FIJA LISTADO DE DERECHOS DE APROVECHAMIENTO DE AGUAS AFECTOS AL PAGO DE PATENTE A BENEFICIO FISCAL POR NO UTILIZACIÓN DE LAS AGUAS, PROCESO 2026
Núm. 5.357 exenta.- Santiago, 30 de diciembre de 2025.
Vistos:
1. Lo dispuesto en los artículos 129 bis 4 y siguientes del Código de Aguas;
2. Lo establecido en el artículo 25 de la ley N° 19.880, de 2003, que Establece las Bases de los Procedimientos Administrativos que Rigen los Actos de los Órganos de la Administración del Estado;
3. La resolución N° 36, de 2024, de la Contraloría General de la República, que fija normas sobre exención del Trámite de Toma de Razón;
4. Lo dispuesto en los artículos 2 y 9 de la Ley N° 19.253, que establece Normas sobre Protección, Fomento y Desarrollo de los Indígenas, y crea la Corporación Nacional de Desarrollo Indígena; y
5. Las atribuciones que me confiere el artículo 300 letra c) del Código de Aguas;
Considerando:
1. Que, acorde a lo previsto en el artículo 129 bis 8 del Código de Aguas, corresponde al Director General de Aguas, previa consulta a la organización de usuarios respectiva, determinar los derechos de aprovechamiento cuyas aguas no se encuentren total o parcialmente utilizadas al 31 de agosto de cada año, para lo cual deberá confeccionar un listado con los derechos afectos al pago de patente.
2. Que, la consulta antedicha fue publicada en el Diario Oficial con fecha 15 de septiembre de 2025.
