MODIFICA CONCESIÓN DE SERVICIO PÚBLICO DE TELECOMUNICACIONES A LA EMPRESA TEXUS NETWORKS SPA
Santiago, 15 de enero de 2026.- Con esta fecha se ha decretado lo que sigue:
Núm. 39 exento.
Vistos:
a) El decreto ley Nº 1.762, de 1977, que creó la Subsecretaría de Telecomunicaciones, en adelante "la Subsecretaría".
b) La Ley Nº 18.168, Ley General de Telecomunicaciones, en adelante "la Ley".
c) El decreto supremo Nº 103, de 2008, del Ministerio de Transportes y Telecomunicaciones, que faculta al Ministro de Transportes y Telecomunicaciones para firmar "Por orden de la Presidente de la República".
d) El decreto supremo Nº 353, de 2001, del Ministerio de Transportes y Telecomunicaciones, Reglamento del Fondo de Desarrollo de las Telecomunicaciones, y sus modificaciones.
e) La resolución Nº 36 de 2024, de la Contraloría General de la República, que fija Normas sobre Exención del Trámite de Toma de Razón.
f) La resolución afecta Nº 16 de fecha 12.02.2013, de la Subsecretaría, que aprueba las Bases Generales para Concursos Públicos para la Asignación de Proyectos y sus respectivos Subsidios, correspondientes al Programa Anual de Proyectos Subsidiables del Fondo de Desarrollo de las Telecomunicaciones.
g) La resolución afecta Nº 839 de fecha 29.05.2025, de la Subsecretaría, que aprueba las Bases Específicas para el Concurso Público "Conectividad para la Educación 2030", Código: FDT-2019-04-05.
h) La Sesión LXXXV, del Consejo de Desarrollo de las Telecomunicaciones, de fecha 14.03.2025, que autoriza el llamado a Concurso Público del literal g) de los Vistos y fija el monto máximo de Subsidio para la asignación del mismo.
i) Los ingresos Subtel Nº 94.837, Nº 94.807, Nº 94.809 y Nº 94.477 todos de fecha 20.08.2025, por los cuales la empresa Texus Networks SpA presenta su Propuesta al Concurso Público del literal g) de los Vistos.
j) Los ingresos Subtel Nº 107.723 y Nº 107.724, ambos de fecha 24.09.2025, por los cuales Texus Networks SpA da respuesta a los primeros requerimientos aclaratorios formulados por Subtel a su Propuesta del literal i) de los Vistos.
k) El ingreso Subtel Nº 113.877, de fecha 09.10.2025 por el cual Texus Networks SpA da respuesta a los segundos requerimientos aclaratorios formulados por Subtel a su Propuesta de los literales i) y j) de los Vistos.
l) El oficio Ord 17.879 GFDT 563, de fecha 14.11.2025, de la Subsecretaría, por el cual se comunica a Texus Networks SpA la adjudicación de su Propuesta de los literales i), j) y k) de los Vistos para la Zona Nº 67 del Concurso Público del literal g) de los Vistos.
m) El decreto supremo Nº 89 de 2025, del Ministerio de Transportes y Telecomunicaciones, que otorgó la concesión.
Considerando:
a) Lo solicitado por la interesada mediante ingreso Subtel Nº 132.845 de fecha 27.11.2025.
b) El acta de fecha 06.11.2025, correspondiente a la LXXXVIII Sesión del Consejo de Desarrollo de las Telecomunicaciones, que resolvió adjudicar el Concurso Público "Conectividad para la Educación 2030", Código: FDT-2019-04-05, y su respectivo Subsidio, para la Zona 67, a Texus Networks SpA.
c) La resolución exenta Nº 2.480, de fecha 16.12.2025, de la Subsecretaría, por la cual se asignó a Texus Networks SpA, el Proyecto "Conectividad para la Educación 2030", Código FDT-2019-04-05 para la Zona Nº 67.
d) El oficio Ord. Nº 21.012/GFDT Nº 685 de fecha 30.12.2025, de la Subsecretaría, por el cual se comunica a Texus Networks SpA la aprobación del Plan de Despliegue Ajustado y el Informe de Detalle de Asignaciones Internas, para la Zona 67.
