SE ACTIVA VIGILANCIA INTENSIVA ANTE LA DETECCIÓN DE UN ÚNICO EJEMPLAR ADULTO DE MOSCA DEL MEDITERRÁNEO (CERATITIS CAPITATA WIED) EN LA COMUNA DE COLINA, REGIÓN METROPOLITANA
Núm. 2.428 exenta.- Santiago, 11 de agosto de 2025.
Vistos:
La Ley Nº 18.755 de 1989, del Ministerio de Agricultura, que establece normas sobre el Servicio Agrícola y Ganadero, deroga ley Nº 16.640 y otras disposiciones; la Ley Nº 19.880 de 2003, del Ministerio Secretaría General de la Presidencia, que establece Bases de los Procedimientos Administrativos que rigen los actos de los Órganos de la Administración del Estado; la resolución Nº 7 y Nº 8 de 2019, de la Contraloría General de la República, que fija normas sobre exención del trámite de toma de razón; el decreto ley Nº 3.557 de 1980, del Ministerio de Agricultura, sobre Protección Agrícola y sus posteriores modificaciones; la resolución exenta Nº 3.513 7 de diciembre de 1995, publicada en el Diario Oficial el 13 de diciembre de 1995, de la Dirección Nacional del Servicio Agrícola y Ganadero, que declara a Chile como país libre de Ceratitis capitata (Wied.), y sus modificaciones posteriores; la resolución exenta Nº 658 de 24 de enero de 2024, de la Dirección Nacional del Servicio Agrícola y Ganadero, que declara emergencia de la situación que indica y complementa la Res. Ex Nº 661/2022; resolución exenta RA 240/1323/2023, del Servicio Agrícola y Ganadero, que designa Director Regional Metropolitano a Claudio Ternicier González;
Considerando:
1. Que, el Servicio Agrícola y Ganadero, en adelante el SAG o el Servicio, tiene por objeto contribuir al desarrollo silvoagropecuario del país, mediante la protección, mantención e incremento de la salud animal y sanidad vegetal.
2. Que, para el cumplimiento de su objeto, el Servicio debe mantener un sistema de vigilancia y diagnóstico de las enfermedades silvoagropecuarias existentes en el país, o susceptibles de presentarse, y que a juicio del Servicio sean relevantes para la producción nacional, para lo cual, debe formular los programas de acción que correspondan.
3. Que, por resolución exenta Nº 3.513, citada en vistos, se declaró a Chile como país libre de la plaga de los vegetales conocida como "Mosca del Mediterráneo" (Ceratitis capitata Wied.).
4. Que, con fecha 5 de agosto de 2025, se ha detectado la presencia de un ejemplar hembra madura fértil no inseminada (adulto), del insecto en el área urbana de la comuna de Colina.
5. Que, mediante el establecimiento de un sistema de trampeo y muestreo de alta sensibilidad originado por una captura, se debe descartar si se está ante la presencia de un brote de mosca del Mediterráneo de manera oportuna.
6. Que, cuando se declara un brote de mosca del Mediterráneo (Ceratitis capitata Wied.) en el país se debe evitar la dispersión de la plaga por medidas cuarentenarias con el fin de preservar el patrimonio fitosanitario nacional en el resto del país.
7. Que, en virtud de lo dispuesto en el Nº 3 de la resolución Nº 3.513, el Servicio está facultado para adoptar las medidas fitosanitarias que sean necesarias para la vigilancia intensiva de esta plaga.
8. Que, las acciones que se desarrollan como respuesta a la detección de un único ejemplar fértil de mosca del Mediterráneo por el Sistema Nacional de Detección de Moscas de la Fruta (SNDMF); Vigilancia Fitosanitaria; denuncias u otras actividades, corresponda siempre a: un adulto macho fértil o un adulto hembra fértil no inseminada.
9. Que, se procederá conforme lo establecen los documentos D-VYC-VIS-PA-012 -versión 01 "Plan de Acciones Inmediatas del Programa Moscas de la Fruta"; I-PA-MF-01 Versión 02 "Plan de Acciones Correctivas para Mosca del Mediterráneo (Ceratitis capitata Wied.)" y según lo establecido en el Instructivo técnico I-VYC-VIS-PA-003 -versión 01 "Actividades de Vigilancia en el Programa Moscas de la Fruta".
10. Que, mediante resolución exenta Nº 658 del 24 de enero de 2024, de la Dirección Nacional del Servicio Agrícola y Ganadero, se ha declarado como emergencia la situación descrita para la comuna de Colina por la detección de un ejemplar de Ceratitis capitata Wied., en la comuna el 5 de agosto de 2025.
11. Que, en virtud de lo expuesto se procede a lo siguiente:
Resuelvo:
1. Se declara Vigilancia intensiva por la detección de un ejemplar de Mosca del Mediterráneo (Ceratitis capitata Wied.) en la comuna de Colina, conforme al Instructivo I-VYC-VIS-PA-003 Ver.1; Plan de Acción D-VYC-VIS-PA-012 Ver.1 e Instructivo I-PA-MF-01 Ver.2.
2. Establézcase para el caso de la plaga "Mosca del Mediterráneo" (Ceratitis capitata Wied.). El área de vigilancia intensiva, corresponde a una superficie cubierta por un radio de 4 km. alrededor de la detección.
3. Establézcase que
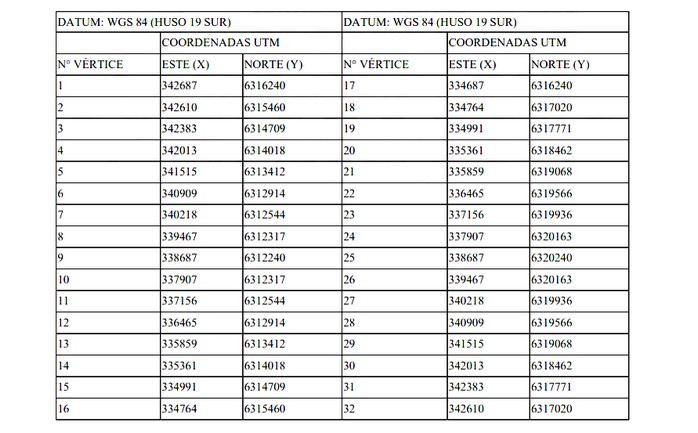
a) A partir de fecha 5 de agosto de 2025, en el área que conformará la emergencia de vigilancia intensiva, corresponderá al polígono de 32 vértices, determinado por las siguientes coordenadas UTM, señaladas a continuación:

b) El polígono que determina el área de vigilancia intensiva incorpora parcialmente las siguientes comunas: Colina y Lampa.
4. Dispóngase la ejecución de las siguientes medidas fitosanitarias en el área vigilada:

1. El Servicio podrá establecer puestos de control fitosanitario móviles y transitorios, dentro o fuera del área vigilada.
2. El Servicio podrá determinar acciones de inspección, verificación de origen y corroboración de la condición fitosanitaria en centros de acopio de productos hortofrutícolas u otros. Los propietarios de estas instalaciones deberán dar las facilidades a los inspectores SAG para la realización de las mismas.
3. Otras medidas que el Servicio determine.
5. Dispóngase la notificación de la presente resolución en el Diario Oficial y en los periódicos de mayor circulación de la Región.
6. Déjase establecido que las infracciones a la presente resolución serán sancionadas según lo dispone el decreto ley 3.557 de 1980, sobre Protección Agrícola.
Anótese, comuníquese y publíquese.- Claudio Armando Ternicier González, Director Regional, Servicio Agrícola y Ganadero, Región Metropolitana de Santiago.