3. Que, por disposición del artículo 129 bis 7 del Código de Aguas, la Dirección General de Aguas debe publicar la resolución que contenga el listado de derechos de aprovechamiento de aguas afectos a la obligación de pagar una patente a beneficio fiscal, por la no utilización total o parcial de las aguas.
4. Que, según lo establece el citado artículo 129 bis 7, la publicación en comento debe efectuarse el día 15 de enero de cada año o el primer día hábil inmediato si aquél fuere feriado, en el Diario Oficial, en forma destacada en un diario o periódico de la provincia respectiva y, si no lo hubiere, en uno de la capital de la región correspondiente, y en el sitio web institucional.
5. Que, asimismo, la referida publicación debe ser complementada por un mensaje radial de un extracto de ésta, en una emisora con cobertura territorial del área correspondiente.
6. Que, según señala el artículo 129 bis 4 y bis 5 del Código de Aguas, y el artículo 2° transitorio de la Ley 20.017, de 16 de junio de 2005, para el caso de los derechos de aprovechamiento no consuntivos y consuntivos, de ejercicio permanente y eventual, la contabilización de los plazos de no utilización de las aguas, comenzará a regir a contar del 1 de enero del año siguiente a la fecha de publicación de la citada Ley, es decir, desde el 1 de enero de 2006. Para el caso de los derechos de aprovechamiento de aguas que se constituyan o reconozcan con posterioridad a tal fecha, los plazos se computarán desde la fecha de su constitución o reconocimiento.
