo 7° del decreto supremo N° 160, de 2007, del Ministerio de Planificación, y los convenios de colaboración y conectividad suscritos entre el Ministerio de Planificación, la SEC y la Subsecretaría de Energía.
7. Que, en cumplimiento de lo dispuesto en el literal b. del artículo 4° del procedimiento aprobado mediante el decreto 136/2024, la SEC solicitó a cada empresa o cooperativa concesionaria de servicio público de distribución la revisión del estado de pago de la cuenta de los usuarios residenciales pertenecientes a los potenciales beneficiarios, asociados a los números identificatorios del cliente, indicados por éstos al momento de ingresar sus solicitudes, con el fin de verificar que dichos usuarios residenciales se encontraran al día en el pago de las cuentas por concepto de consumo eléctrico, así como la existencia de agrupaciones de viviendas. Lo anterior fue materializado a través de la emisión del oficio ordinario electrónico N° 259613, de fecha 3 de diciembre de 2024, de la SEC.
8. Que, de acuerdo con lo dispuesto en el literal c. del artículo 4° del procedimiento aprobado mediante el decreto 136/2024, la SEC, a través de su oficio ordinario electrónico N° 262267, de fecha 18 de diciembre de 2024, remitió a esta Secretaría de Estado los dos listados exigidos por dicha disposición. Dichos listados contienen la información correspondiente a: i) los hogares que cumplen con los requisitos para acceder al subsidio transitorio al pago del consumo de energía eléctrica; y ii) los datos de aquellos hogares que no cumplen con los requisitos antes señalados.
9. Que, de acuerdo con lo señalado en los considerandos precedentes y a lo dispuesto en el artículo 7° del procedimiento establecido mediante el decreto 136/2024, esta Secretaría de Estado, a través de su RE 78/2024 aprobó: (i) el monto total máximo de recursos necesarios para financiar el subsidio transitorio al pago del consumo de energía eléctrica en el primer semestre de 2025; (ii) el listado de los 1.241.003 hogares que accederán a este beneficio; (iii) el listado de los 567.385 usuarios residenciales asociados a las solicitudes sujetas a financiamiento adicional para ser beneficiarios del subsidio transitorio al pago del consumo de energía eléctrica del primer semestre de 2025; (iii) el listado de los 81.311 hogares que no accederán al beneficio; y (iv) el listado de 2 solicitudes desistidas en el marco del proceso de solicitud del subsidio transitorio al pago del consumo de energía eléctrica en el primer semestre de 2025.
10. Que, conforme a lo dispuesto en el artículo 7° del procedimiento aprobado mediante el decreto 136/2024, el Ministerio de Energía, a través de su oficio ordinario N° 1831, de fecha 30 de diciembre de 2024, solicitó a la Tesorería General de la República, en su calidad de administradora del Fondo de Estabilización de Tarifas, que informara la equivalencia en moneda nacional de los 28 millones de dólares de los Estados Unidos de América, monto necesario para financiar la totalidad de las solicitudes de subsidio recibidas para el primer semestre de 2025, a efectos de proceder a la emisión de la resolución que dispone recursos adicionales para el financiamiento del subsidio transitorio al pago del consumo de energía eléctrica del primer semestre de 2025, con cargo a los recursos del Fondo de Estabilización de Tarifas autorizados por el inciso segundo del artículo sexto transitorio de la ley N° 21.667 para el año 2025, y con ello verificar el cumplimiento de la condición establecida para el financiamiento de este beneficiarios sujeta a financiamiento adicional aprobada por la RE 78/2024.
