APRUEBA INFORME TÉCNICO DEFINITIVO PARA LA FIJACIÓN DE LOS CARGOS A QUE SE REFIEREN LOS ARTÍCULOS 115° Y 116° DE LA LEY GENERAL DE SERVICIOS ELÉCTRICOS
Núm. 333 exenta.- Santiago, 16 de junio de 2025.
Vistos:
a) Lo dispuesto en el artículo 9° letra h) del DL N° 2.224, de 1978, del Ministerio de Minería, que crea el Ministerio de Energía y la Comisión Nacional de Energía, en adelante e indistintamente "Comisión" o "CNE", modificado por la ley N° 20.402, que crea el Ministerio de Energía;
b) Lo dispuesto en el DFL N° 4/20018 del Ministerio de Economía, Fomento y Reconstrucción, de 2006, que fija texto refundido, coordinado y sistematizado del DFL N° 1, de Minería, de 1982, ley General de Servicios Eléctricos, en materia de energía eléctrica, y sus modificaciones, en adelante "Ley" o "Ley General de Servicios Eléctricos";
c) Lo dispuesto en la ley N° 20.936, que establece un nuevo sistema de transmisión eléctrica y crea un organismo coordinador independiente del Sistema Eléctrico Nacional, en adelante, "Ley N° 20.936";
d) Lo dispuesto en el decreto supremo N° 10, de 1 de febrero de 2019, del Ministerio de Energía, que aprueba reglamento de calificación, valorización, tarificación y remuneración de las instalaciones de transmisión, publicado en el Diario Oficial con fecha 13 de junio de 2020, en adelante "Reglamento";
e) Lo establecido en la resolución exenta N° 703, de 30 de octubre de 2018, de la Comisión, que modifica resolución exenta N° 778, que establece plazos, requisitos y condiciones para la fijación de precios de nudo promedio, de fecha 15 de noviembre de 2016, modificada por resoluciones exentas N° 203 y N° 558, ambas de 2017, y fija texto refundido de la misma, publicada en el Diario Oficial con fecha 6 de noviembre de 2018, en adelante "resolución exenta N° 703";
f) Lo dispuesto en el decreto supremo N° 7T, de 25 de abril de 2022, del Ministerio de Energía, que fija el valor anual de las instalaciones de transmisión nacional, zonal y de las instalaciones de transmisión dedicada utilizadas por parte de los usuarios sometidos a regulación de precios, y sus fórmulas de indexación para el cuadrienio 2020-2023, publicado en el Diario Oficial con fecha 16 de febrero de 2023, en adelante "decreto N° 7T/2022";
g) Lo dispuesto en la resolución exenta N° 18, de 19 de enero de 2023, de la Comisión, que rectifica Informe Técnico Definitivo de Valorización de las Instalaciones de los Sistemas de Transmisión para el cuadrienio 2020-2023 y aprueba texto refundido, en adelante "resolución exenta N° 18";
h) Lo dispuesto en el decreto supremo N° 5T, de 31 de mayo de 2024, del Ministerio de Energía, que fija fórmulas tarifarias aplicables a los suministros sujetos a precios regulados que se señalan, efectuados por las empresas concesionarias de distribución que se indican, publicado en el Diario Oficial con fecha 7 de junio de 2024, en adelante "decreto N° 5T/2024";
i) Lo señalado en el oficio ordinario N° 615, de 21 de septiembre de 2022, de la Comisión, dirigido al Coordinador Eléctrico Nacional, en el marco del proceso de fijación semestral de cargos de transmisión, en adelante "oficio ordinario N° 615/2022";
j) Lo indicado en el oficio ordinario electrónico N° 227259, de 22 de mayo de 2024, de la Superintendencia de Electricidad y Combustibles, en adelante "Superintendencia", en que informa interpretación administrativa que indica;
k) Lo solicitado al Coordinador Eléctrico Nacional, en adelante "Coordinador", mediante oficio ordinario N° 351/2024, de 24 de mayo de 2024, de la Comisión, en adelante "oficio ordinario N° 351/2024";
l) Lo señalado en la resolución exenta N° 286, de 29 de mayo de 2025, de la Comisión, que "Aprueba Informe Técnico Preliminar para la fijación de los cargos a que se refieren los artículos 115° y 116° de la ley General de Servicios Eléctricos", en adelante, "resolución exenta N° 286/2025";
m) Las observaciones remitidas por las empresas Celeo Redes Chile Limitada; Grupo Saesa; Red Eléctrica del Norte 2 S.A.; Transelec S.A.; Transmisora Eléctrica del Norte S.A.; Interchile S.A.; Eletrans S.A.; Chilquinta Transmisión S.A.; CGE Transmisión S.A.; Edelnor Transmisión S.A.; Enel Generación Chile S.A., respecto de la resolución exenta N° 286 individualizada en el literal l) anterior;
n) Lo señalado en el correo electrónico del Coordinador, de 26 de mayo de 2025, mediante el cual se remitió la información requerida mediante los oficios individualizados en los literales i) y k);
o) Lo establecido en el decreto supremo N° 12A, de 21 de noviembre de 2022, del Ministerio de Energía, que nombra a don Marco Antonio Mancilla Ayancán en el cargo de Secretario Ejecutivo de la Comisión Nacional de Energía; y,
p) Lo señalado en la resolución N° 36, de 2024, de la Contraloría General de la República.
Considerando:
1) Que, el artículo 115° de la ley establece que el pago de los sistemas de transmisión nacional, zonal y de transmisión dedicada utilizada por parte de usuarios sometidos a regulación de precios será de cargo de los consumidores finales, libres y regulados, a través de un cargo por uso que será determinado y recaudado conforme a las reglas contenidas en el referido artículo;
2) Que, el artículo vigesimoquinto transitorio letra A de la ley N° 20.936, establece que las instalaciones del Sistema de Transmisión Nacional, cuya fecha de entrada en operación señalada en los decretos de expansión respectivos sea posterior al 31 de diciembre del 2018, y las instalaciones asociadas a la interconexión SIC-SING, serán íntegramente pagadas por los clientes finales, a través del cargo único a que se refiere el artículo 115° de la ley;
3) Que, el artículo vigesimoquinto transitorio letra C de la ley N° 20.936, dispone que las inyecciones provenientes de centrales generadoras, a partir del 1 de enero de 2019, se regirán por las reglas permanentes contenidas en la referida ley, eximiéndose del pago de peajes de transmisión, salvo las inyecciones que se señalan en los siguientes literales del citado artículo;
4) Que, el artículo vigesimoquinto transitorio letra D literal x. de la ley N° 20.936, dispone que las exenciones de pago de peaje asociadas a las empresas a que hace referencia la letra C de dicho artículo, así como también la exención de peajes para centrales de medios de generación renovables no convencionales que la referida ley deroga, serán asumidas íntegramente por los consumidores finales;
5) Que, el artículo vigesimoquinto transitorio letra D de la ley N° 20.936, establece que, durante el período que medie entre el 1 de enero de 2019 y el 31 de diciembre de 2034, a los pagos por el Sistema de Transmisión Nacional por parte de las empresas generadoras por sus inyecciones y retiros asociados a contratos de suministro para clientes libres o regulados, celebrados con anterioridad a la entrada en vigencia de la citada ley, se le aplicarán las mismas reglas generales de cálculo del pago de la transmisión troncal que dicha ley deroga, con las adecuaciones contenidas en la referida disposición;
6) Que, el artículo vigesimoquinto transitorio letra E de la ley N° 20.936, dispone que, para el período comprendido entre el 1 de enero de 2019 y el 31 de diciembre de 2034, los propietarios de las centrales generadoras podrán sujetarse a un mecanismo de rebaja del peaje de inyección en forma proporcional a la energía contratada con sus clientes finales, libres o regulados, en los términos señalados en la referida disposición;
7) Que, por su parte, el artículo 72°-7 de la ley establece que la remuneración de las inversiones asociadas a nueva infraestructura de servicios complementarios será financiada por los usuarios finales a través de un cargo de servicios complementarios, el cual será incorporado en el cargo único a que hace referencia el artículo 115° de la ley;
8) Que, además, el artículo 99° bis de la ley establece que la remuneración de las obras de expansión de interconexión internacional de servicio público será de cargo de los clientes finales y deberá ser incluida en el cargo a que hace referencia el artículo 115° de la ley;
9) Que, adicionalmente, el artículo 116° de la ley establece las condiciones para la determinación del cargo único asociado a la remuneración de los sistemas de transmisión para polos de desarrollo de cargo de los consumidores finales, libres o regulados;
10) Que, conforme a lo dispuesto en el inciso tercero del artículo 115° de la ley y en el artículo 143 del Reglamento, los cargos a que se hace referencia en los anteriores considerandos serán calculados semestralmente por la Comisión, en el informe técnico respectivo y fijados mediante resolución exenta, con ocasión de la determinación de los precios de nudo de corto plazo, la que deberá ser dictada y publicada en el Diario Oficial, a más tardar, el 20 de junio y 20 de diciembre de cada año;
11) Que, según lo dispuesto en el artículo 144 del Reglamento, para efectos de lo señalado en el artículo 143 referido en el considerando 10) anterior, a más tardar el 20 de mayo y el 20 de noviembre de cada año, la Comisión deberá emitir una versión preliminar del informe técnico de cálculo de los cargos únicos, el que deberá ser publicado en su sitio web para permitir que, dentro del plazo de diez días contados desde su publicación, los interesados puedan enviar sus observaciones;
12) Que, de acuerdo con lo establecido en el artículo 143 del Reglamento, la vigencia de las resoluciones exentas a que hace referencia el considerando 10) corresponderá a la vigencia semestral de los respectivos decretos del precio de nudo promedio, según corresponda;
13) Que, sobre la base del informe técnico definitivo aprobado mediante resolución exenta N° 18, de la Comisión, el Ministerio de Energía emitió el decreto supremo N° 7T, el cual fue tomado de razón por la Contraloría General de la República con fecha 9 de febrero de 2023;
14) Que, la Comisión solicitó al Coordinador, mediante el oficio ordinario N° 615/2022, una actualización del cálculo de las diferencias acumuladas desde enero de 2020, para los cargos de transmisión nacional, zonal y de instalaciones dedicadas utilizadas por clientes sometidos a regulación de precios, información que se solicitó enviar mensualmente, con el objeto de utilizar dicha actualización en el informe técnico para el cálculo de los cargos de transmisión;
15) Que, el Coordinador finalizó la implementación del decreto supremo N° 7T en el proceso de recaudación de cargos únicos de transmisión;
16) Que, la Superintendencia mediante oficio ordinario electrónico N° 227.259, de 22 de mayo de 2024, informó acerca de la solicitud de interpretación administrativa realizada por la empresa WPD Negrete SpA, relativa al alcance de la aplicación del artículo 114° bis de la Ley General de Servicios Eléctricos, respecto del retraso en la entrada en operación de las obras de expansión denominadas S/E Los Varones, de la línea Los Varones – El Avellano 2x66 kV y la ampliación de la S/E Agua Santa, contempladas en el decreto exento N° 418, de 4 de agosto de 2017, del Ministerio de Energía, que fija listado de instalaciones de transmisión zonal de ejecución obligatoria, necesarias para el abastecimiento de la demanda, en adelante "decreto N° 418/2017";
17) Que, la Superintendencia, en el oficio citado en el considerando precedente, señaló que resulta coherente aplicar el artículo 114° bis de la Ley General de Servicios Eléctricos respecto de la reasignación de ingresos tarifarios debido al retraso en la entrada en operación de las obras de expansión indicadas en el considerando anterior. Por lo anterior, sostuvo que el Coordinador deberá verificar que se cumplan los requisitos mencionados en dicho artículo y aquellos que establece el Reglamento;
18) Que, en virtud de lo anterior, la Comisión, mediante oficio ordinario N° 351/2024 solicitó al Coordinador remitir mensualmente la actualización de la información a la que se refiere el artículo 149° del Reglamento, considerando los ajustes en las diferencias (saldos) referidas en el inciso segundo del artículo 155° del Reglamento, con motivo de la modificación de los ingresos tarifarios que corresponda realizar conforme a lo indicado por la Superintendencia en el oficio ordinario electrónico N° 227.259/2024;