7. Que, en razón de lo anterior, el listado incluye derechos de aprovechamiento de aguas que no poseen obras de captación y/o restitución suficientes y aptas, según corresponda, para extraer y/o utilizar total o parcialmente el caudal constituido originariamente o del que son titulares por algún medio derivativo de adquirir el dominio, en mérito de lo dispuesto en los artículos 129 bis 4 y 129 bis 5 del Código de Aguas, relativos a derechos de aprovechamiento no consuntivos y consuntivos respectivamente.
8. Que, dicho lo anterior, corresponde hacer presente que los plazos a que se refiere el legislador en los artículos 129 bis 4 y 129 bis 5 del Código de Aguas, están referidos a la inexistencia de obras de captación y/o restitución, según corresponda, y no a las ocasiones que un determinado derecho de aprovechamiento de aguas es incorporado a la resolución que debe dictar la Dirección General de Aguas al efecto cada año, plazos que son anuales y de días completos.
9. Que, de conformidad con lo previsto en el artículo 129 bis 7, inciso 2° del Código de Aguas, la presente resolución se entenderá notificada desde la fecha de publicación de ella en el Diario Oficial.
10. Que, de acuerdo a lo previsto en el 129 bis 10 del Código de Aguas, en contra de la presente resolución procederán los recursos de reconsideración y de reclamación, los que deberán deducirse dentro del plazo de 30 días contados desde su notificación, ante el Director General de Aguas y la Ilustrísima Corte de Apelaciones de Santiago, respectivamente.
Resuelvo:
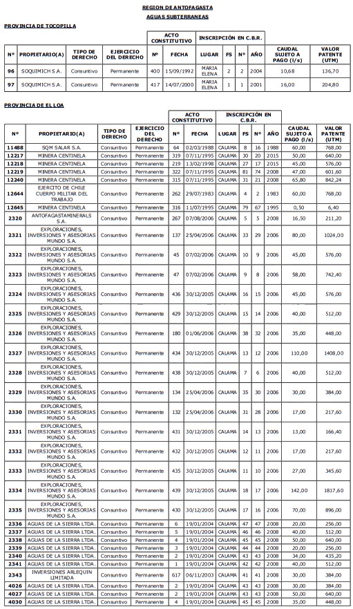
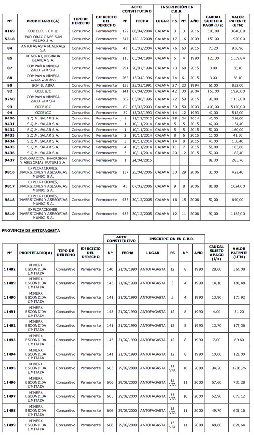
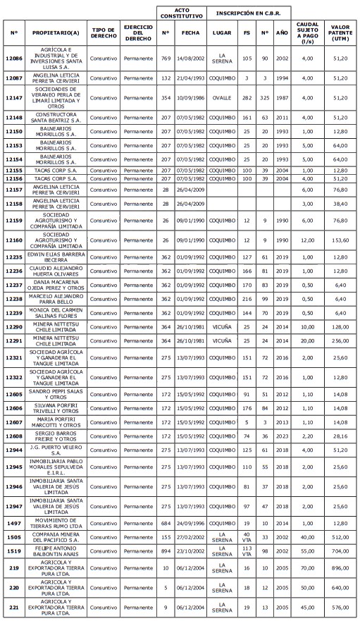
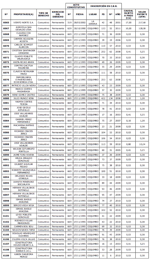
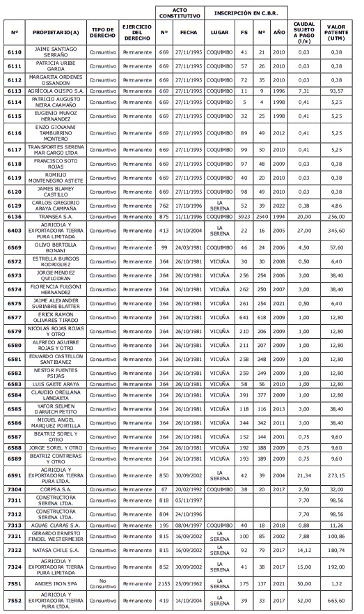
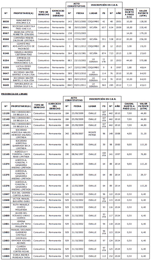
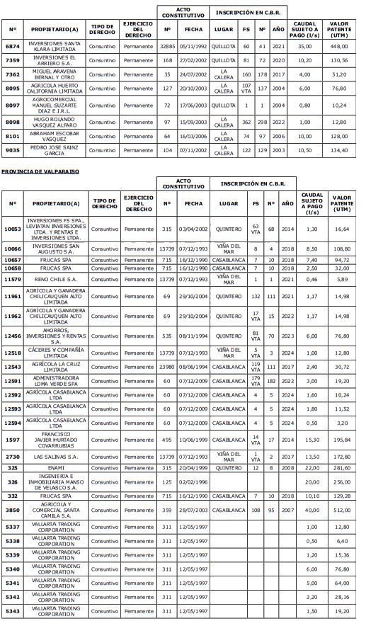
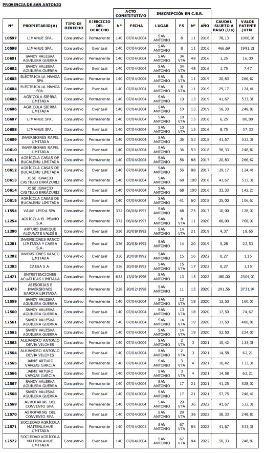
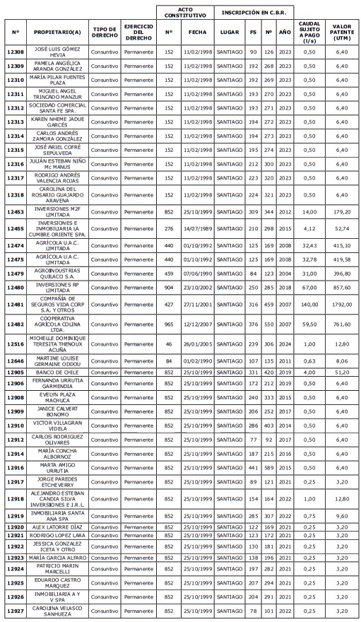
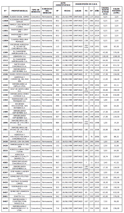
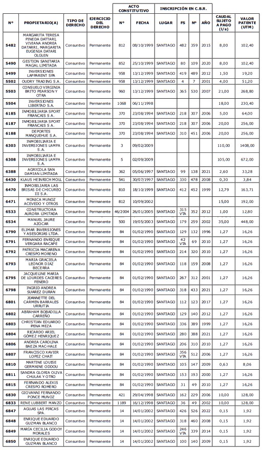
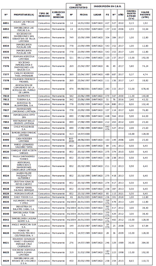
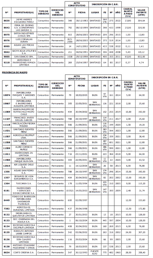
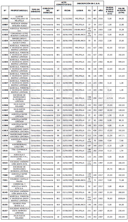
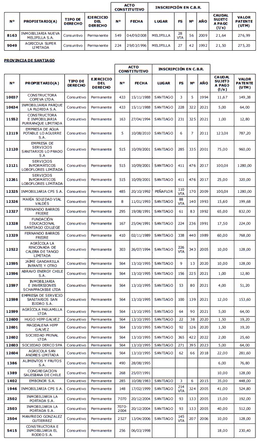
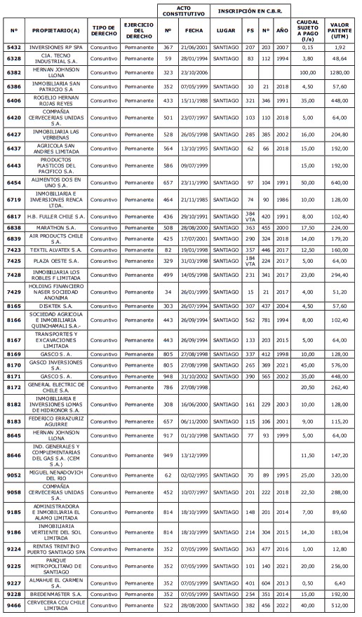
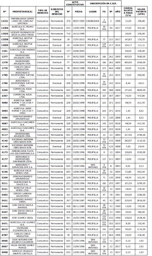
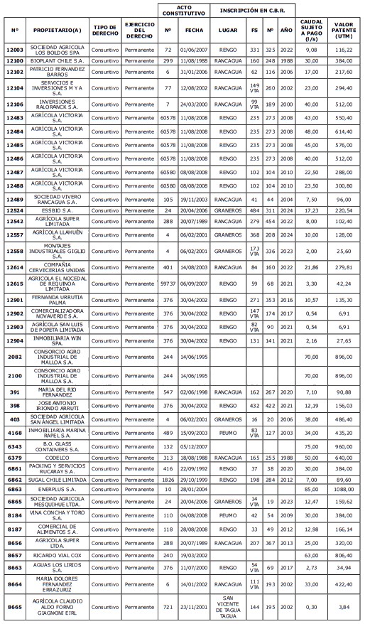
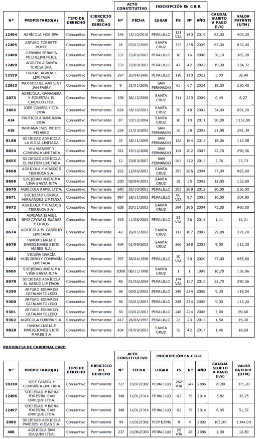
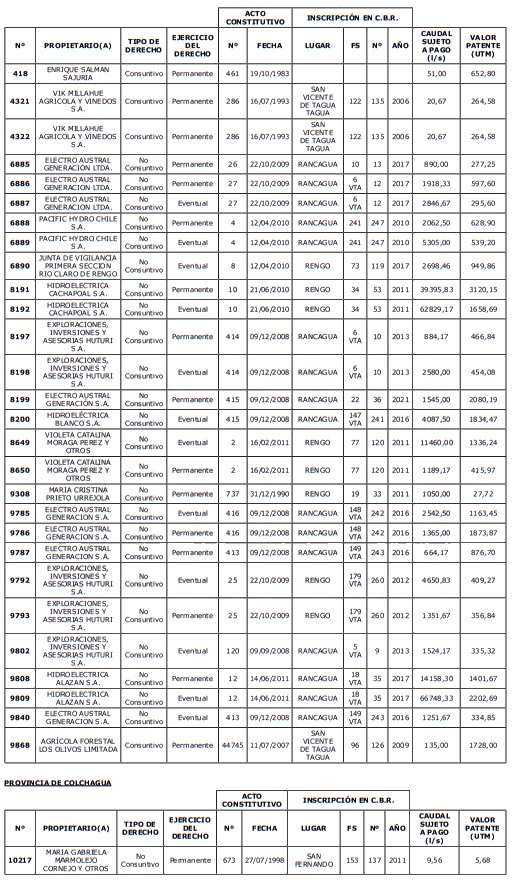
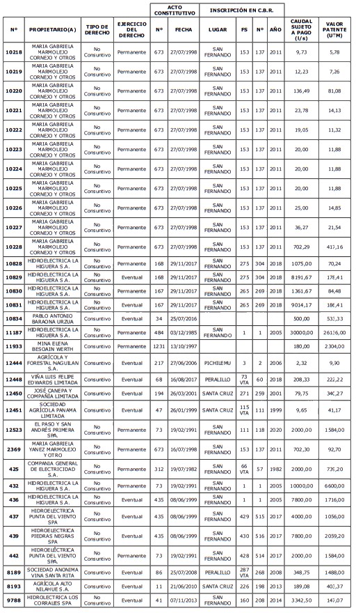
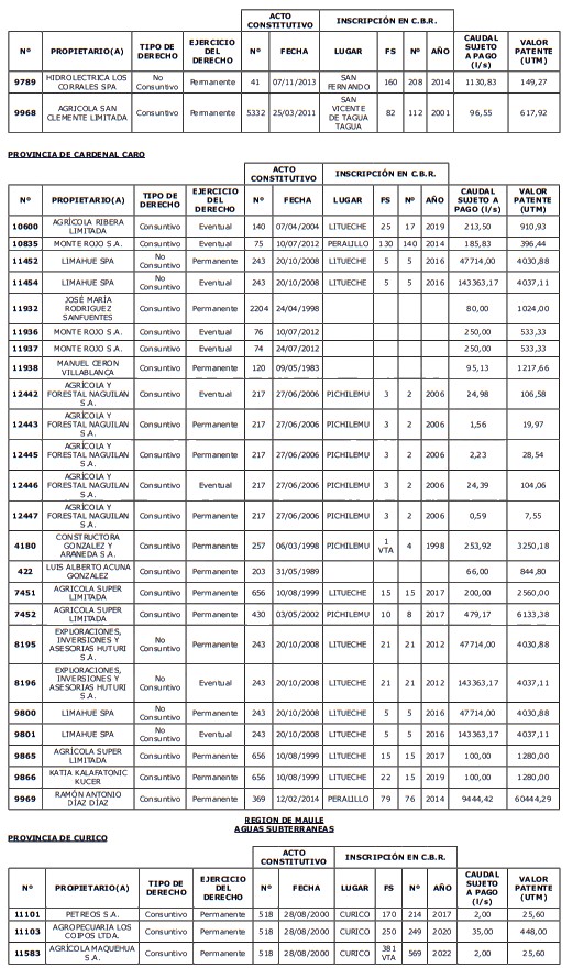
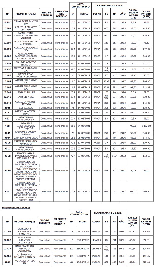
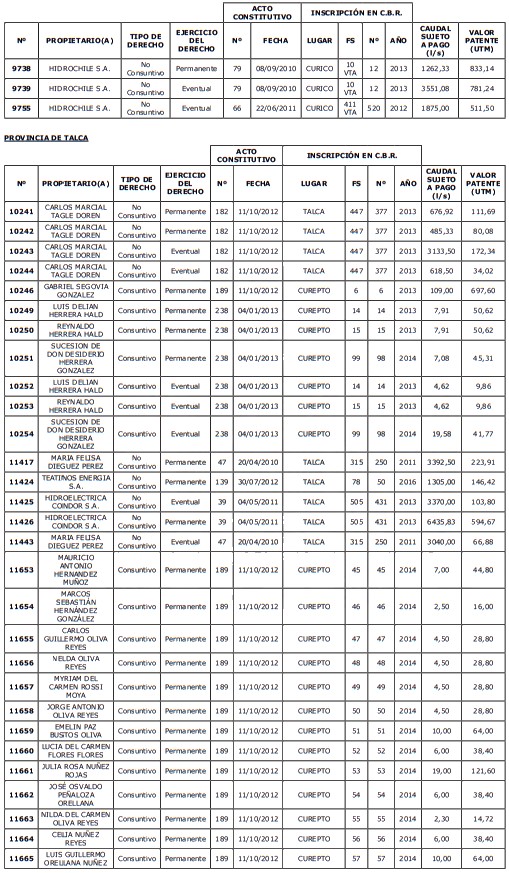
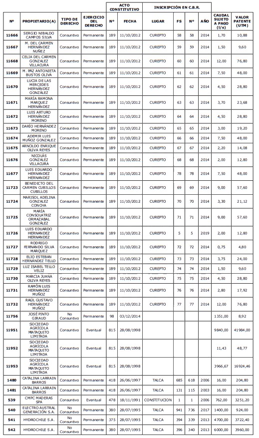
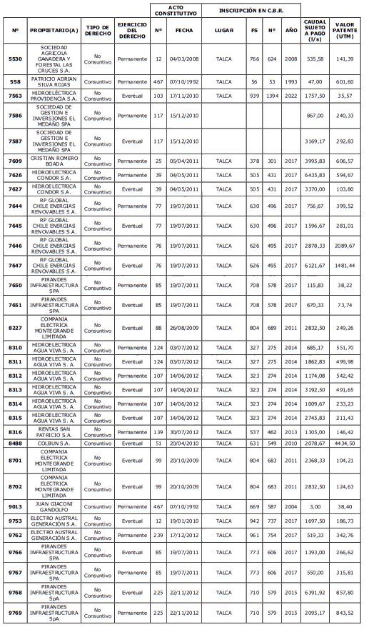
