FIJA VALORES, PROPIETARIOS Y FÓRMULAS DE INDEXACIÓN DE LAS INSTALACIONES DE LOS SIS TEMAS DE TRANSMISIÓN A QUE SE REFIERE EL ARTÍCULO 52 DEL DECRETO SUPREMO Nº 10, DE 2019, DEL MINISTERIO DE ENERGÍA, QUE APRUEBA REGLAMENTO DE CALIFICACIÓN, VALORIZACIÓN, TARIFICACIÓN Y REMUNERACIÓN DE LAS INSTALACIONES DE TRANSMISIÓN
Núm. 27T.- Santiago, 30 de diciembre de 2025.
Vistos:
Lo dispuesto en el artículo 35 del decreto supremo Nº 100, de 2005, del Ministerio Secretaría General de la Presidencia, que fija el texto refundido, coo rdinado y sistematizado de la Constitución Política de la República; en el decreto ley Nº 2.224, de 1978, del Ministerio de Minería, que crea el Ministerio de Energía y la Comisión Nacional de Energía; en el decreto con fuerza de ley Nº 4/20.018, de 2006, del Ministerio de Economía, Fomento y Reconstrucción, que fija texto refundido, coordinado y sistematizado del decreto con fuerza de ley Nº 1, de Minería, de 1982, Ley General de Servicios Eléctricos, en materia de energía eléctrica, y sus modificaciones posteriores, especialmente la efectuada por la ley Nº 20.936, en adelante la "Ley"; en el decreto supremo Nº 10, de 2019, del Ministerio de Energía, que aprueba reglamento de calificación, valorización, tarificación y remuneración de las instalaciones de transmisión, en adelante el "Reglamento"; en la resolución exenta Nº 244, de 9 de abril de 2019, de la Comisión Nacional de Energía, en adelante la "Comisión", que aprueba Informe Técnic o Definitivo de Calificación de Instalaciones de los Sistemas de Transmisión para el Periodo 2020-2023, y sus modificaciones posteriores, en adelante "RE Nº 244/2019"; en la resolución exenta Nº 18, de 19 de enero de 2023, de la Comisión, que rectifica el informe técnico definitivo de valorización de las instalaciones de los sistemas de transmisión para el cuadrienio 2020-2023, y aprueba texto refundido, en adelante "RE Nº 18/2023"; en el decreto supremo Nº 7T, de 2022, del Ministerio, que fija valor anual de las instalaciones de transmisión nacional, zonal y de las instalaciones de transmisión dedicada utilizadas por parte de los usuarios sometidos a regulación de precios, en adelante "decreto Nº 7T/2022"; en la resolución exenta Nº 652, de 6 de diciembre de 2024, de la Comisión, que aprueba informe técnico preliminar de valorización de instalaciones de los sistemas de transmisión a que se refiere el artículo 52 del Reglamento, en adelante "RE Nº 652/2024"; en la resolución exenta Nº 418, de 17 de julio de 2025, de la Comisión, que aprueba Informe Técnico Definitivo de Valorización de las Insta laciones de los Sistemas de Transmisión a que se refiere el artículo 52 del Reglamento de Calificación, Valorización, Tarificación y Remuneración de las Instalaciones de Transmi sión, en adelante "RE Nº 418/2025"; en la resolución exenta Nº 797, de 18 de diciembre de 2025, de la Comisión, que rectifica Informe Técnico Definitivo de Valorización de las Instalaciones de los Sistemas de Transmisión a que se refiere el artículo 52 del Reglamento de Calificación, Valorización, Tarificación y Remuneración de las Instalaciones de Transmisión y aprueba texto refundido que indica, en adelante "RE Nº 797/2025"; en la resolución Nº 36, de 2024, de la Contraloría General de la República; y
Considerando:
1. Que, el valor anual de las instalaciones de transmisión nacional, zonal, de los sistemas de transmisión para polos de desarrollo y el pago por uso de las instalaciones de transmisión dedicadas utilizadas por parte de los usuarios sometidos a regulación de precios es determinado por la Comisión cada cuatro años, sobre la base de la valorización de dichas instalaciones, de acuerdo con lo dispuesto en los artículos 102° y siguientes de la ley.
2. Que, para estos efectos, la Comisión debe realizar estudios de valorización de los sistemas de transmisión, cuyos resultados deben ser presentados a los participantes, usuarios e instituciones interesadas. Sobre la base de dichos res ultados, la Comisión elabora un informe técnico preliminar, que debe ser comunicado a dichos actores para la presentación de sus observaciones.