11. Que, la Tesorería General de la República dio respuesta a la comunicación señalada en el considerando precedente, a través de su oficio ordinario N° 44003-DFP, de 30 de diciembre de 2024, informando que el equivalente en moneda nacional del monto de 28 millones de dólares de los Estados Unidos de América corresponde a $27.900.880.000.- (veintisiete mil novecientos millones ochocientos ochenta mil pesos), a efectos de ser considerado en la emisión de la resolución que disponga recursos adicionales con respecto a los recursos ya aprobados mediante la RE 78/2024, para el financiamiento del subsidio transitorio al pago del consumo de energía eléctrica del primer semestre de 2025, los que se contabilizarán con cargo a los recursos del Fondo de Estabilización de Tarifas autorizados por el inciso segundo del artículo sexto transitorio de la ley N° 21.667 para el año 2025.
12. Que, conforme a lo informado por la Tesorería General de la República y considerando que para el financiamiento del subsidio transitorio al pago del consumo de energía eléctrica del primer semestre de 2025 a los 567.385 usuarios residenciales que quedaron sujetos a financiamiento adicional para el otorgamiento del subsidio transitorio al pago del consumo de energía eléctrica del primer semestre de 2025, se requieren $26.528.174.107.- (veintiséis mil quinientos veintiocho millones ciento setenta y cuatro mil ciento siete pesos), existían recursos suficientes para financiar el subsidio transitorio al pago del consumo de energía eléctrica del primer semestre de 2025 a la totalidad de los usuarios residenciales que quedaron sujetos a financiamiento adicional para su otorgamiento conforme a la RE 78/2024.
13. Que, en virtud de lo señalado en los considerados anteriores, este Ministerio a través de su RE 01/2025: (i) dispuso recursos adicionales por un monto de $27.900.880.000 (veintisiete mil novecientos millones ochocientos ochenta mil pesos), para el financiamiento del subsidio transitorio al pago del consumo de energía eléctrica del primer semestre de 2025, de acuerdo con lo informado por la Tesorería General de la República; (ii) verificó el cumplimiento de la condición que existan recursos adicionales para los beneficiarios adicionales; (iii) aprobó el monto total de recursos necesarios para financiar el subsidio transitorio al pago del consumo de energía eléctrica en el primer semestre del año 2025, respecto de las solicitudes que formaban parte de la lista de beneficiarios sujeta a financiamiento adicional, aprobada por el resuelvo 3° de la RE 78/2024, y (iv) aprobó el listado de usuarios residenciales pertenecientes a los nuevos hogares beneficiarios del subsidio transitorio al pago del consumo de energía eléctrica, correspondiente al primer semestre del año 2025.
14. Que, en atención al Art. 3°, letra d, del decreto exento N° 136/2024, relativo al procedimiento para desistir de la solicitud al subsidio transitorio al pago del consumo de energía eléctrica o para renunciar al mismo, esta Cartera de Estado ha recibido una serie de requerimientos en este sentido. En virtud de lo anterior, y en consideración a que el citado artículo refiere exclusivamente al mecanismo para ingresar la solicitud de desistimiento o renuncia y cuál es la información mínima que debe contener cada comunicación, se ha identificado la necesidad de contar con un procedimiento complementario que propenda a la concreción de la solicitud de renuncia, particularmente, conforme a los artículos establecidos en el título III, del referido decreto exento y la ley N° 18.410/1985, del Ministerio de Economía.
15. Que, el Ministerio de Energía, mediante oficio ordinario N° 435, de 27 de marzo de 2025, remitió a la SEC información que complementa el procedimiento de renuncia al subsidio transitorio al pago del consumo de energía eléctrica, establecido en el Art. 3°, letra d, del decreto exento N° 136/2024.