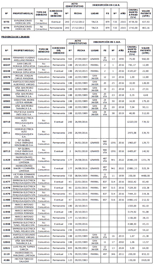
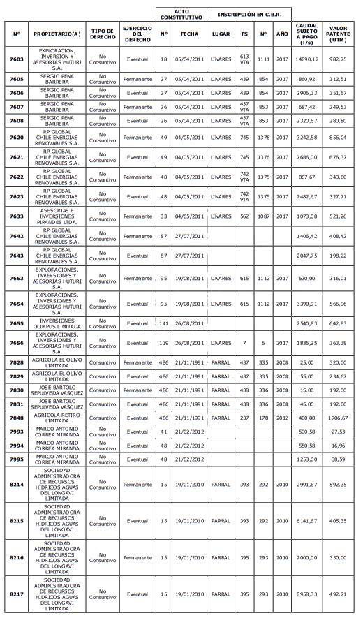
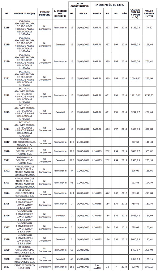
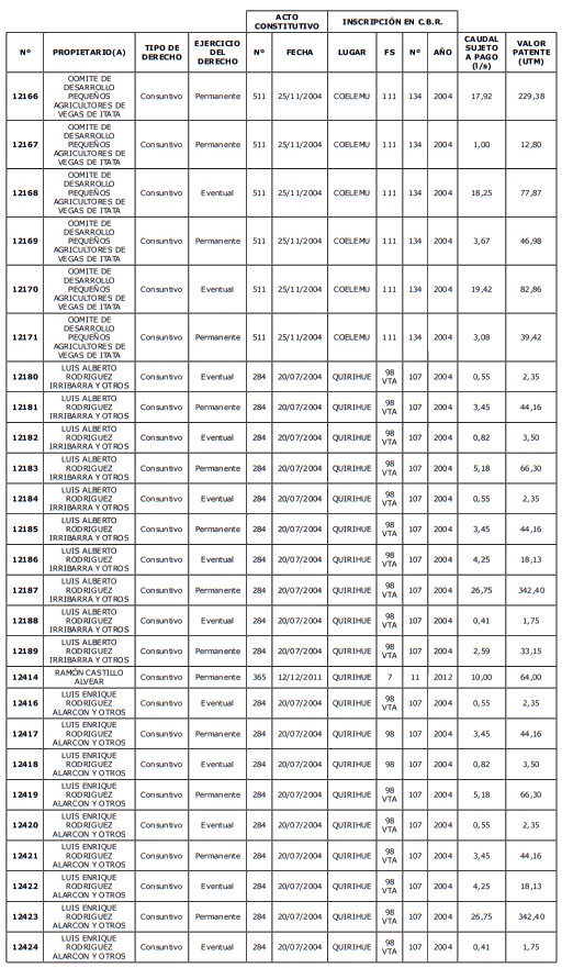
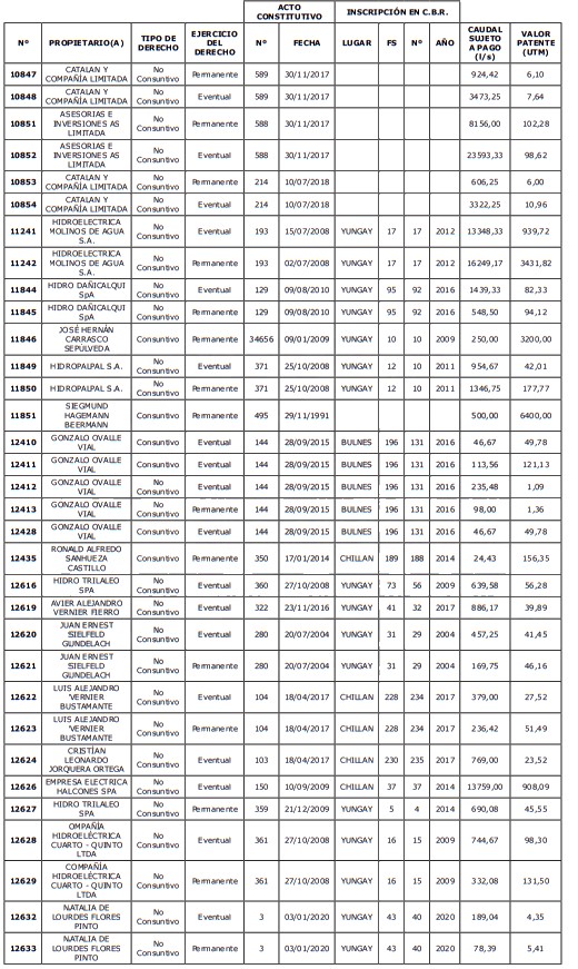
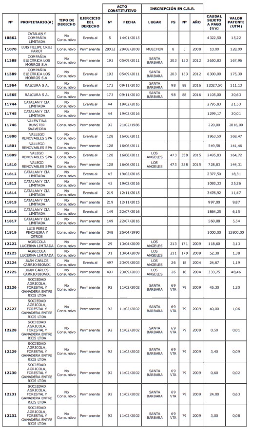
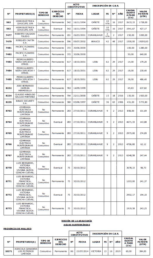
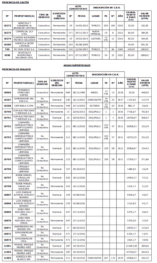
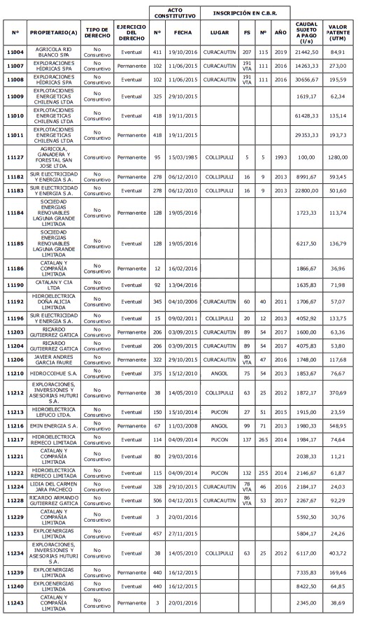
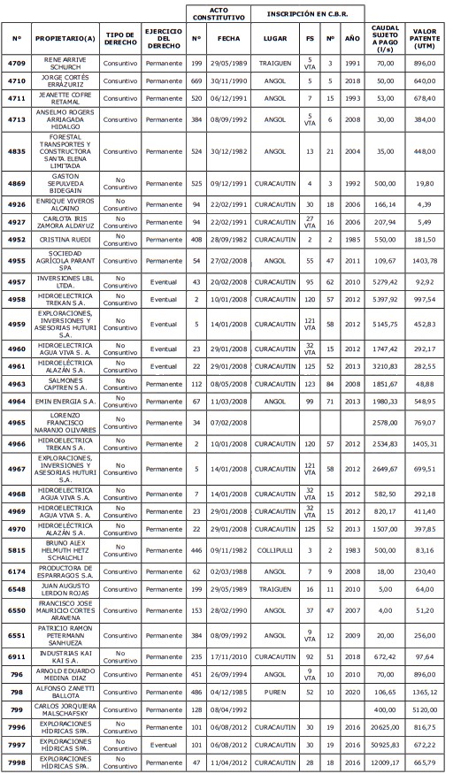
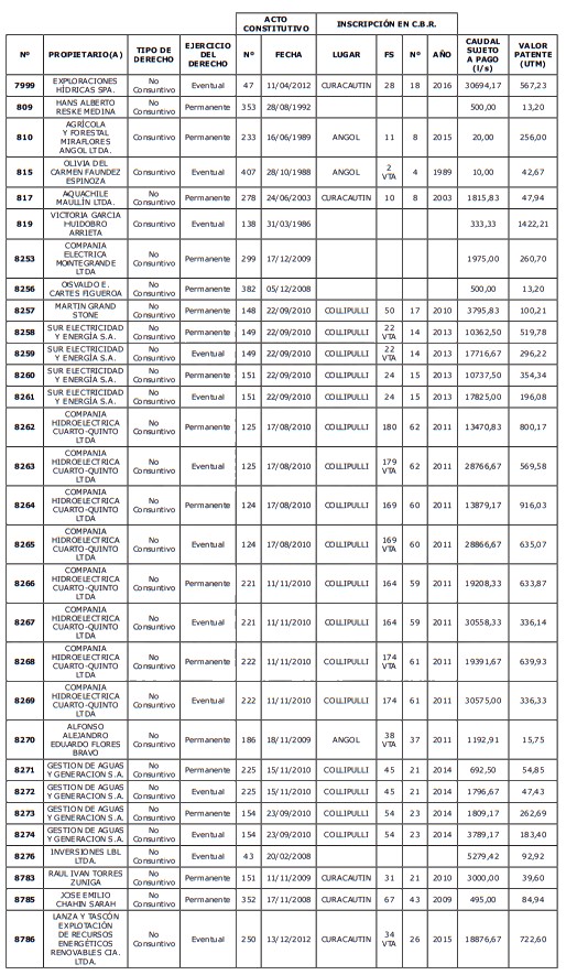
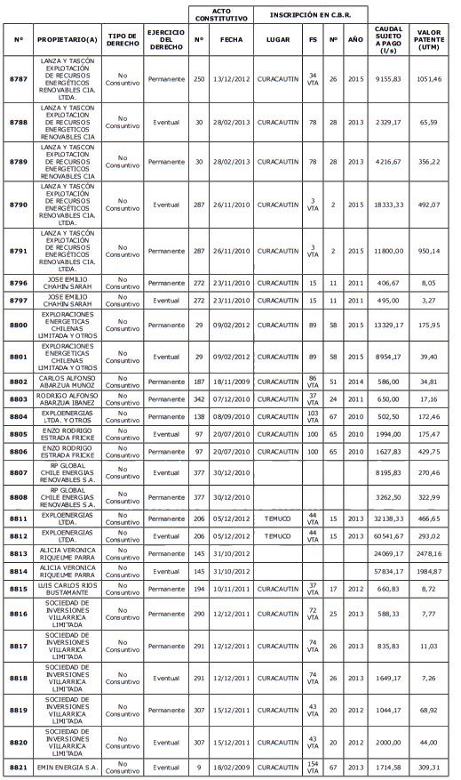
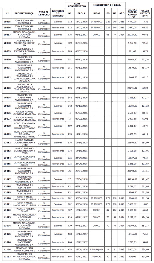
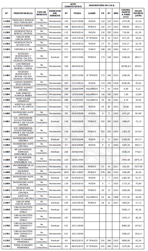
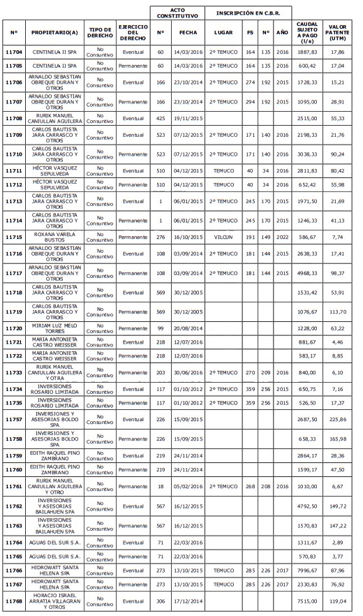
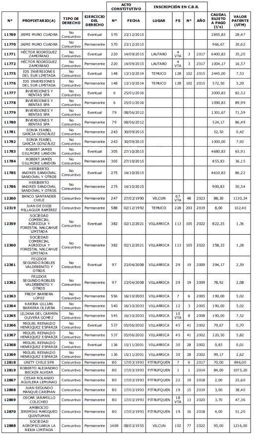
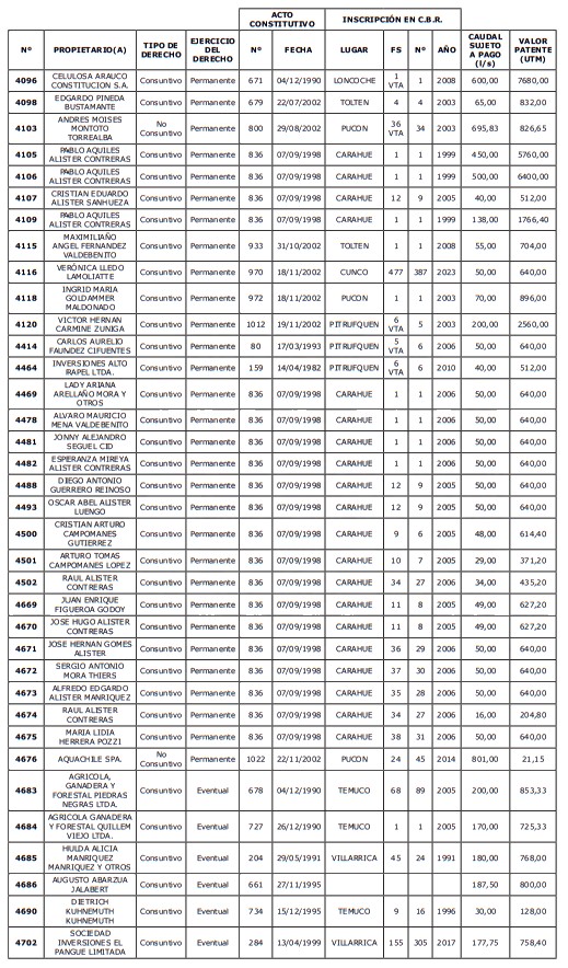
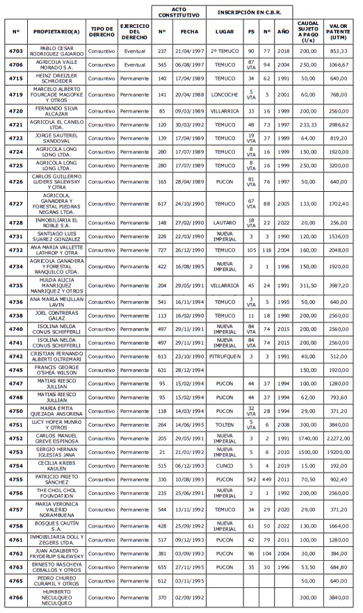
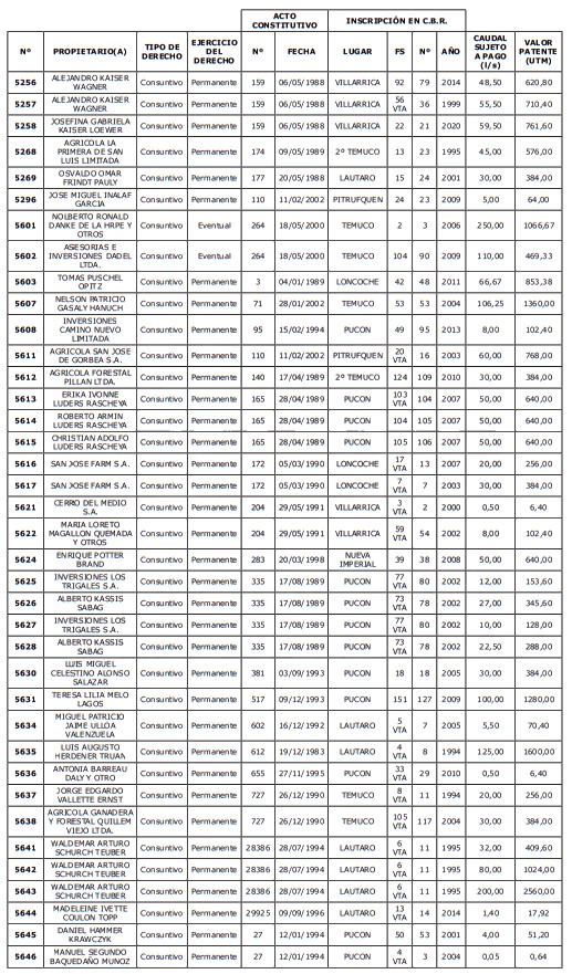
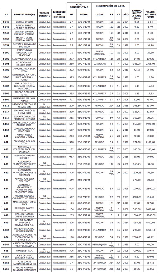
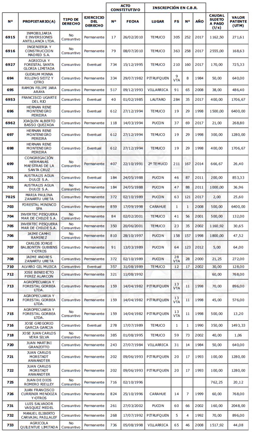
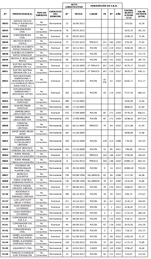
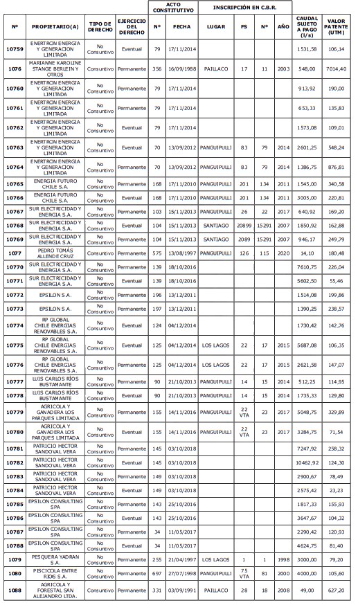
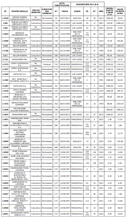
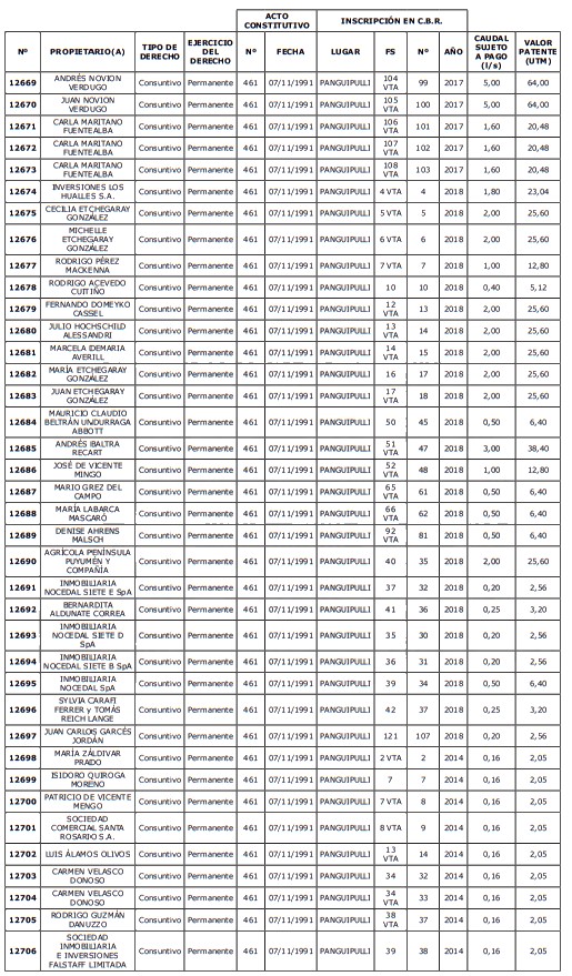
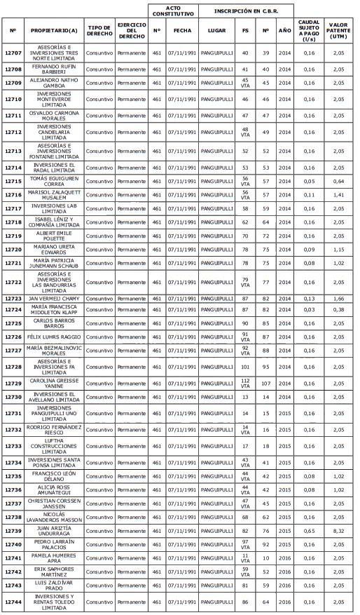
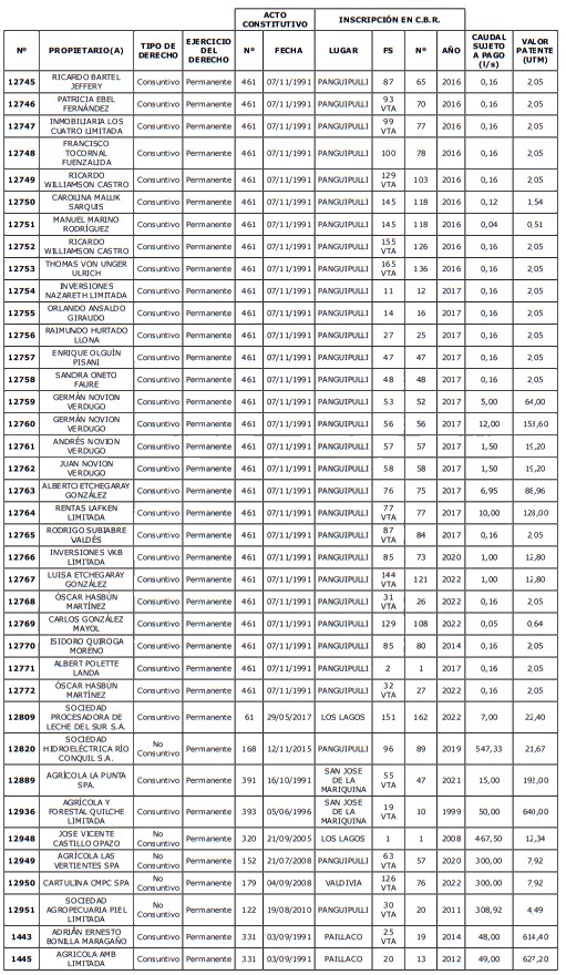
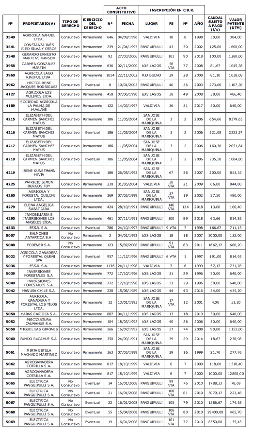
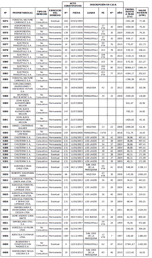
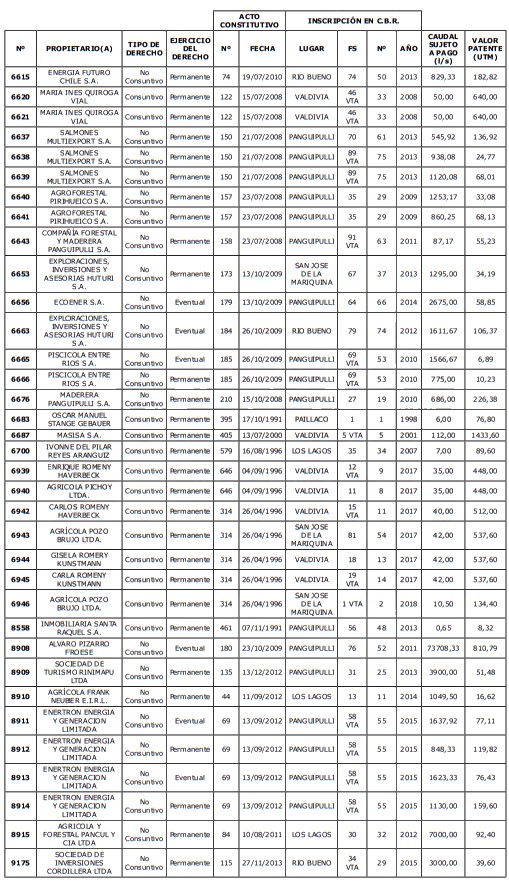
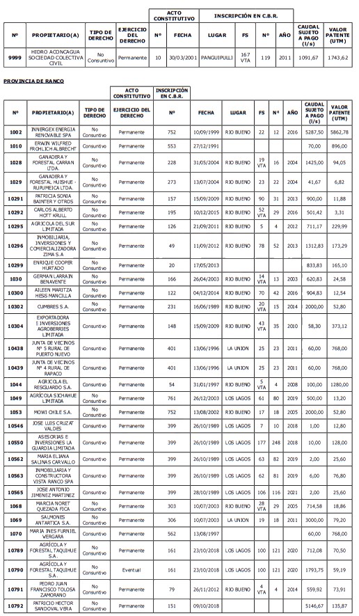
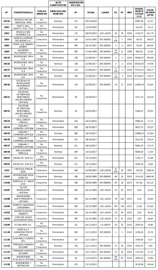
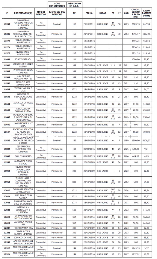