19) Que, por otra parte, cabe hacer presente que, en el numeral 8.3 del informe técnico definitivo aprobado mediante resolución exenta N° 898 de la Comisión, de 15 de diciembre de 2022 (fijación de los cargos de transmisión del primer semestre de 2023), se estableció que los saldos asociados al cargo por uso de los Sistemas de Transmisión Zonal y al cargo por uso de las instalaciones de los Sistemas de Transmisión Dedicada utilizadas por clientes regulados, se distribuirían en cuatro fijaciones semestrales;
20) Que, de acuerdo con lo señalado en el considerando anterior, en la fijación de los cargos de transmisión correspondiente al segundo semestre de 2024 correspondía aplicar la última de las cuatro cuotas fijadas. Sin embargo, en dicha fijación, se advirtió que el monto de la cuarta cuota era excesivamente mayor respecto de las fijaciones anteriores, por lo que se determinó que la cuarta cuota del saldo asociado a los Sistemas de Transmisión Zonal A, B, D, E y F se distribuiría, a su turno, en cuatro fijaciones semestrales;
21) Que, por lo tanto, en la presente fijación de cargos se considera la tercera cuota de las cuatro a que se hace referencia en el considerando anterior;
22) Que, junto con las consideraciones anteriores, a efectos de determinar el cargo asociado a pagos por retiro a que se refiere el literal b) del numeral ix. de la letra D. del artículo vigesimoquinto transitorio de la ley N° 20.936 para los clientes no individualizados, se utilizó la proporción de demanda de los clientes no individualizados contenida en el informe de "Cálculo de estimación de peajes por el sistema de Transmisión Nacional año 2025", de enero de 2025, del Coordinador, en reemplazo de la proporción de la demanda de los clientes no individualizados contenida en el informe de previsión de demanda del año 2024, buscando así resguardar la consistencia entre la proporción de la demanda total considerada para determinar el cargo de transmisión en cuestión y la proporción de la demanda utilizada para determinar los peajes de retiro de clientes no individualizados en el informe de estimación de peajes del año 2025;
23) Que, atendido lo señalado en los considerandos anteriores, para la presente fijación esta Comisión ha utilizado los antecedentes del Informe Técnico Definitivo aprobado mediante la resolución exenta N° 18, la actualización de la información requerida mediante el oficio ordinario N° 615/2022 y la actualización de la información requerida mediante el oficio ordinario N° 351/2024, ambas actualizaciones enviadas de manera conjunta por el Coordinador, mediante correo electrónico de 26 de mayo de 2025;
24) Que, se hace presente que la actualización de la información enviada por el Coordinador mediante correo electrónico indicada en el considerando anterior considera las valorizaciones de las instalaciones contenidas en el decreto de valorización vigente y de los decretos de adjudicación. En este sentido, dicha información no considera la valorización del primer proceso de valorización relativo al artículo 52 del Reglamento, ya que dicho proceso aún no se encuentra concluido con la total tramitación del decreto respectivo;
25) Que, en relación con lo anterior, el presente informe no considera los resultados de los procesos de valorización de las instalaciones del artículo 52 del Reglamento. Dichos resultados serán considerados una vez que los respectivos procesos de valorización terminen, y entren en vigencia los decretos de valorización respectivos;
26) Que, el inciso final del artículo 144° del Reglamento dispone que, vencido el plazo para la presentación de observaciones, la Comisión deberá emitir la versión definitiva del informe técnico respectivo dentro del plazo establecido en el artículo 143° del mismo reglamento, el que, a su vez, señala que los cargos únicos por uso de los sistemas de transmisión serán calculados semestralmente por la Comisión y fijados mediante resolución exenta que deberá ser dictada y publicada en el Diario Oficial, a más tardar, el 20 de junio y 20 de diciembre de cada año; y,
27) Que, habiéndose analizado las observaciones recibidas, y en cumplimiento de lo señalado en los artículos citados en el considerando anterior, mediante el presente acto administrativo, esta Comisión viene en aprobar la fijación definitiva de cargos a que se refieren los artículos 115° y 116° de la ley, conforme a lo indicado en la parte resolutiva.
Resuelvo:
Artículo primero: Apruébase el Informe Técnico Definitivo y sus correspondientes anexos para la fijación de cargos a que se refieren los artículos 115º y 116º de la ley General de Servicios Eléctricos, cuyo texto es el siguiente:
FIJACIÓN DE CARGOS A QUE SE REFIEREN LOS
ARTÍCULOS 115° Y 116° DE LA ley GENERAL DE
SERVICIOS ELÉCTRICOS
INFORME TÉCNICO DEFINITIVO
JUNIO 2025
SANTIAGO – CHILE
ÍNDICE
1. INTRODUCCIÓN
2. RESUMEN EJECUTIVO
3. ANTECEDENTES PARA LA DETERMINACIÓN DE LOS CARGOS A QUE SE REFIEREN LOS ARTÍCULOS 115° Y 116° DE LA LEY
3.1 Definiciones de los cargos
3.2 Previsión de demanda
3.3 Ingresos tarifarios
3.4 VATT: Valor Anual de los Tramos de Transmisión
3.4.1 Artículo vigesimoquinto transitorio de la ley N° 20.936
3.4.1.1 Sistema de Transmisión Nacional: VATT
3.4.1.1.1 Obras asociadas a la interconexión ex SIC-SING
3.4.1.1.2 Obras con fecha de entrada en operación posterior al 31 de diciembre de 2018
3.4.1.1.3 VATT de obras con fecha de entrada en operación posterior al 31 de diciembre de 2018
3.4.2 Exenciones a que se refiere el numeral x. de la letra D. del artículo vigesimoquinto transitorio de la ley Nº 20.936 para clientes finales
3.4.3 Pagos por retiro a que se refiere el literal b) del numeral ix. de la letra D. del artículo vigesimoquinto transitorio de la ley Nº 20.936 para los Clientes no Individualizados
3.4.4 Sistemas de Transmisión Zonal: VATT
3.5 Instalaciones de los Sistemas de Transmisión Dedicada utilizadas por clientes regulados: VATT
3.6 Sistemas de Interconexión Internacional
3.7 Sistemas de Transmisión para Polos de Desarrollo
3.8 Servicios Complementarios: Inversiones de nueva infraestructura (valor anual y saldos)
3.9 Saldos
3.9.1 Metodología y criterios para determinar los ajustes al cargo único
3.9.2 Sistema de Transmisión Nacional
3.9.2.1 Saldo asociado al Sistema de Transmisión Nacional
3.9.2.2 Saldo asociado a exenciones a que se refiere el numeral x. de la letra D. del artículo vigesimoquinto transitorio de la ley Nº 20.936 para clientes finales
3.9.2.3 Saldo asociado a los pagos por retiro a que se refiere el literal b) del numeral ix. de la letra D. del artículo vigesimoquinto transitorio de la ley Nº 20.936 para los Clientes no Individualizados
3.9.3 Sistemas de Transmisión Zonal
3.9.4 Sistemas de Transmisión Dedicada
4. DETERMINACIÓN DE LOS CARGOS A QUE SE REFIEREN LOS ARTÍCULOS 115° Y 116° DE LA LEY
4.1 Cargo por uso del Sistema de Transmisión Nacional
4.1.1 Cargo asociado al Sistema de Transmisión Nacional
4.1.2 Cargo asociado a exenciones a que se refiere el numeral x. de la letra D. del artículo vigesimoquinto transitorio de la ley Nº 20.936 para clientes finales
4.1.3 Cargo asociado a pagos por retiro a que se refiere el literal b) del numeral ix. de la letra D. del artículo vigesimoquinto transitorio de la ley Nº 20.936 para los Clientes no Individualizados
4.2 Cargo por uso de cada Sistema de Transmisión Zonal
4.3 Cargo por uso de los Sistemas de Transmisión Dedicada
4.4 Cargo por uso de los Sistemas de Transmisión para Polos de Desarrollo
4.5 Cargo por uso asociado a nueva infraestructura para la prestación de Servicios Complementarios
4.6 Cargo por uso asociado a Sistemas de Interconexión Internacional
5. ANEXOS
INFORME TÉCNICO
FIJACIÓN DE CARGOS A QUE SE REFIEREN LOS ARTÍCULOS 115° Y 116° DE LA ley GENERAL DE SERVICIOS ELÉCTRICOS
1. INTRODUCCIÓN
De conformidad a lo dispuesto en el artículo 115° del DFL Nº 4/20018, de 2006, del Ministerio de Economía, Fomento y Reconstrucción, que fija el texto refundido, coordinado y sistematizado del DFL Nº 1, del Ministerio de Minería, de 1982, Ley General de Servicios Eléctricos, en materia de energía eléctrica, modificado por la ley Nº 20.936, en adelante e indistintamente la "Ley", y en el título IV del Reglamento de Calificación, Valorización, Tarificación y Remuneración de las Instalaciones de Transmisión, aprobado mediante el decreto Nº 10, de 2019, del Ministerio de Energía, en adelante el "Reglamento", que establece las disposiciones aplicables a la recaudación, pago y remuneración de los sistemas de transmisión, así como la fijación del cargo a que se refiere el artículo 115° de la ley, los cargos a que hace referencia dicho artículo y el artículo 116° de la ley serán calculados semestralmente por la Comisión Nacional de Energía, en adelante e indistintamente, "CNE" o "Comisión", en el informe técnico respectivo y fijados mediante resolución exenta con ocasión de la determinación de los precios de nudo de corto plazo.
En particular, el artículo 115° de la ley, que regula el pago de la transmisión, establece que los sistemas de transmisión nacional, zonal y las instalaciones de los sistemas de transmisión dedicada utilizadas por parte de usuarios sujetos a regulación de precios, serán remunerados a través del respectivo cargo por uso que será recaudado de los consumidores finales. En particular, respecto de las instalaciones de transmisión dedicada utilizadas por parte de usuarios sometidos a regulación de precios, el artículo 114° de la ley dispone que estas deberán ser remuneradas por los clientes regulados en la proporción correspondiente a su uso.
Por su parte, el artículo 72°-7 de la ley, relativo a servicios complementarios, dispone que la remuneración de las inversiones asociadas a nueva infraestructura será financiada por los usuarios finales, a través de un cargo de servicios complementarios, el cual deberá ser incorporado al cargo único al que se refiere el artículo 115° de la ley.
A su turno, el artículo 99° bis de la ley, referido a la expansión, desarrollo, remuneración y pago de los sistemas de interconexión internacional de servicio público, señala que las instalaciones asociadas a dichos sistemas serán remuneradas a través de un cargo a clientes finales que deberá ser incluido en el cargo al que hace referencia el artículo 115° de la ley.
Asimismo, en virtud de lo establecido la letra d) del artículo 151° del Reglamento, el cargo único para la remuneración de la proporción no utilizada por centrales generadoras existentes en los sistemas de transmisión para polos de desarrollo definido en el artículo 116° de la ley, será calculado y fijado en la misma oportunidad que el cargo establecido en el artículo 115° de la ley.
Finalmente, las disposiciones transitorias del Reglamento indican que se deberá considerar lo dispuesto en el artículo vigesimoquinto transitorio de la ley Nº 20.936, con relación al régimen de recaudación, pago y remuneración del Sistema de Transmisión Nacional.
En consecuencia, el presente informe técnico contiene los antecedentes y cálculos que respaldan la determinación de los cargos indicados en los párrafos anteriores.
2. RESUMEN EJECUTIVO
Los cargos aplicables a clientes finales son los que se indican en las tablas siguientes, los que, de conformidad a lo dispuesto en el inciso tercero del artículo 115° de la ley, deberán ser agrupados en un cargo único en las boletas o facturas de usuarios libres o regulados extendidas por sus respectivos suministradores, sean estas empresas concesionarias de servicio público de distribución o generadoras.
Respecto de los clientes sujetos a fijación de precios, se deberá considerar lo establecido en el decreto supremo Nº 5T, de 31 de mayo de 2024, del Ministerio de Energía, que fija fórmulas tarifarias aplicables a los suministros sujetos a precios regulados que se señalan, efectuados por las empresas concesionarias de distribución que se indican, en adelante "decreto N° 5T/2024".
Tabla 1 : Cargos asociados al Sistema de Transmisión Zonal para clientes regulados y libres