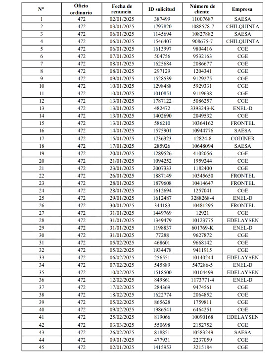
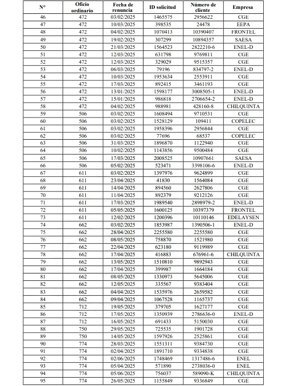
16. Que, con el objeto de informar las solicitudes de renuncia que ha tomado conocimiento esta Secretaría de Estado desde el 2 de enero de 2025, el Ministerio de Energía, a través de la jefatura de la División de Acceso y Desarrollo Social, mediante los oficios ordinarios N°s 472/2025, 506/2025, 611/2025, 662/2025, 712/2025, 750/2025 y 774/2025 ha informado un total de noventa y cinco (95) renuncias al subsidio transitorio para que la SEC aplique las medidas que correspondan, para que aquellos usuarios residenciales identificados en el adjunto no continúen percibiendo los descuentos en su boleta de consumo eléctrico a contar de la siguiente fecha de facturación.


Resuelvo:
1°.- Téngase por acogido el listado de solicitudes de renuncia al subsidio transitorio al pago del consumo de energía eléctrica, referido en el considerando 16 del presente acto administrativo, correspondiente al primer semestre del año 2025, aprobado por la RE 78/2024 y la RE 01/2025, ambas del Ministerio de Energía.
2°.- Modifíquese el listado de usuarios residenciales pertenecientes a los nuevos hogares beneficiarios del subsidio transitorio al pago del consumo de energía eléctrica, correspondiente al primer semestre del año 2025, aprobado por las RE 78/2024 y RE 01/2025, en razón de que 73 (setenta y tres) de las renuncias acogidas mediante el presente acto administrativo se contemplaban en la primera de ellas, y 22 (veintidós) en la segunda.
3°.- Apruébase el nuevo listado de usuarios residenciales pertenecientes a los nuevos hogares beneficiarios del subsidio transitorio al pago del consumo de energía eléctrica, correspondiente al primer semestre del año 2025, adjunto a la presente resolución y que se entiende formar parte de ella.
4°.- Publíquese en el sitio web institucional del Ministerio de Energía, www.energia.gob.cl, conforme a lo dispuesto en el inciso sexto del artículo 8° del procedimiento aprobado mediante el decreto exento N° 136/2024, el texto íntegro del listado aprobado en el resuelvo 3° del presente acto administrativo, a contar de la fecha de su publicación en el Diario Oficial, en forma permanente, gratuita y en formato PDF.
5°.- Comuníquese la presente resolución a la SEC, a efectos de que dicha entidad instruya a las empresas o cooperativas concesionarias de servicio público de distribución para que aquellos usuarios residenciales identificados en el considerando 16 del presente acto administrativo no continúen percibiendo los descuentos en su boleta de consumo eléctrico hasta el término del periodo semestral asociado a la segunda convocatoria del beneficio, conforme al procedimiento dispuesto en el artículo 3°, letra d, del decreto exento N° 136/2024.
6°.- Comuníquese la presente resolución al Ministerio de Desarrollo Social y Familia y al Ministerio de Hacienda, para su conocimiento y fines pertinentes.
7°.- Póngase a disposición de cada uno de los postulantes del listado aprobado en el resuelvo 3° del presente acto administrativo, a través de la plataforma institucional del Ministerio de Energía, disponible en la página web www.subsidioelectrico.cl, y mediante comunicación remitida a la dirección de correo electrónico de contacto de cada postulante informado al momento de la postulación, los resultados detallados de la revisión de cada una de las solicitudes de renuncia.
8°.- Publíquese la presente resolución en el sitio web del Ministerio de Energía y en el Diario Oficial, de conformidad al inciso sexto del artículo 8° del procedimiento aprobado mediante el decreto exento N° 136/2024.
Anótese, comuníquese, publíquese y archívese.- Diego Pardow Lorenzo, Ministro de Energía.
Lo que transcribo a Ud. para su conocimiento.- Saluda Atte. a Ud., María Fernanda Riveros Inostroza, Jefa División Jurídica, Subsecretaría de Energía.