Decreto:
Modifíquese la concesión de Servicio Público de Telecomunicaciones, cuyo titular es la empresa Texus Networks SpA, RUT Nº 76.882.136-4, con domicilio en Paseo Bulnes 209, oficina 41, comuna de Santiago, Región Metropolitana de Santiago, en el sentido que se indica en los numerandos siguientes:
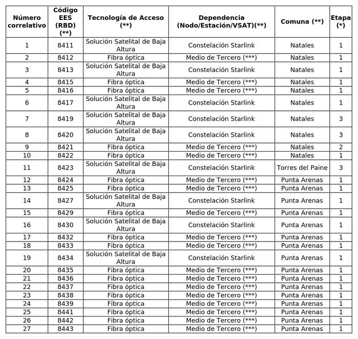
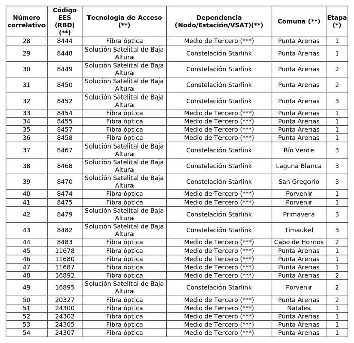
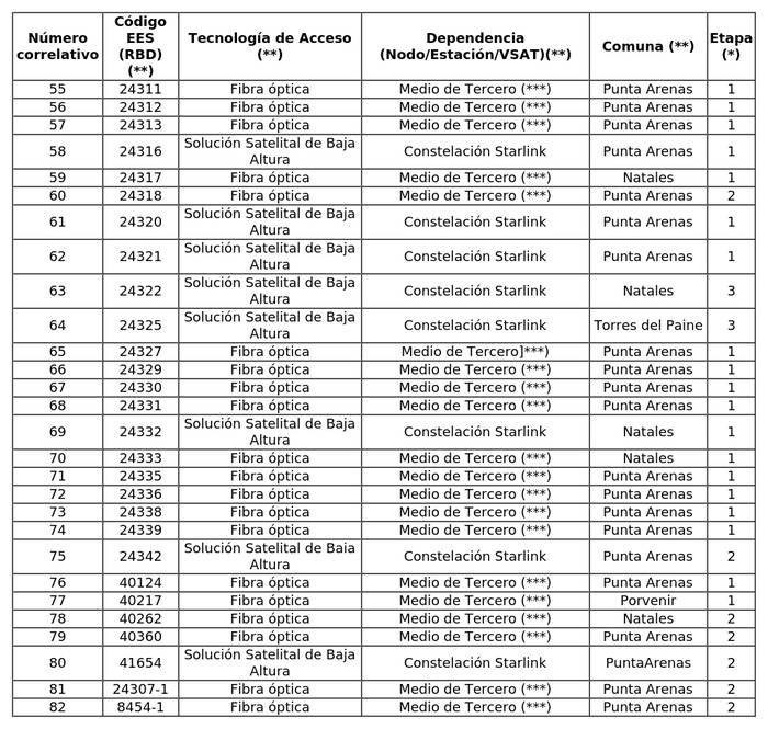
1. Autorícese a la concesionaria a instalar, operar y explotar los sistemas que a continuación se indican, a fin de proveer el Servicio de Conectividad en los Establecimientos Educacionales Subvencionados (EES) de la Región de Magallanes y de la Antártica Chilena, que pertenezcan a la Zona 67, adjudicada a ella en el marco del Concurso Público "Conectividad para la Educación 2030", Código: FDT-2019-04-05, en los términos que exigen las Bases de Concurso y el Proyecto Comprometido y asignado, así como lo que en definitiva sea autorizado.



(*) El número de referencia a la Etapa corresponde a la fase en cuyo plazo máximo deberá prestarse el Servicio de Conectividad en los EES que pertenecen a la Zona 67 conforme a lo indicado en el resuelvo octavo de la resolución exenta Nº 2.480, de fecha 16.12.2025, de la Subsecretaria de Telecomunicaciones.
(**) Durante todo el Periodo de Obligatoriedad de las Exigencias de las Bases, la base de EES que pertenezcan a la Zona 67 podrá ser modificada incorporando nuevos EES o dando de baja algunos de ellos, producto de las aperturas, cierres, traslados, recesos, renuncias o fusiones de EES, lo cual se reflejará en el Reporte de Operaciones previsto en el numeral 7.2 del Anexo Nº 7 de las Bases Específicas del Concurso e informando debidamente a esta Subsecretaria de Telecomunicaciones.