Tabla 2 : Cargo asociado a las instalaciones del Sistema de Transmisión Dedicada utilizadas por parte de usuarios sometidos a regulación de precios para clientes regulados

Tabla 3 : Cargo asociado al Sistema de Transmisión Nacional para clientes regulados y libres

Tabla 4: Cargo asociado a exenciones a que se refiere el numeral x. de la letra D. del artículo vigesimoquinto transitorio de la ley N° 20.936 para clientes libres y regulados

Tabla 5: Cargo asociado a pagos por retiro a que se refiere el literal b) del numeral ix. de la letra D. del artículo vigesimoquinto transitorio de la ley N° 20.936 para los clientes a que se refiere el numeral 2. del literal ix. de la letra D. del artículo vigesimoquinto de la ley N° 20.936 (Clientes no Individualizados)

Tabla 6 : Cargo asociado a infraestructura de Servicios Complementarios

Tabla 7 : Cargo asociado a los sistemas de transmisión para polos de desarrollo para clientes regulados y libres

Tabla 8 : Cargo asociado a interconexiones internacionales de servicio público para clientes regulados y libres

3. ANTECEDENTES PARA LA DETERMINACIÓN DE LOS CARGOS A QUE SE REFIEREN LOS ARTÍCULOS 115° Y 116° DE LA LEY
En esta sección se presentan los principales antecedentes utilizados en la determinación de los cargos establecidos en los artículos 115° y 116° de la ley, explicitando las variables de cálculo y sus consideraciones.
3.1 Definiciones de los cargos
De acuerdo con la regulación vigente, las empresas propietarias de las instalaciones existentes de los sistemas de transmisión nacional, zonal y para polos de desarrollo, deberán percibir anualmente el valor anual de la transmisión por tramo definido en el artículo 103° de la ley, correspondiente a cada uno de dichos sistemas. Este valor constituirá el total de su remuneración anual.
Dentro del sistema de transmisión nacional y de cada sistema de transmisión zonal se establecerá un cargo por uso del sistema, de modo que la recaudación asociada a este constituya el complemento de los ingresos tarifarios reales para recaudar el valor anual de la transmisión de cada tramo.
Asimismo, se establecerá un cargo único, de modo que la recaudación asociada a este remunere la proporción de las instalaciones de transmisión dedicada utilizadas por parte de usuarios sometidos a regulación de precios, considerando la proporción de ingresos tarifarios reales asignables a ellos.
Además, se establecerá un cargo único, de manera que la recaudación asociada a este remunere la proporción de las instalaciones para polos de desarrollo no utilizada por la generación existente. El valor anual de la transmisión para polos de desarrollo no cubierta por dicho cargo será asumido por los generadores que inyecten su producción en el polo correspondiente.
Por su parte, las inversiones por servicios complementarios asociadas a nueva infraestructura, con sus costos anuales de mantenimiento eficiente que sean contemplados en el informe de servicios complementarios del Coordinador, serán remuneradas por los usuarios finales a través de un cargo asociado a dichos servicios, conforme a lo dispuesto en el artículo 72º-7 de la ley.
Adicionalmente, deberá calcularse un cargo asociado a las interconexiones internacionales de servicio público para efectos del pago de su remuneración, de acuerdo con lo establecido en el artículo 99º bis de la ley.
3.2 Previsión de demanda
En la Tabla 9 se presenta la demanda de energía eléctrica proyectada total a facturar a clientes regulados y libres del sistema de transmisión zonal, correspondiente al periodo julio a diciembre del año 2025, segmentada por nivel de tensión, que ha sido utilizada para la elaboración del presente informe técnico.
Asimismo, la Tabla 10 muestra la demanda de clientes regulados y libres del Sistema Eléctrico Nacional durante el mismo periodo de análisis.
Tabla 9 : Demanda de energía eléctrica proyectada total a facturar por Sistema de Transmisión Zonal