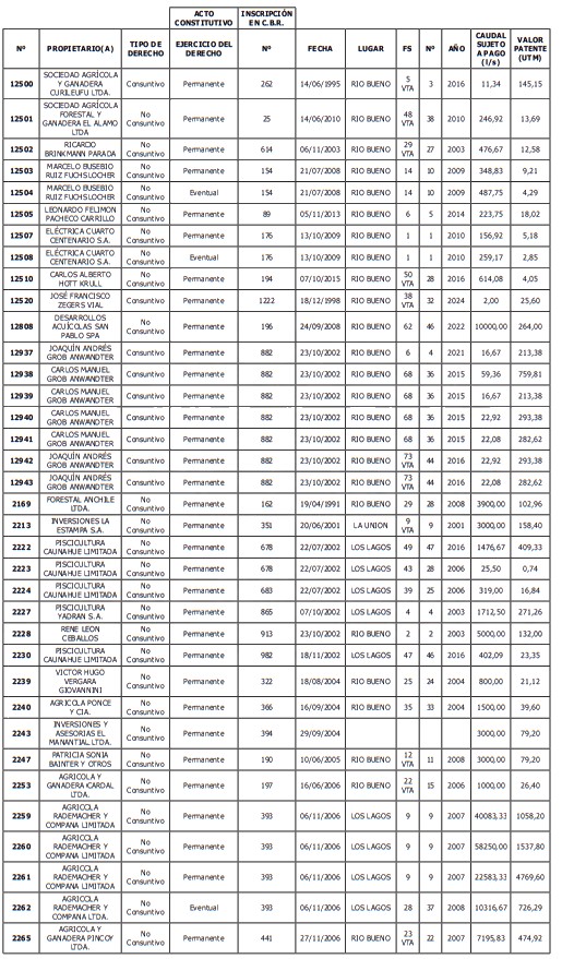
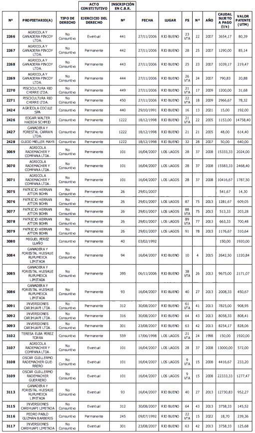
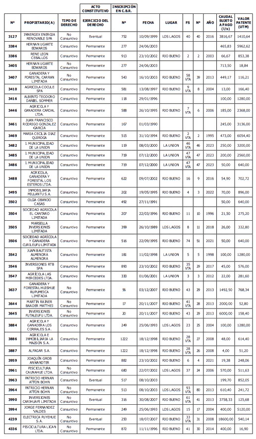
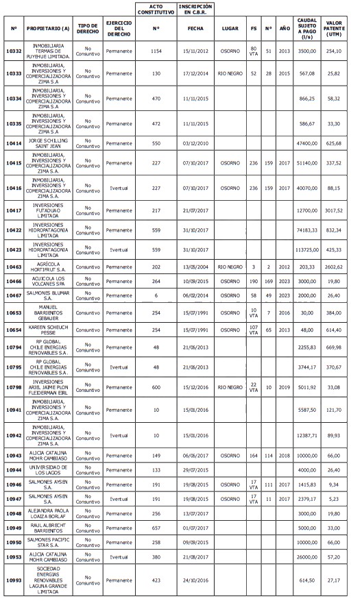
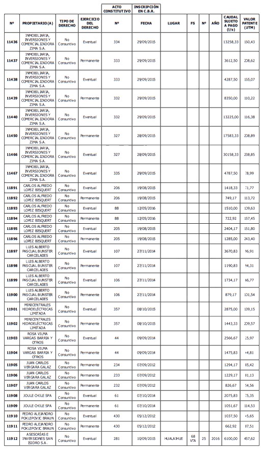
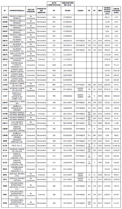
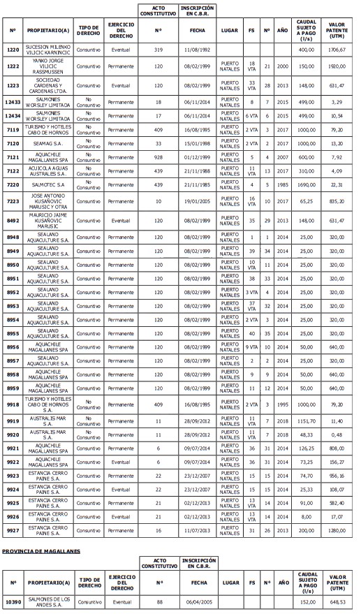
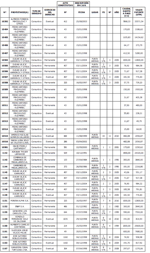
1. Fíjase el listado de derechos de aprovechamiento afectos al pago de patente a beneficio fiscal, por no utilización de las aguas, cuyos propietarios(as) ordenados(as) por región, naturaleza del agua y provincia son los que se señalan a continuación:








































































































































































2. Publíquese la presente resolución, el día 15 de enero de 2026, por una sola vez en el Diario Oficial, en un diario o periódico de la provincia respectiva y, si no lo hubiere, en uno de la capital de la región correspondiente, ya sea en edición impresa o electrónica, y en el sitio web institucional de la Dirección General de Aguas. La publicación será complementada mediante mensaje radial, de un extracto de ésta, en una emisora con cobertura territorial del área correspondiente.