3. Que, el artículo 112° de la ley dispone que, consideradas las observaciones presentadas, la Comisión debe elaborar un informe técnico final; y, tras una eventual intervención del Panel de Expertos, la Comisión emite un informe técnico definitivo de valorización de instalaciones, remitiéndolo al Ministerio, para que este, dentro de los veinte días siguientes, mediante decreto expedido bajo la fórmula "por orden del Presidente de la República" y, sobre la base de dicho informe, fije el valor anual de las instalaciones de transmisión nacional, zonal, de sistema de transmisión para polos de desarrollo y de las instalaciones de transmisión dedicada utilizadas por parte de los usuarios sometidos a regulación de precios, en adelante el "Decreto de Valorización".
4. Que, sin perjuicio del procedimiento expuesto en los considerandos precedentes, el artículo 52 del Reglamento dispone que las instalaciones de transmisión que no hubiesen sido valorizadas en el proceso de valorización vigente a la fecha de su entrada en operación deberán ser valorizadas por la Comisión, sobre la base y metodología con tenidas en el informe técnico definitivo relativo al Decreto de Valorización vigente al momento de su entrada en operación.
5. Que, la norma señalada en el considerando anterior establece el procedimiento para valorizar las instalaciones que se encuentren en alguno de los siguientes supuestos de hecho: a) obras que hayan sido autorizadas previa y excepcionalmente por la Comisión, según dispone el artículo 102°, inciso segundo, de la ley; b) ampliaciones, adecuaciones, modificaciones y refuerzos a que hace referencia el artículo 79° de la ley; c) obras menores a que hace referencia el artículo 92° de la ley, cuando la Comisión haya evaluado positivamente su pertinencia; y, d) instalaciones dedicadas existentes que sean intervenidas con obras de expansión nacional, zonal o para polos de desarrollo, según se indica en el inciso final del artículo 87° de la ley. Adicionalmente, el inciso segundo del artículo 52 del reglamento dispone que la Comisión podrá valorizar cualquier otra instalación que no hubiese sido valorizada en el proceso de valorización vigente a la fecha de su entrada en operación.
6. Que, los incisos 4° y 5° del artículo 52 del Reglamento disponen que la Comisión enviará al Ministerio un informe técnico con la valorización de aquellas instalaciones, y sus propietarios, que se encuentren en alguno de los supuestos indicados en el considerando anterior, así como las correspondientes fórmulas de indexación. Sobre la base de dicho informe, el Ministerio, mediante decreto supremo expedido bajo la fórmula "por orden del Presidente de la República", fijará el Valor de Inversión, en adelante "V.I.", la Anualidad del Valor de Inversión, en adelante "A.V.I.", Costos de Operación, Mantenimiento y Administración, en adelante "C.O.M.A.", Ajuste por Efecto de Impuesto a la Renta en adelante, "A.E.I.R.", el Valor Anual de la Transmisión por Tramo, en adelante "V.A.T.T." y los propietarios de dichas instalaciones, así como sus correspondientes fórmulas de indexación, las que regirán hasta la entrada en vigencia de un Decreto de Valorización asociado a un estudio de valorizaci ón en el cual hubiesen sido incorporadas.
7. Que, habiéndose dictado el decreto Nº 7T/2022, y existiendo instalaciones de transmisión no valorizadas en dicho decreto, la Comisión inició el proceso destinado a valorizar dichas instalaciones, sobre la base y metodología del informe técnico definitivo correspondiente al Decreto de Valorización que se encontraba vigente al momento de la entrada en operación de cada una de las instalaciones.
8. Que, sobre la base de los antecedentes suministrados por el Coordinador Eléctrico Nacional, en adelante el "Coordinador", la Com isión elaboró un informe técnico preliminar de las instalaciones de los sistemas de transmisión a que se refiere el artículo 52 del Reglamento, aprobado mediante la RE Nº 652/2024, el cual fue puesto en conocimiento de las empresas propietarias u operadoras de instalaciones de transmisión, a efectos de que estas presentaran sus observaciones al contenido del referido informe.