Tabla 10 : Demanda de energía eléctrica proyectada total a facturar en el Sistema Eléctrico Nacional

Las bases de cálculo de la previsión de demanda utilizada se encuentran en la resolución exenta N° 169, de 8 de abril de 2025, de la Comisión, que aprueba "Informe Definitivo de Previsión de Demanda 2024-2044 Sistema Eléctrico Nacional y Sistemas Medianos", el cual se encuentra publicado en la página web de la Comisión. Cabe destacar que, para esta fijación, la asignación de las barras de clientes libres a los segmentos de transmisión nacional, zonal y dedicados, se realizó de acuerdo con lo establecido en la resolución exenta N° 244, de 9 de abril de 2019, de la Comisión, que aprueba Informe Técnico Definitivo de Calificación de Instalaciones de los Sistemas de Transmisión para el período 2020-2023, y sus actualizaciones posteriores para dicho periodo.
Asimismo, para la determinación del cargo asociado a pagos por retiro a que se refiere el literal b) del numeral ix. de la letra D. del artículo vigesimoquinto transitorio de la ley N° 20.936 relativo a los Clientes no Individualizados, se utilizó la proporción de demanda de los Clientes no Individualizados contenida en el informe de "Cálculo de estimación de peajes por el Sistema de Transmisión Nacional año 2025", de enero de 2025, del Coordinador.
Tabla 11: Ajuste de proporción de demanda de clientes individualizados y no individualizados.

3.3 Ingresos tarifarios
De conformidad a lo dispuesto en el artículo 153° del Reglamento, para efectos de calcular los ingresos tarifarios disponibles del semestre anterior, la Comisión considerará los valores informados por el Coordinador para los meses de octubre a marzo y de abril a septiembre de cada año, para las fijaciones de junio y diciembre, respectivamente.
A la fecha del presente informe, el Coordinador informó los ingresos tarifarios hasta el mes de marzo de 2025, por tanto, para el cálculo de los ingresos tarifarios se considera el periodo de recaudación de octubre de 2024 a marzo de 2025.
En el Anexo N° 2 se presenta el detalle de los ingresos tarifarios considerados para el cálculo de los cargos a que se refieren los artículos 115° y 116° de la ley.
3.4 VATT: Valor Anual de los Tramos de Transmisión
3.4.1 Artículo vigesimoquinto transitorio de la ley N° 20.936
3.4.1.1 Sistema de Transmisión Nacional: VATT
3.4.1.1.1 Obras asociadas a la interconexión ex SIC-SING
El Valor Anual de Transmisión por Tramo, en adelante "VATT", informado por el Coordinador y que se detalla en el Anexo N° 3, se encuentra indexado a marzo de 2025, conforme a sus respectivas fórmulas de indexación. A partir de dicho antecedente, por cada tramo detallado en la Tabla 12 se ha calculado el VATT en pesos [$] con el dólar promedio de mayo 2025.
Tabla 12: VATT de obras de interconexión SIC-SING indexado a marzo de 2025

3.4.1.1.2 Obras con fecha de entrada en operación posterior al 31 de diciembre de 2018
De acuerdo con lo establecido en la letra A. del artículo vigesimoquinto transitorio de la ley N° 20.936, las instalaciones cuya fecha de entrada en operación señalada en los decretos de expansión respectivos sea posterior al 31 de diciembre de 2018, serán íntegramente pagadas por los clientes finales a través del cargo único a que se refiere el artículo 115° de la ley.
Dado lo anterior, se consideran las obras de expansión del Sistema de Transmisión Nacional, correspondientes a obras nuevas, obras de ampliación y obras autorizadas excepcionalmente por la Comisión en virtud del inciso segundo del artículo 102º de la ley, que regula aquellas obras de transmisión necesarias y urgentes, que hayan entrado en operación con posterioridad al 31 de diciembre de 2018 y hasta el 31 de marzo de 2025, las cuales se individualizan en los numerales 2.1 y 2.2 del Anexo N° 1.
Adicionalmente, se consideran aquellas obras que tienen fecha de entrada en operación prevista hasta el 31 de diciembre 2025, de acuerdo con la información entregada por el Coordinador mediante los correos electrónicos de 14 de mayo de 2025 (Anexo Nº 5), las cuales se detallan en el numeral 2.3 del Anexo Nº 1.
Finalmente, se consideran las instalaciones del Sistema de Transmisión Nacional no adscritas a dicho sistema de transmisión antes del proceso de calificación 2020-2023, de acuerdo con lo señalado en el numeral 2.4 del Anexo Nº 1.
3.4.1.1.3 VATT de obras con fecha de entrada en operación posterior al 31 de diciembre de 2018
En la siguiente tabla se muestran los VATT, en miles de dólares (MUS$), de las obras que han entrado en operación con posterioridad al 31 de diciembre de 2018 y hasta el 31 de marzo de 2025 y las obras que tienen fecha de entrada en operación prevista hasta el 31 de diciembre 2025, de conformidad a lo señalado en los decretos indicados en la siguiente tabla.
_______________________
(1) A efectos de calcular el VATT en pesos chilenos, se ha utilizado como tipo de cambio el dólar de los Estados Unidos de América, correspondiente a mayo de 2025, publicado por el Banco Central de Chile.
Tabla 13: VATT de obras de transmisión con fecha de entrada posterior al 31 de diciembre de 2018, según decreto de adjudicación o valorización provisoria



Los VATT adjudicados se reajustarán anualmente, en dólares de los Estados Unidos de América (2) , según la fórmula de indexación establecida en los decretos de adjudicación o valorización señalados en la tabla anterior.
Para aquellas instalaciones del Sistema de Transmisión Nacional no adscritas a dicho sistema de transmisión antes del proceso de calificación 2020-2023 (3) , se consideró la valorización contenida en el decreto supremo N° 7T, de 25 de abril de 2022, del Ministerio de Energía, que fija valor anual de las instalaciones de transmisión nacional, zonal y de las instalaciones de transmisión dedicada utilizadas por parte de los usuarios sometidos a regulación de precios, en adelante "decreto N° 7T/2022" . En el caso de las instalaciones que no fueron consideradas en el proceso de valorización de instalaciones de transmisión del cuatrienio 2020-2023, se utilizó la valorización provisoria informada por el Coordinador en respuesta al oficio ordinario Nº 615/2022 de la Comisión.
Para efectos de la determinación del VATT a utilizar en el cálculo a que hace referencia el capítulo 4 de este informe, se han indexado dichos valores a marzo de 2025. Los valores de los índices de las fórmulas de indexación asociadas a las instalaciones de los decretos de adjudicación se encuentran en los antecedentes del Anexo N° 3. A partir de esos valores, por cada tramo, se ha calculado el VATT en pesos [$] con el dólar promedio de mayo 2025 (4) .
3.4.2 Exenciones a que se refiere el numeral x. de la letra D. del artículo vigesimoquinto transitorio de la ley Nº 20.936 para clientes finales
La letra D. del artículo vigesimoquinto transitorio de la ley N° 20.936 dispone que, durante el período que medie entre el 1 de enero de 2019 y el 31 de diciembre de 2034, a los pagos por el Sistema de Transmisión Nacional por parte de las empresas generadoras por sus inyecciones y retiros asociados a contratos de suministro para clientes libres o regulados, celebrados con anterioridad a la entrada en vigencia de la citada ley, se les aplicarán las mismas reglas generales de cálculo del pago de la transmisión troncal que dicha ley deroga, con las adecuaciones que se establecen en la citada disposición.
Para estos efectos, el literal ix. de la letra D. del artículo ya individualizado distingue dos grupos de clientes finales:
(i) los clientes libres de empresas generadoras, individualizados mediante resolución exenta de la Comisión, cuya energía contratada promedio anual es superior o igual a 4.500 MWh, en adelante "Clientes Individualizados"; y
(ii) los demás clientes, libres o regulados, en adelante "Clientes no Individualizados".
Los clientes definidos en el literal (i) anterior se encuentran individualizados en la resolución exenta N° 761, de 10 de diciembre de 2019, de la Comisión, y que dejó sin efecto la resolución exenta N° 641, de 3 de octubre de 2019, de la Comisión.
A su vez, el literal x. de la letra D. del artículo vigesimoquinto transitorio de la ley N° 20.936 establece que las exenciones de pago de peaje asociadas a las empresas a que hace referencia la letra C. del artículo vigesimoquinto transitorio de dicha ley, así como también la exención de peajes para centrales de medios de generación renovables no convencionales que la ley N° 20.936 deroga, serán asumidas íntegramente por los consumidores finales.
Por otra parte, el lite ral iv de la letra D. del artículo vigesimoquinto transitorio de l a ley N° 20.936 establece que el Coordinador deberá enviar a la Comisión, antes del 30 de noviembre de cada año, a partir de 2018, las prorratas mensuales sobre uso esperado asignables a inyecciones y retiros.
De acuerdo con lo anterior, la información remitida por el Coordinador mediante carta DE 06311-24, de fecha 29 de noviembre de 2024, que contiene los montos asociados a las exenciones indicadas anteriormente, fue calculada con los antecedentes del decreto 7T/2022.
_______________________
(2) A menos que se indique lo contrario, todas las referencias a "dólares" de este documento corresponden a dólares de los Estados Unidos de América.
(3) Proceso que culminó con la dictación de la resolución exenta N° 244, de 9 de abril de 2019, de la Comisión.
(4) Se ha utilizado como tipo de cambio el dólar de los Estados Unidos de América, correspondiente a mayo de 2025, publicado por el Banco Central de Chile.
Tabla 14 : Exenciones Peajes de Inyección