(***) Estas dependencias corresponderán a nodos de terceros, previamente autorizados.
2. La concesionaria deberá informar, al momento de la solicitud de recepción de las obras, la dirección y coordenadas geográficas de los nodos de terceros y la identidad del titular de los mismos, los que deberán estar debidamente autorizados para la prestación de servicios públicos y/o intermedios de telecomunicaciones de manera que puedan dar acceso a tráfico desde o hacia los usuarios de las redes públicas de telecomunicaciones de conformidad a lo dispuesto en el artículo 3 de la ley. Además, en caso de modificar el nodo de dependencia, deberá informar previamente a esta Subsecretaría de Telecomunicaciones.
3. Las interconexiones a las redes públicas existentes serán a través de medios propios o de terceros debidamente autorizados.
4. El Servicio objeto de la presente concesión deberá prestarse con estricto apego a la normativa de calidad que al efecto contemple la ley Nº 18.168, sus modificaciones y demás normas reglamentarias y/o técnicas vigentes, como asimismo aquellas que exigencias de calidad, operación y supervisión del Servicio de Conectividad para los EES que pertenezcan a la Zona 67 descritas en la resolución exenta Nº 2.480 de 2025, de la Subsecretaría de Telecomunicaciones y sus modificaciones posteriores.
Para la supervisión del Servicio de Conectividad en los EES que pertenezcan a la Zona 67, la concesionaria utilizará un NOC propio cuya identificación corresponde a la indicada en la siguiente tabla.

5. El Periodo de Obligatoriedad de las Exigencias de las Bases terminará el 31 de diciembre de 2029. Durante este periodo, la concesionaria deberá cumplir con las exigencias de las Bases de Concurso, lo comprometido en la Propuesta y con los términos de la asignación, todos indicados en los literales f), g), i), j), k) y l) de los Vistos y los literales e) y d) del Considerando, respectivamente.
6. La concesionaria en su carácter de Beneficiaria deberá desplegar e instalar todos los elementos comprometidos en el Proyecto Técnico respectivo y necesarios para dar inicio al Servicio de Conectividad, obteniendo la respectiva Alta de Servicio en todos los EES de la Zona adjudicada que pertenezcan a cada una de las Etapas de dicha Zona, dentro de los plazos que se señalan a continuación, los cuales se computarán en días hábiles desde la publicación en el Diario Oficial del presente decreto, y previa recepción conforme de las obras e instalaciones asociadas a la misma por parte de la Subsecretaría:

(*) EES según Etapa declarada en la tabla del numeral primero del presente Decreto.
7. El monto de Subsidio máximo anual asignado para el Proyecto Concursable adjudicado es el siguiente:

El pago del Subsidio máximo anual asignado se realizará con posterioridad al cumplimiento de los hitos de Alta de Servicio de acuerdo con las Etapas de inicio del Servicio de Conectividad y conforme la disponibilidad presupuestaria del año de operación respectivo. Asimismo, tal pago se realizará de acuerdo con el Subsidio mensual calculado para la Zona asignada, el cual se pagará de forma mensualizada y en función de los EES pertenecientes a dicha Zona respecto de los cuales se provea efectivamente el Servicio de Conectividad comprometido.
8. Apruébese el Proyecto Comprometido, en base a la solicitud presentada por la concesionaria, conforme a las disposiciones técnico-legales que rigen el servicio de telecomunicaciones concedido. La documentación respectiva quedará archivada en la Subsecretaría de Telecomunicaciones.
9. Es obligación de la concesionaria el conocimiento y cumplimiento de las disposiciones legales, reglamentarias y técnicas que regulan el servicio de telecomunicaciones concesionado, en lo que le sea aplicable. Asimismo, lo establecido en las Bases de Concurso, lo comprometido en la Propuesta y con los términos de la asignación, todos indicados en los literales f), g), i), j), k) y l) de los Vistos y los literales c) y d) del Considerando, respectivamente.
10. La notificación del presente acto autorizatorio se realizará desde la casilla partes@subtel.gob.cl.
Anótese, comuníquese, notifíquese a la interesada y publíquese en el Diario Oficial.- Por orden del Presidente de la República, Juan Carlos Muñoz Abogabir, Ministro de Transportes y Telecomunicaciones.
Lo que transcribo para su conocimiento.- Saluda atentamente a Ud., Claudio Araya San Martín, Subsecretario de Telecomunicaciones.