9. Que, recibidas y consideradas las observaciones de las empresas propietarias u operadoras de instalaciones de transmisión, el 17 de julio de 2025, la Comisión, por medio de la RE Nº 418/2025, aprobó el informe técnico definitivo de valorización de las instalaciones de los sistemas de transmisión a que se refiere el artículo 52 del Reglamento, el que fue notificado al Ministerio y a las empresas propietarias u operadoras de instalaciones de transmisión, el cual fue rectificado y fijado su texto refundido mediante la RE Nº 797/2025.
10. Que, adicionalmente, mediante el presente acto administrativo se determina la fecha a partir de la cual comenzarán a aplicarse los valores que se fijan respecto de cada una de las instalaciones valorizadas, atendido el supuesto de hecho que motivó su incorporación al presente proceso de valorización y conforme a lo dispuesto en el artículo 52 del Reglamento. Dichos valores regirán hasta la entrada en vigencia del Decreto de Valorización correspondiente al estudio de valorización en que tales instalaciones sean incorporadas.
11. Que, de esta manera, habiéndose cumplido con las etapas previstas en el Reglamento, corresponde que este Ministerio fije a través del presente decreto el V.I., A.V.I., C.O.M.A., A.E.I.R., el V.A.T.T. y los propietarios de las instalaciones objeto del presente procedimiento de valorización, así como sus correspondientes fórmulas de indexación.
Decreto:
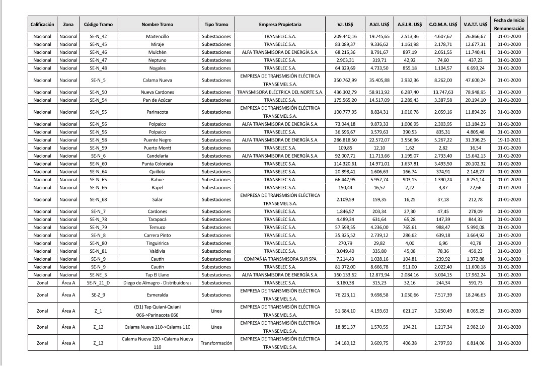
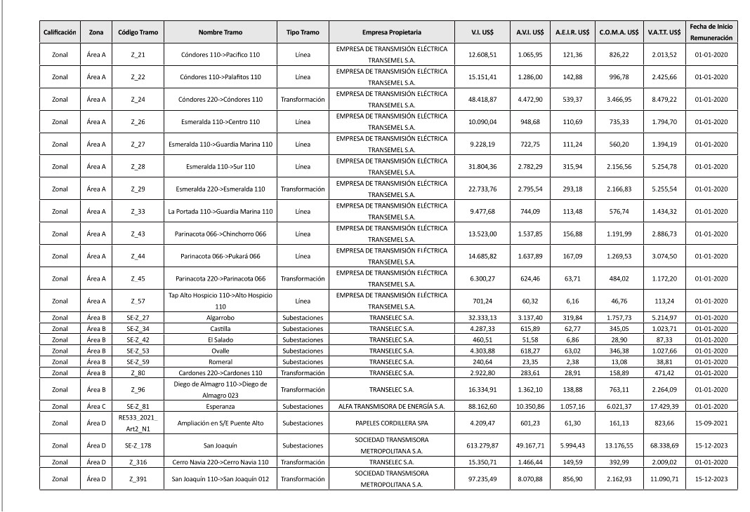
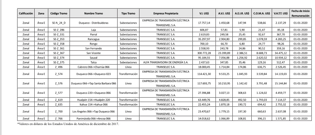