3.4.3 Pagos por retiro a que se refiere el literal b) del numeral ix. de la letra D. del artículo vigesimoquinto transitorio de la ley Nº 20.936 para los Clientes no Individualizados
Con relación al régimen de recaudación, pago y remuneración de la transmisión nacional, el artículo vigesimoquinto transitorio letra B de la ley N° 20.936 dispone que, en el período que medie entre la entrada en vigor de esta última y el 31 de diciembre de 2018, las normas derogadas asociadas a dicho régimen se aplicarán íntegramente.
Una vez transcurrido dicho plazo, el literal viii. de la letra D. del artículo vigesimoquinto transitorio de la ley N° 20.936 dispone que, durante el período que medie entre el 1 de enero de 2019 y el 31 de diciembre de 2034, se eliminarán los cargos señalados en los párrafos primero y segundo de la letra a) del artículo 102° que la referida ley deroga.
Respecto de los Clientes Individualizados , la letra b) del literal ix. de la letra D. del artículo vigesimoquinto transitorio de la ley N° 20.936 dispone que se considerará una prorrata individual, y se determinará su pago de peajes de retiro mediante la aplicación de la metodología de pagos por retiros que dicha ley deroga sobre las instalaciones que corresponda, considerando que las participaciones en el ex SIC asociadas a retiros del ex SING son iguales a cero, y a su vez, a las instalaciones que corresponda, considerando que las participaciones en el ex SING asociadas a retiros del ex SIC son iguales a cero.
En relación con los Clientes no Individualizados , la letra b) del literal ix. de la letra D. del artículo vigesimoquinto transitorio de la ley N° 20.936 establece que se determinará un pago de peajes a través de un cargo único, conforme a la aplicación de la metodología de pagos por retiros que dicha ley deroga, sobre las instalaciones que corresponda.
Por otra parte, el lite ral iv de la letra D. del artículo vigesimoquinto transitorio de la ley N° 20.936 establece que el Coordinador deberá enviar a la Comisión, antes del 30 de noviembre de cada año, a partir de 2018, las prorratas mensuales sobre uso esperado asignables a inyecciones y retiros.
De acuerdo con lo anterior, la información remitida por el Coordinador mediante carta DE 06311-24, de 29 de noviembre de 2024, que contiene los montos asociados a los pagos por retiro de los Clientes no Individualizados indicados anteriormente, fue calculada con los antecedentes del decreto 7T/2022.
Tabla 15 : Peaje de retiro asociado a Clientes no Individualizados

3.4.4 Sistemas de Transmisión Zonal: VATT
El VATT informado por el Coordinador y que se detalla en el Anexo N° 3, se encuentra indexado a marzo de 2025, conforme a sus respectivas fórmulas de indexación. A partir de dicho antecedente, por cada tramo detallado en la Tabla 16 se ha calculado el VATT en pesos [$] con el dólar promedio de mayo de 2025.
En cumplimiento de lo anterior, la Tabla 16 muestra los valores del VATT para cada sistema de transmisión zonal, agrupados por nivel de tensión.
Tabla 16: VATT indexado a marzo de 2025 de los Sistemas de Transmisión Zonal

Los valores de los VATT indexados a marzo de 2025 se determinaron de acuerdo con la fórmula de indexación del respectivo decreto, según se señala a continuación:
. Instalaciones de transmisión contenidas en el decreto N° 7T/2022, que considera instalaciones hasta el 31 de diciembre de 2017.
. Instalaciones de transmisión zonal correspondientes a obras de ejecución obligatoria a que se refiere el artículo decimotercero transitorio de la ley N° 20.936, contenidas en el decreto supremo N° 418, de 2017, del Ministerio de Energía, que fija listado de instalaciones de transmisión zonal de ejecución obligatoria, necesarias para el abastecimiento de la demanda, en adelante "decreto N° 418 de 2017", que entraron en operación entre el 1 de enero de 2018 y el 31 de diciembre de 2018, y fueron valorizadas en el decreto supremo N° 7T, de 2020, del Ministerio de Energía, que fija valor anual por tramo de los sistemas de transmisión zonal de acuerdo al artículo decimotercero transitorio de la ley N° 20.936, en adelante "decreto N° 7T de 2020".
. Obras de ejecución obligatoria de transmisión zonal contenidas en el decreto N° 418 de 2017, que entraron en operación entre el 1 de enero de 2019 y el 31 de marzo de 2025, que no son parte de los decretos de valorización indicados en el punto anterior. Para estas instalaciones se utilizó la valorización referencial indicada en dicho decreto.
. Obras nuevas y obras de ampliación que entraron en operación entre el 1 de enero de 2018 y el 31 de marzo de 2025, contenidas en los siguientes decretos de adjudicación:
_______________________
(5) A efectos de determinar el VATT en pesos chilenos, se ha utilizado como tipo de cambio el dólar de los Estados Unidos de América, correspondiente a mayo de 2025, publicado por el Banco Central de Chile.
- Decreto supremo N° 19T, de 2018, del Ministerio de Energía, que fija empresas adjudicatarias de la construcción de las obras de ampliación del Sistema de Transmisión Zonal que indica, señaladas en el artículo decimotercero transitorio de la ley Nº 20.936, en adelante "decreto N° 19T de 2018".
- Decreto supremo N° 5T, de 2019, del Ministerio de Energía, que fija derechos y condiciones de ejecución y explotación de las obras nuevas que se indican del Sistema de Transmisión Zonal del artículo decimotercero transitorio de la ley Nº 20.936, en adelante "decreto N° 5T de 2019".
- Decreto supremo N° 11T, de 2019, del Ministerio de Energía, que fija empresas adjudicatarias de la construcción de las obras de ampliación del Sistema de Transmisión Zonal correspondientes al segundo llamado de la licitación pública que se indica, señaladas en el artículo decimotercero transitorio de la ley Nº 20.936, en adelante "decreto N° 11T de 2019".
- Decreto supremo N° 8T, de 2020, del Ministerio de Energía, que fija empresas adjudicatarias de la construcción y ejecución de las obras de ampliación de los Sistemas de Transmisión Nacional y Zonal, correspondientes al llamado de licitación pública del plan de expansión del año 2017, aprobado mediante decreto exento Nº 293 del Ministerio de Energía de 2018, en adelante "decreto N° 8T de 2020".
- Decreto supremo N° 13T, de 2020, del Ministerio de Energía, que fija derechos y condiciones de ejecución y explotación de las obras nuevas contempladas en el decreto N° 4, de 2019, del Ministerio de Energía, en adelante "decreto N° 13T de 2020".
- Decreto supremo N° 15T, de 2020, del Ministerio de Energía, que fija derechos y condiciones de ejecución y explotación y fija empresas adjudicatarias de la construcción y ejecución, de las obras condicionadas contempladas en el decreto N° 4 exento, de 2019, y el decreto N° 293 exento, de 2018, ambos del Ministerio de Energía, en adelante "decreto N° 15T de 2020".
- Decreto supremo N° 17T, de 2020, del Ministerio de Energía, que fija empresas adjudicatarias de la construcción y ejecución de las obras de ampliación del sistema de transmisión zonal correspondientes al tercer llamado de la licitación pública de las obras contempladas en el decreto exento N° 418 del Ministerio de Energía, de 2017, y de las obras de ampliación de los sistemas de transmisión nacional y zonal correspondientes al primer llamado a licitación pública de las obras contempladas en el decreto exento N° 293 del Ministerio de Energía, de 2018, en adelante "decreto N° 17T de 2020".
- Decreto supremo N° 18T, de 2020, del Ministerio de Energía, que fija empresas adjudicatarias de la construcción y ejecución de las obras de ampliación de los sistemas de transmisión nacional y zonal, correspondientes al llamado de licitación pública del Plan de Expansión del año 2018, aprobado mediante decreto Nº 198 exento, de 2019, del Ministerio de Energía, en adelante "decreto N° 18T de 2020".
- Decreto supremo N° 4T, de 2021, del Ministerio de Energía, que fija derechos y condiciones de ejecución y explotación y fija empresas adjudicatarias de la construcción y ejecución de las obras condicionadas contempladas en el decreto Nº 198 exento, de 2019, y en el decreto Nº 231 exento, de 2019, ambos del Ministerio de Energía, en adelante "decreto N° 4T de 2021".
- Decreto supremo N° 11T, de 2021, del Ministerio de Energía, que fija empresas adjudicatarias de la construcción y ejecución de las obras de ampliación de los sistemas de transmisión Nacional y Zonal, contempladas en los decretos exentos N° 293 de 2018, N° 198 de 2019 y N° 171 de 2020, todos del Ministerio de Energía, en adelante "decreto N° 11T de 2021".
- Decreto supremo N° 15T, de 2021, del Ministerio de Energía, que fija derechos y condiciones de ejecución y explotación y fija empresas adjudicatarias de la construcción y ejecución de las obras contempladas en los decretos exentos Nº 418 de 2017, Nº 293 de 2018, Nº 4 de 2019, Nº 171, de 2020, y Nº 185, de 2020, todos del Ministerio de Energía, en adelante "decreto N° 15T de 2021".
- Decreto supremo N° 13T, de 2022, del Ministerio de Energía, que fija empresas adjudicatarias de la construcción y ejecución de las obras de ampliación de los sistemas de transmisión Nacional y Zonal, contempladas en los decretos exentos N° 171 de 2020 y N° 185 de 2021, ambos del Ministerio de Energía, en adelante "decreto 13T de 2022".
. Obras autorizadas excepcionalmente por la Comisión en virtud del inciso segundo del artículo 102º de la ley, que regula aquellas obras de transmisión necesarias y urgentes del Sistema de Transmisión Zonal que entraron en operación entre el 1 de enero de 2018 y el 31 de marzo de 2025.
Finalmente, para el periodo comprendido entre el 1 de abril de 2025 y el 31 de diciembre de 2025, se consideraron las obras del sistema de transmisión zonal que deberían entrar en operación durante el periodo señalado, de acuerdo con la información entregada por el Coordinador mediante correo electrónico del 14 de mayo de 2025 (Anexo Nº 5), contenidas en los siguientes decretos:
. Obras de ejecución obligatoria de transmisión zonal a que se refiere el artículo decimotercero transitorio de la ley N° 20.936, contenidas en el decreto N° 418 de 2017. Respecto a su valorización, a efectos de la presente fijación, se consideraron los valores referenciales indicados en el mismo decreto.
. Obras nuevas y de ampliación contenidas en los siguientes decretos de adjudicación: decreto N° 19T de 2018; decreto N° 5T de 2019; decreto N° 15T de 2020; decreto N° 11T de 2021; decreto N° 15T de 2021 y decreto N° 13T de 2022.
Las obras autorizadas excepcionalmente por la Comisión en virtud del inciso segundo del artículo 102º de la ley, que deberían entrar en operación entre el 1 de abril de 2025 y el 31 de diciembre de 2025, de acuerdo con la información entregada por el Coordinador mediante los correos electrónicos del 14 de mayo de 2025 (Anexo Nº 5), serán consideradas con una valorización provisoria a partir de los antecedentes entregados a la Comisión.
3.5 Instalaciones de los Sistemas de Transmisión Dedicada utilizadas por clientes regulados: VATT
La ley y el Reglamento establecen que se debe determinar un cargo por el uso de las instalaciones de los Sistemas de Transmisión Dedicada utilizada por parte de los consumidores finales regulados, por lo que es necesario establecer el VATT asociado a estas, con el fin de determinar el referido cargo por uso de dicho segmento de transmisión.
El VATT considerado para las instalaciones de los Sistemas de Transmisión Dedicada corresponde al contenido en el decreto N° 7T/2022, que considera instalaciones hasta el 31 de diciembre de 2017.
En la Tabla 17 se muestra el VATT total de dichas instalaciones, indexado a marzo de 2025, conforme a sus respectivas fórmulas de indexación, el que se ha calculado en pesos [$] con el dólar promedio de mayo 2025.
Tabla 17 : VATT Instalaciones del Sistema de Transmisión Dedicada utilizadas por parte de clientes regulados