3. Sin perjuicio de lo antes resuelto y de conformidad a lo dispuesto en los artículos 2 y 9 de la Ley 19.253 que establece Normas sobre Protección, Fomento y Desarrollo de los Indígenas, y crea la Corporación Nacional de Desarrollo Indígena (Conadi), todas aquellas personas o comunidades que detenten las calidades ahí establecidas podrán solicitar ser eliminados de este listado, mediante el pertinente recurso de reconsideración y/o de reclamación debidamente fundado, en concordancia con lo descrito en el artículo 129 bis 9 número 6 del Código de Aguas.
4. Téngase presente que conforme lo establece el artículo 136 del Código de Aguas "Las resoluciones que se dicten por el Director General de Aguas, por funcionarios de su dependencia o por quienes obren en virtud de una delegación que el primero les haga en uso de las atribuciones conferidas por la ley, podrán ser objeto de un recurso de reconsideración que deberá ser deducido por los interesados, ante el Director General de Aguas, dentro del plazo de 30 días contados desde la notificación de la resolución respectiva". Y de acuerdo con lo dispuesto en el artículo 137 del mismo código, la presente resolución podrá ser objeto también de recurso de reclamación ante la Corte de Apelaciones pertinente, dentro del mismo plazo de 30 días contados desde su notificación.
5. Déjase constancia que según establece el artículo 129 bis 7 del Código de Aguas, las personas, tanto naturales como jurídicas, que han sido identificadas en el presente listado, deberán pagar la patente dentro del