Artículo primero: Fíjanse el V.I., A.V.I., C.O.M.A., A.E.I.R., el V.A.T.T. por tramo de las instalaciones de transmisión nacional, zonal y de las instalaciones de transmisión dedicada utilizadas por parte de los usuarios sometidos a regulación de precios, cuya fecha de entrada en operación corresponde al periodo comprendid o entre el 1 de enero de 2020 y el 31 de diciembre de 2023, sus propietarios y la fecha a partir de la cual comenzarán a aplicar estos valores, de conformidad a lo establecido en el artículo 52 del Reglamento, de acuerdo al siguiente detalle:
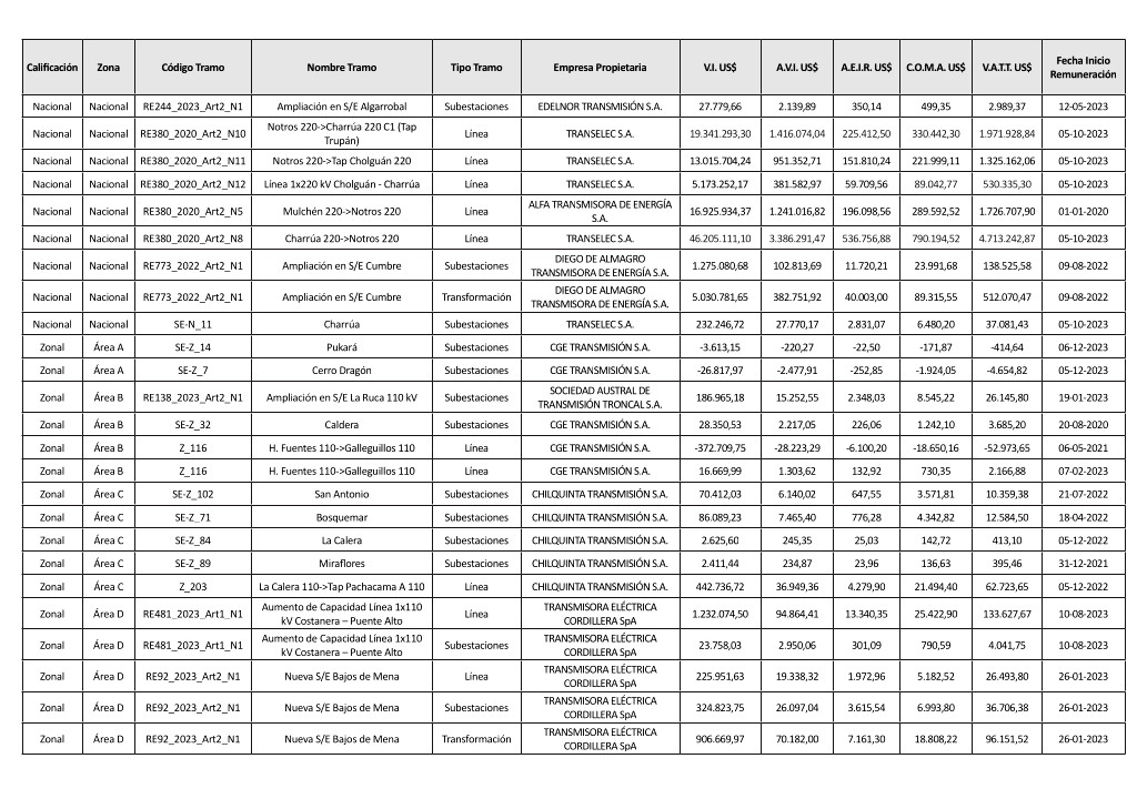
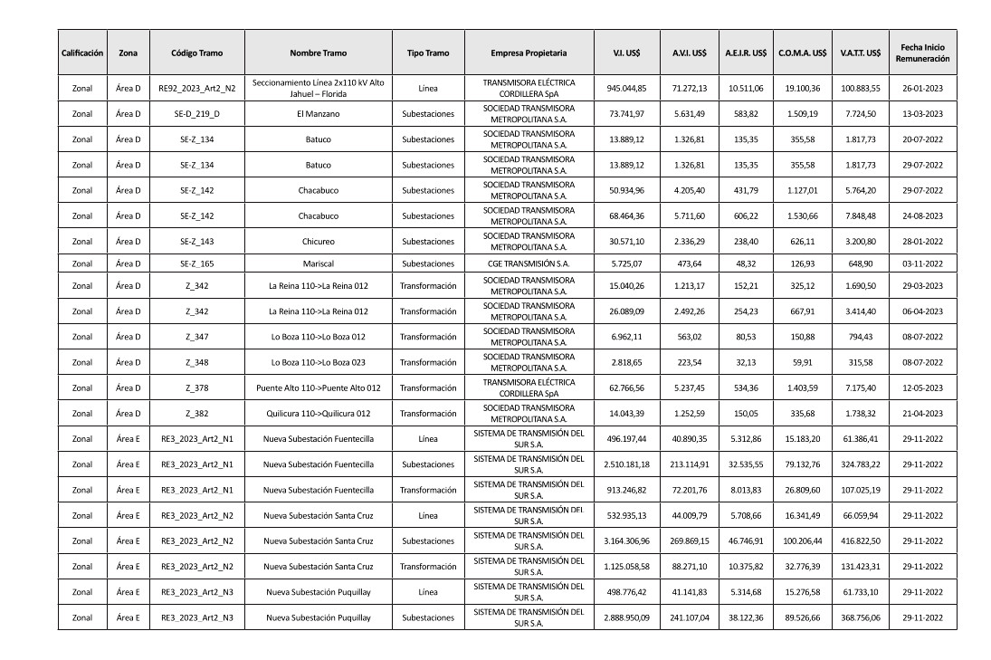
Tabla 1: V.I., A.V.I., C.O.M.A., A.E.I.R. y V.A.T.T. de instalaciones a que se refieren los literales
a), b), c) y d) del inciso primero del artículo 52 del Reglamento, periodo 1 de enero 2020 – 31 de
diciembre 2023, por tramo y propietario, así como la fecha de inicio de remuneración de estas



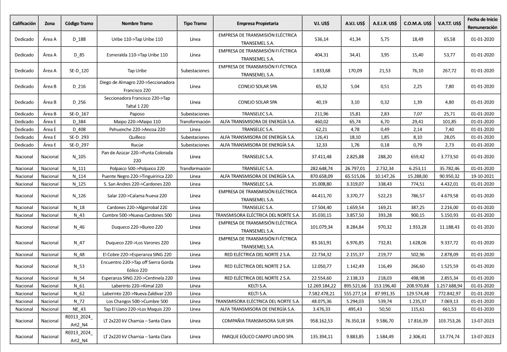
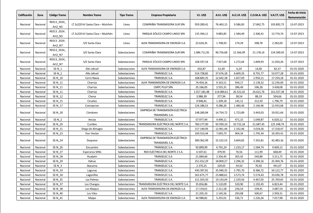
Tabla 2: V.I., A.V.I., C.O.M.A., A.E.I.R. y V.A.T.T. de instalaciones a que se refieren los literales a), b), c) y d) del inciso primero del artículo 52 del Reglamento, periodo 1 de enero 2020 – 31 de diciembre 2023, por tramo y propietario, así como la fecha de inicio de remuneración de estas





A los valores de V.I., A .V .I., C.O.M.A., A.E.I.R. y V.A.T.T. por tramo de los sistemas de transmisión dedicados, presentados en las tablas 1 y 2, se le han aplicado los porcentajes de uso de dichas instalaciones por parte de usuarios sometidos a regulación de precios.
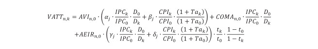
Artículo segundo: Fíjanse las siguientes fórmulas de indexación para cada sistema de transmisión, es decir, para el sistema de transmisión nacional, para cada sistema de transmisión zonal y para el sistema de transmisión dedicado. En este último caso, se fijan las fórmulas de indexación a efectos de la