3.6 Sistemas de Interconexión Internacional
De acuerdo con los antecedentes disponibles para la presente fijación, no procede la determinación del cargo para la remuneración de las instalaciones asociadas a las interconexiones internacionales establecido en el artículo 99° bis de la ley, puesto que, a la fecha, no existe este tipo de instalaciones.
3.7 Sistemas de Transmisión para Polos de Desarrollo
De acuerdo con los antecedentes disponibles para la presente fijación, no procede la determinación del cargo único para la remuneración de la proporción no utilizada por centrales generadoras existentes en los sistemas de transmisión para polos de desarrollo definido en el artículo 116° de la ley, puesto que, a la fecha, no existe este tipo de sistema de transmisión.
3.8 Servicios Complementarios: Inversiones de nueva infraestructura (valor anual y saldos)
De acuerdo con los antecedentes disponibles para la presente fijación, en particular, la información enviada por el Coordinador indicada en el artículo 149° del Reglamento, la Comisión, para el cálculo del cargo para el financiamiento de las remuneraciones de las inversiones asociadas a nueva infraestructura de servicios complementarios establecido en el artículo 72°-7 de la ley, consideró el valor anual de 2024 de dicha infraestructura, ajustado por la variación del IPC entre diciembre 2024 y marz o 2025, y los saldos acumulados. En la tabla siguiente se presentan los antecedentes y el resultado del respectivo cargo:
_______________________
(6) A efectos de determinar el VATT en pesos chilenos, se ha utilizado como tipo de cambio el dólar de los Estados Unidos de América, correspondiente a mayo de 2025, publicado por el Banco Central de Chile.
Tabla 18 : Antecedentes para el cargo por Servicios Complementarios

Cabe señalar que el valor negativo de los saldos acumulados representa que la recaudación ha sido mayor al valor anual de la nueva infraestructura de servicios complementarios.
3.9 Saldos
Frente al retraso en la dictación del decreto al que hace referencia el artículo 112° de la ley, el Reglamento, en los artículos 126º al 128º, detalla las consideraciones que deben tenerse en cuenta para el cálculo de las diferencias entre los VATT que en definitiva se establezcan y los valores efectivamente facturados, para posteriormente remitirse al artículo 155º del mismo reglamento, el cual indica cómo realizar los ajustes en los cargos a que se refiere el artículo 115° de la ley con motivo del retraso en la publicación del referido decreto.
De acuerdo con lo anterior, los saldos hasta diciembre de 2019 no son reajustados, mientras que los saldos originados desde enero de 2020 a febrero de 2023, correspondientes a la valorización del decreto 7T/2022, deben ser reajustados por la variación del IPC, tal como indica el Reglamento, por el retraso del referido decreto, el cual se publicó en el Diario Oficial el 16 de febrero de 2023.
De acuerdo con lo anterior, la Comisión utilizó la información enviada por el Coordinador en respuesta al Oficio Ord. Nº 615/2022, en el cual se solicitó una actualización del cálculo de las diferencias acumuladas desde enero 2020 a la fecha del oficio, para los cargos de transmisión nacional, zonal y por el uso de instalaciones dedicadas utilizadas por clientes sometidos a regulación de precios. Lo anterior derivó en una aplicación parcial y de manera adelantada de lo indicado en el Reglamento respecto de la consideración de los saldos, con el objeto de atenuar la magnitud de los efectos que generan los saldos acumulados y así dar estabilidad a las tarifas de los clientes.
Adicionalmente, en el presente Informe Técnico se consideran los saldos informados por el Coordinador, de acuerdo con lo establecido en el artículo 149° del Reglamento, correspondientes al mes de marzo de 2025.
Para el cálculo de los saldos del Sistema de Transmisión Nacional en la fijación del segundo semestre 2025 se utilizan los saldos acumulados a marzo de 2025.
Para el cálculo de los saldos de los Sistemas de Transmisión Zonal en la fijación del segundo semestre 2025 se utilizan los saldos acumulados a marzo de 2025 y los saldos utilizados en la fijación del primer semestre de 2025, que consideró los saldos acumulados a septiembre 2024. Todos estos consideran a su vez los saldos que corresponde ajustar por IPC.
3.9.1 Metodología y criterios para determinar los ajustes al cargo único
En la presente fijación se utilizan metodologías distintas de aproximación entre el Sistema de Transmisión Nacional y los sistemas de transmisión zonal, para la determinación de los saldos que se deben considerar en la fijación del cargo del segundo semestre de 2025, con el objetivo de evitar un sobre o sub-dimensionamiento del cargo de transmisión, y así resguardar la estabilidad de las tarifas de los clientes regulados y, al mismo tiempo, la estabilidad en la recaudación por parte de las empresas propietarias de instalaciones de transmisión.
Para el Sistema de Transmisión Nacional se utiliza el saldo informado por el Coordinador a marzo de 2025, sin realizar el ajuste de la porción de los saldos utilizados para la fijación del primer semestre de 2025 que, a la fecha, aún no se han recaudado.
Para los Sistemas de Transmisión Zonal se realiza una aproximación de los saldos utilizados en los cargos de transmisión del segundo semestre de 2025, que consiste en utilizar el saldo informado por el Coordinador a marzo de 2025, ajustando por la porción de los saldos utilizados para la fijación del primer semestre de 2025 que, a la fecha, aún no se han recaudado. Dicha porción de saldos es estimada como la mitad del saldo considerado en la fijación anterior, bajo el supuesto que a marzo de 2025 se ha recaudado o utilizado el 50% de los saldos considerados en la fijación del primer semestre de 2025.
Sin perjuicio de lo anterior, en las siguientes secciones se indican las consideraciones particulares de los saldos calculados para cada sistema de transmisión.
3.9.2 Sistema de Transmisión Nacional
3.9.2.1 Saldo asociado al Sistema de Transmisión Nacional
Para el cálculo del cargo asociado al Sistema de Transmisión Nacional se utiliza el saldo correspondiente al valor del saldo a marzo de 2025, lo cual se presenta en la Tabla 19 :
Tabla 19 : Saldo asociado al Sistema de Transmisión Nacional