mes de marzo de 2026 en cualquier banco o institución autorizada para recaudar tributos. Asimismo, de no mediar el pago en la fecha establecida para ello, se iniciará un procedimiento judicial para efectuar un remate público del respectivo derecho, conforme señala el artículo 129 bis 11 del mismo cuerpo legal.
6. Comuníquese lo resuelto a la Tesorería General de la República (TGR) por parte del Departamento de Fiscalización de la Dirección General de Aguas, mediante la respectiva transferencia o transmisión de los datos electrónicos, magnéticos o de otro tipo que sean necesarios para modificar la Cuenta Única Tributaria respecto de la deuda fiscal a la que alude el presente acto administrativo, todo en los términos suscritos en el Convenio de Cooperación Institucional entre la Tesorería General de la República y la Dirección General de Aguas de fecha 14 de diciembre de 2020, aprobado por la Dirección General de Aguas según consta en la resolución DGA (exenta) N° 276, de 22 de febrero de 2021.
7. Comuníquese la presente resolución a la División Legal, al Departamento de Información de Recursos Hídricos, a las Direcciones Regionales y Oficinas Provinciales, al Departamento de Fiscalización Nivel Central y demás oficinas de la Dirección General de Aguas que correspondan.
Anótese, notifíquese y comuníquese.- Rodrigo Alejandro Sanhueza Bravo, Director General de Aguas.