determinación del pago por uso de dichas instalaciones por parte de los usuarios sometidos a regulación de precios, aplicables a los A.V.I., C.O.M.A. y A.E.I.R., en dólares de los tramos correspondientes, para las instalaciones individualizadas en el artículo primero del presente decreto.

En la fórmula anterior, los subíndices "k" corresponden al mes en el cual las tarifas de transmisión nacional, zonales y de los sistemas de transmisión dedicada utilizados por usuarios sometidos a regulación de precios resultantes serán aplicadas, mientras que los subíndices "0" corresponden a los valores base de los índices, referidos en la Tabla 4 del presente decreto.

Tabla 3: Coeficientes fórmula de indexación V.A.T.T.


Los valores base de los índices definidos previamente son los que a continuación se indican:
Tabla 4: Valor índices base indexación V.A.T.T.

Artículo tercero : El presente acto administrativo entrará en vigencia a contar de la fecha de su publicación en el Diario Oficial, sin perjuicio de que los valores establecidos en él se aplicarán, para cada una de las instalaciones, a contar de la fecha de inicio de remuneración que se indica en las Tablas 1 y 2 del presente decreto, según corresponda, los cuales regirán hasta la entrada en vigencia de un Decreto de Valorización asociado a un estudio de valorización, de conformidad a lo dispuesto en los artículos 102° y siguientes de la Ley, en el cual la instalación respectiva haya sido incorporada .
Anótese, tómese razón y publíquese.- Por orden del Presidente de la República, Álvaro García Hurtado, Ministro de Energía.
Lo que transcribo a Ud. para su conocimiento.- Saluda Atte. a Ud., Felipe Sebastián Navarro Cabrera, Jefe División Jurídica (S), Subsecretaría de Energía.