Cabe señalar que el saldo informado a marzo de 2025 corresponde a un saldo a favor de los propietarios de las instalaciones de transmisión.
3.9.2.2 Saldo asociado a exenciones a que se refiere el numeral x. de la letra D. del artículo vigesimoquinto transitorio de la ley Nº 20.936 para clientes finales
Respecto de las exenciones a que se refiere el numeral x. de la letra D. del artículo vigesimoquinto transitorio de la ley Nº 20.936 para clientes finales, se considera el saldo informado a marzo de 2025, lo cual se presenta en la Tabla 20 :
Tabla 20: Saldo asociado a exenciones a que se refiere el numeral x. de la letra D. del artículo vigesimoquinto transitorio de la ley Nº 20.936 para Clientes Finales

Cabe señalar que el saldo informado a marzo de 2025 corresponde a un saldo a favor de los propietarios de las instalaciones de transmisión.
3.9.2.3 Saldo asociado a los pagos por retiro a que se refiere el literal b) del numeral ix. de la letra D. del artículo vigesimoquinto transitorio de la ley Nº 20.936 para los Clientes no Individualizados
Respecto de los pagos por retiro a que se refiere el literal b) del numeral ix. de la letra D. del artículo vigesimoquinto transitorio de la ley Nº 20.936 para los Clientes no Individualizados, se considera el saldo informado a marzo de 2025, lo cual se presenta en la Tabla 21:
Tabla 21: Saldo asociado a pagos por retiro a que se refiere el literal b) del numeral ix. de la letra D. del artículo vigesimoquinto transitorio de la ley Nº 20.936 para los Clientes no Individualizados

Cabe señalar que el saldo informado a marzo de 2025 corresponde a saldo a favor de los clientes finales.
3.9.3 Sistemas de Transmisión Zonal
De acuerdo con lo indicado en la fijación del primer semestre de 2023, en base a lo señalado en el artículo 155º del Reglamento, el saldo informado a septiembre de 2022 fue considerado de manera parcial en dicha fijación, dividiéndose en cuatro fijaciones semestrales.
En virtud de lo anterior, en la fijación del segundo semestre de 2024 correspondía aplicar la última cuota de las cuatro fijaciones semestrales establecidas en la fijación del primer semestre de 2023. Sin embargo, luego de analizar y comparar el monto de esta última cuota respecto de las fijaciones semestrales anteriores, se advirtió que dicho monto era excesivamente mayor respecto a las fijaciones anteriores, toda vez que esta Comisión, para determinar la cantidad de fijaciones semestrales en que se divide el saldo, utilizó la información proporcionada por el Coordinador a septiembre de 2022, lo cual consideraba solo una porción de las diferencias acumuladas producto del retraso del decreto N° 7T/2022, razón por la cual, al momento de fijar el número de cuotas, esta Comisión no contaba con la totalidad de las referidas diferencias acumuladas.
Lo descrito anteriormente no se aviene con los objetivos que se tuvieron a la vista en orden a dar estabilidad a las tarifas de los clientes que utilizan los sistemas de transmisión zonal A, B, D, E y F. Por tanto, se determinó que el valor de la última cuota del saldo de los sistemas de transmisión zonal A, B, D, E y F será recaudado en cuatro fijaciones semestrales, contadas desde la fijación del segundo semestre 2024.
Para la presente fijación, el saldo de los sistemas de transmisión zonal A, B, D, E y F se consideró en el cálculo del cargo correspondiente como el valor resultante entre la diferencia de los saldos informados a marzo de 2025 y el 50% de la porción de los saldos utilizados en la fijación del cargo del primer semestre de 2025.
Respecto a los saldos del sistema de transmisión zonal C, en la fijación del segundo semestre de 2024, el Coordinador informó la modificación de los ingresos tarifarios en el periodo de retraso de la obra "Ampliación de la S/E Agua Santa", y en consecuencia, ajustó las diferencias que se produjeron entre lo efectivamente facturado y lo que corresponde remunerar acorde a los valores que en definitiva se establecieron en el decreto N° 7T/2022.
Producto de este ajuste en las diferencias, esta Comisión consideró distribuir las referidas diferencias acumuladas del sistema de transmisión zonal C en seis fijaciones semestrales, contadas desde la fijación del segundo semestre 2024, con el fin de atenuar la magnitud de las reliquidaciones entre los actores involucrados, al tiempo que con ello se resguarda la estabilidad en las tarifas de los clientes regulados.
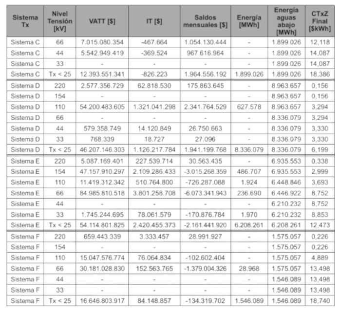
Un resumen del cálculo anterior se presenta en la Tabla 22, separado por sistema zonal y nivel de tensión:
Tabla 22: Saldo del Sistema de Transmisión Zonal por sistema y nivel de tensión

Saldo positivo, a favor de los clientes; saldo negativo, a favor de los propietarios de transmisión
3.9.4 Sistemas de Transmisión Dedicada
Para la fijación del segundo semestre de 2025, para determinar el saldo asociado al Sistema de Transmisión Dedicada se calcula la diferencia entre el saldo informado a marzo de 2025 y el 50% de la porción utilizada del saldo del primer semestre de 2025, para así dejar el valor igual a cero en este cargo, dado que aún existe un saldo favor de los clientes mayor al VATT que debe remunerarse semestralmente.
Un resumen del cálculo anterior se presenta en la Tabla 23.
Tabla 23 : Saldo asociado al cargo de las instalaciones de los Sistemas de Transmisión Dedicada utilizadas por clientes regulados

Cabe señalar que el saldo para la fijación del segundo semestre 2025 corresponde a un saldo a favor de los clientes finales.
4. DETERMINACIÓN DE LOS CARGOS A QUE SE REFIEREN LOS ARTÍCULOS 115° Y 116° DE LA LEY
4.1 Cargo por uso del Sistema de Transmisión Nacional
En virtud de lo indicado en el artículo 115° de la ley y en el artículo 151° del Reglamento, el cargo por uso del Sistema de Transmisión Nacional se determina en base a la diferencia entre el 50% del valor anual de los tramos de transmisión nacional y los ingresos tarifarios reales disponibles del semestre anterior, de cada uno de dichos tramos, dividida por la suma de la energía proyectada total a facturar a los suministros finales del sistema interconectado para el mismo semestre de vigencia de dicho cargo.
Asimismo, las disposiciones transitorias del Reglamento señalan que se debe considerar lo dispuesto en el artículo vigesimoquinto transitorio de la ley N° 20.936, con relación al régimen de recaudación, pago y remuneración del Sistema de Transmisión Nacional.
4.1.1 Cargo asociado al Sistema de Transmisión Nacional
De acuerdo con lo indicado las secciones 3.2 , 3.3 , 3.4.1.1 y 3.9.2.1 de este informe, en la siguiente tabla se presentan los antecedentes considerados para la determinación del cargo asociado al Sistema de Transmisión Nacional:
Tabla 24 : Antecedentes para el cálculo de cargo asociado al Sistema de Transmisión Nacional

Cabe señalar que un valor de saldo mensual positivo indica que los ingresos percibidos no han sido suficientes para remunerar el VATT, mientras que un saldo mensual negativo indica que los ingresos percibidos han sido mayores que el VATT a remunerar.
4.1.2 Cargo asociado a exenciones a que se refiere el numeral x. de la letra D. del artículo vigesimoquinto transitorio de la ley Nº 20.936 para clientes finales
De acuerdo con lo indicado las secciones 3.2 , 3.3 , 3.4.2 y 3.9.2.2 de este informe, en la siguiente tabla se presentan los antecedentes considerados para la determinación del cargo asociado a exenciones a que se refiere el numeral x. de la letra D. del artículo vigesimoquinto transitorio de la ley Nº 20.936 para clientes finales:
Tabla 25 : Antecedentes para el cálculo de cargo asociado a exenciones de peajes de inyección

El valor del saldo positivo corresponde a montos que no han sido recaudados y, por tanto, no se ha remunerado el valor de VATT mensual, el valor del saldo se considera en su totalidad para el cálculo realizado en la presente fijación de cargo único de transmisión.
Adicionalmente, se consideran los ingresos tarifarios reales del periodo octubre de 2024 a marzo de 2025, prorrateados por el promedio de la prorrata de VATT de exenciones de peajes del mismo periodo.
4.1.3 Cargo asociado a pagos por retiro a que se refiere el literal b) del numeral ix. de la letra D. del artículo vigesimoquinto transitorio de la ley Nº 20.936 para los Clientes no Individualizados
De acuerdo con lo indicado las secciones 3.2, 3.3, 3.4.3 y 3.9.2.3 de este informe, en la siguiente tabla se presentan los antecedentes considerados para la determinación del cargo asociado a pagos por retiro a que se refiere el literal b) del numeral ix. de la letra D. del artículo vigesimoquinto transitorio de la ley Nº 20.936 para los Clientes no Individualizados:
Tabla 26: Antecedentes para el cálculo del cargo asociado a peaje de retiro de Clientes no Individualizados

Se consideran los ingresos tarifarios reales del periodo octubre de 2024 a marzo de 2025, prorrateados por el promedio de la prorrata de VATT de exenciones de peajes del mismo periodo.
4.2 Cargo por uso de cada Sistema de Transmisión Zonal
En virtud de lo establecido en el artículo 115° de la ley y en el artículo 151° del Reglamento, el cargo por uso de cada sistema de transmisión zonal se determinará en base a la diferencia entre el 50% del VATT de los tramos correspondientes y los ingresos tarifarios reales disponibles del semestre anterior, dividida por la suma de la energía proyectada total a facturar a los suministros finales en dicho sistema para el mismo semestre.
En cada sistema de transmisión zonal podrán existir uno o más cargos segmentados por nivel de tensión.
De acuerdo con lo indicado en las secciones 3.2, 3.3, 3.4.4 y 3.9.3 de este informe, en la siguiente tabla se presentan los antecedentes considerados para la determinación del cargo de cada sistema de transmisión zonal, por sistema y nivel de tensión:
Tabla 27 : Antecedentes para el cálculo de los cargos asociados al Sistema de Transmisión Zonal, según nivel de tensión


4.3 Cargo por uso de los Sistemas de Transmisión Dedicada
En virtud de lo indicado en el artículo 115° de la ley y en el artículo 151° del Reglamento, el cargo por uso de las instalaciones de los sistemas de transmisión dedicada utilizadas por parte de consumidores finales regulados, se determinará en base a la diferencia entre el 50% del valor anual de la transmisión por tramo asignada y la proporción de los ingresos tarifarios reales disponibles del semestre anterior, dividida por la suma de la energía proyectada total a facturar a los suministros finales en el sistema interconectado para el mismo semestre de vigencia de dicho cargo.
De acuerdo con lo indicado las secciones 3.2 , 3.3 , 3.5 y 3.9.4 de este informe, en la siguiente tabla se presentan los antecedentes considerados para la determinación del cargo por uso de las instalaciones del Sistema de Transmisión Dedicada para clientes regulados:
Tabla 28 : Antecedentes para el cálculo de los cargos asociado a las instalaciones del Sistema de Transmisión Dedicada utilizadas por clientes regulados

Cabe señalar que un valor de saldo mensual positivo indica que los ingresos percibidos no han sido suficientes para remunerar el VATT, mientras que un saldo mensual negativo indica que los ingresos percibidos han sido mayores que el valor de VATT a remunerar.
4.4 Cargo por uso de los Sistemas de Transmisión para Polos de Desarrollo
En virtud de lo indicado en el artículo 116° de la ley y en el artículo 151° del Reglamento, el cargo único correspondiente a los sistemas de transmisión para polos de desarrollo, de la proporción no utilizada por centrales generadoras, se determinará en base a la diferencia entre el 50% de la proporción del valor anual de los tramos correspondientes, asignada a dichos consumidores, y la proporción de los ingresos tarifarios reales disponibles del semestre anterior, dividida por la suma de la energía proyectada total a facturar a los suministros finales del sistema interconectado para el mismo semestre de vigencia de dicho cargo.
De acuerdo con los antecedentes disponibles para la presente fijación, no procede la determinación del cargo único para la remuneración de la proporción no utilizada por centrales generadoras existentes en los sistemas de transmisión para polos de desarrollo definido en el artículo 116° de la ley, puesto que, a la fecha, no existe este tipo de sistema de transmisión.
4.5 Cargo por uso asociado a nueva infraestructura para la prestación de Servicios Complementarios
En virtud de lo indicado en el artículo 151° del Reglamento, el cargo único asociado a las inversiones de nueva infraestructura que sean contempladas en el informe de servicios complementarios de acuerdo con lo indicado en el artículo 72°-7 de la ley, se determinará en base al 50% de la anualidad de la inversión de dicha infraestructura, dividida por la suma de la energía proyectada total a facturar a los suministros finales del sistema interconectado para el mismo semestre de vigencia de dicho cargo.
De acuerdo con los antecedentes disponibles para la presente fijación, en particular, la respuesta del Coordinador al oficio ordinario Nº 615/2022 de la Comisión, se determinará el cargo para el financiamiento de la remuneración de las inversiones asociadas a nueva infraestructura de servicios complementarios a que se refiere el artículo 72°-7 de la ley, considerando el 50% del valor anual entre enero de 2023 y diciembre de 2023 de dichas instalaciones, ajustado por la variación del IPC, y los saldos acumulados correspondientes a marzo de 2025.
En la tabla siguiente se presentan los antecedentes y el resultado del respectivo cargo:
Tabla 29 : Cargo por Servicios Complementarios

Cabe señalar que el valor negativo de los saldos acumulados representa que la recaudación ha sido mayor al valor anual de la nueva infraestructura de servicios complementarios.
4.6 Cargo por uso asociado a Sistemas de Interconexión Internacional
En virtud de lo indicado en el artículo 151° del Reglamento, el cargo único asociado a las interconexiones internacionales se determinará en base a la diferencia del 50% de la proporción del valor anual de los tramos que corresponda a las instalaciones de interconexión internacional de servicio público, de acuerdo con lo señalado en el artículo 99° bis de la ley, y la proporción de los ingresos tarifarios reales disponibles del semestre anterior, dividida por la suma de la energía proyectada total a facturar a los suministros finales del sistema interconectado para el mismo semestre de vigencia de dicho cargo.
De acuerdo con los antecedentes disponibles para la presente fijación, no procede la determinación del cargo para la remuneración de las instalaciones asociadas a las interconexiones internacionales establecido en el artículo 99° bis de la ley, puesto que, a la fecha, no existe este tipo de instalaciones.
5. ANEXOS
Anexo Nº 1 Obras Transmisión Nacional.
Anexo Nº 2 Respuestas al Oficio Ord. Nº 615-2022 de la CNE por parte del Coordinador e Información indicada en el artículo 149° del Reglamento.
Anexo Nº 3 Antecedentes utilizados en el cálculo de los cargos a que se refieren los artículos 115º y 116º de la ley General de Servicios Eléctricos.
Anexo Nº 4 Cálculo de los cargos a que se refieren los artículos 115º y 116º de la ley General de Servicios Eléctricos.
Anexo Nº 5 Respuesta del Coordinador al correo del 14 de mayo de 2025.
Anexo Nº 6 Respuesta a las observaciones al Informe Técnico Preliminar.
Artículo segundo: Fíjanse los cargos a usuarios finales del Sistema Eléctrico Nacional a que hace referencia el artículo 115º de la ley.
Tabla Nº 1: Cargos asociados al segmento de transmisión zonal para clientes
regulados y libres

Tabla Nº 2: Cargo asociado al segmento de transmisión dedicada utilizada por parte de usuarios sometidos a regulación de precios para clientes regulados

Tabla Nº 3: Cargo asociado al segmento de transmisión nacional para clientes regulados y libres

Tabla Nº 4: Cargo asociado a exenciones a que se refiere el numeral x. de la letra D. del artículo vigesimoquinto transitorio de la ley N° 20.936 para clientes libres y regulados

Tabla Nº 5: Cargo asociado a pagos por retiro a que se refiere el literal b) del numeral ix. de la letra D. del artículo vigesimoquinto transitorio de la ley N° 20.936 para los clientes a que se refiere el numeral 2. del literal ix. de la letra D. del artículo vigesimoquinto de la ley N° 20.936 (clientes no individualizados)

Tabla Nº 6: Cargo asociado a infraestructura de servicios complementarios

Tabla Nº 7: Cargo asociado a los sistemas de transmisión para polos de desarrollo para clientes regulados y libres

Tabla Nº 8: Cargo asociado a interconexiones internacionales de servicio público para clientes regulados y libres

Artículo tercero: De conformidad a lo dispuesto en el inciso cuarto del artículo 115° de la ley, los cargos fijados en el artículo precedente deberán ser agrupados en un cargo único en las boletas o facturas a usuarios libres o regulados extendidas por sus respectivos suministradores, sean estas empresas concesionarias de servicio público de distribución o generadoras. Para efectos de los clientes sujetos a fijación de precios, se deberá considerar lo establecido en el decreto supremo N° 5T, de 31 de mayo de 2024, del Ministerio de Energía, que fija fórmulas tarifarias aplicables a los suministros sujetos a precios regulados que se señalan, efectuados por las empresas concesionarias de distribución.
Artículo cuarto: De conformidad a lo dispuesto en el artículo 143° del Reglamento y el artículo 2° de la resolución exenta N° 703, los cargos establecidos en el artículo primero precedente entrarán en vigor a contar del 1° de julio de 2025.
Artículo quinto: Notifíquese la presente resolución exenta al Coordinador Eléctrico Nacional, para que, dentro del siguiente día hábil a su recepción, la comunique a los coordinados del Sistema Eléctrico Nacional.
Artículo sexto: Publíquese la presente resolución exenta en el Diario Oficial.
Anótese y publíquese.- Marco Antonio Mancilla Ayancán, Secretario Ejecutivo, Comisión Nacional de Energía.